
groups = data.groupby('月份')
x = [each[0] for each in groups]
y = [each[1].金额.sum() for
each in groups]
z = [each[1].金额.count() for each in groups]
money_mean = data.金额.sum()/9
order_mean = data.金额.count()/9
plt.figure(figsize=(18, 10), dpi=80)
plt.subplot(221)
plt.plot(x, y,linewidth=2)
plt.axvspan('07', '08', color='#EE7621', alpha=0.3)
plt.axhline(money_mean, color='#EE7621', linestyle='--',linewidth=1)
plt.title("每月销售额趋势图",color='#4A708B',fontsize=24)
plt.ylabel("金额/(亿)",fontsize=16)
plt.subplot(222)
plt.plot(x, z, linewidth=2, color = '#EE7621')
plt.axvline('07', color='#4A708B', linestyle='--',linewidth=1)
plt.axhline(order_mean, color='#4A708B', linestyle='--',linewidth=1)
plt.title("每月订单量趋势图",color='#4A708B',fontsize=24)
plt.ylabel("订单/(单)",fontsize=16)
plt.show()

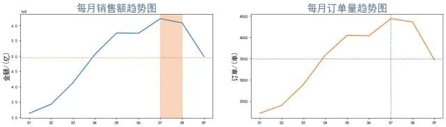
图表说明:从整体来看,销售额和订单量从4月开始大幅度上升,均高于均值;8月份开始呈下降趋势,处于均值水平。
groups_category= total_data.groupby(['月份','商品大类'])
category1 = []
category2 = []
for i,j in groups_category:
# print(i,j.月份.count())
if i[1]=='彩妆':
category1.append(j.金额.sum())
else:
category2.append(j.金额.sum())
labels = x
xticks = np.arange(len(labels))
width = 0.5
p = np.arange(len(labels))
fig, ax = plt.subplots(figsize=(18,8))
rects1 = ax.bar(p - width/2, category1,width, label='彩妆',color='#FFEC8B')
rects2 = ax.bar(p + width/2, category2, width, label='护肤品',color='#4A708B')
ax.set_ylabel('销售额/(亿)')
ax.set_title('每月护肤品和彩妆的销售额对比图(大类)')
ax.set_xticks(xticks)
ax.set_xticklabels(labels)
ax.legend()
plt.show()

图表说明:护肤品需求满足大多数人,明显高于彩妆。并且5月—8月是护肤品需求旺季。相比彩妆的变化不明显。
groups_categorys= total_data.groupby('商品小类')
x = [each[0] for each in groups_categorys]
y = [each[1].金额.sum() for each in groups_categorys]
fig = plt.figure(figsize=(18,8),dpi=80)
plt.title('各个品类的销售额对比图',color='#4A708B',fontsize=24)
plt.ylabel('销售额(元)',fontsize=15)
colors = ['#6699cc','#4A708B','#CDCD00','#DAA520','#EE7621','#FFEC8B','#CDCD00','#4A708B','#6699cc','#DAA520','#4A708B','#FFEC8B']
for i, group_name in enumerate(groups_categorys):
lin1 =plt.bar(group_name[0], group_name[1].金额.sum(),width=0.8,color=colors[i])
for rect in lin1:
height = rect.get_height()
plt.text(rect.get_x()+rect.get_width()/2, height+1, int(height),ha="center",
fontsize=12)
plt.xticks(fontsize=15)
plt.grid()
plt.show()

图表说明:面膜的销售额第一,其次是面霜、爽肤水。销售额最低的是蜜粉,眼影。
total_data = total_data.dropna()
total_data['所在区域'] = total_data['所在区域'].apply(lambda x:str(x).replace('男区','南区').replace('西 区','西区'))
groups_area= total_data.groupby(['所在区域'
,'商品小类'])
results = {}
for i,j in groups_area:
money = int(j.金额.sum())
if i[0] in results.keys():
results[i[0]][i[1]] = money
else:
results[i[0]] = {}
for cate in category_names:
results[i[0]][cate] = 0
results[i[0]]['口红'] = money
results= {key_data:list(values_data.values()) for key_data,values_data in results.items()}
def survey1(results, category_names):
labels = list(results.keys())
data = np.array(list(results.values()))
data_cum = data.cumsum(axis=1)
category_colors = plt.get_cmap('RdYlGn')(
np.linspace(0.15, 0.85, data.shape[1]))
fig, ax = plt.subplots(figsize=(25,8))
ax.invert_yaxis()
ax.xaxis.set_visible(False)
ax.set_xlim(0, np.sum(data, axis=1).max())
for i, (colname, color) in enumerate(zip(category_names, category_colors)):
widths = data[:, i]
starts = data_cum[:, i] - widths
ax.barh(labels, widths, left=starts, height=0.5,
label=colname, color=color)
xcenters = starts + widths / 2
r, g, b, _ = color
text_color = 'white' if r * g * b 0.5 else 'darkgrey'
for y, (x, c) in enumerate(zip(xcenters, widths)):
ax.text(x, y, str(int(c)), ha='center', va='center',color=text_color)
ax.legend(ncol=len(category_names), bbox_to_anchor=(0, 1),
loc='lower left', fontsize='small')
return fig, ax
survey1(results, category_names)
plt.show()

图表说明:东部地区占市场份额的35%左右,份额最低的是西部地区。
area_names = list(total_data.商品小类.unique())
groups_priv= total_data.groupby(['所在省份','商品小类'])
results = {}
for i,j in groups_priv:
money = int(j.金额.sum())
if i[0] in results.keys():
results[i[0]][i[1]] = money
else:
results[i[0]] = {}
for cate in category_names:
results[i[0]][cate] = 0
results[i[0]]['口红'] = money
results= {key_data:list(values_data.values()) for key_data,values_data in results.items()}
def survey2(results, category_names):
labels = list(results.keys())
data = np.array(list(results.values()))
data_cum = data.cumsum(axis=1)
category_colors = plt.get_cmap('RdYlGn')(
np.linspace(0.15, 0.85, data.shape[1]))
fig, ax = plt.subplots(figsize=(25,20))
ax.invert_yaxis()
ax.xaxis.set_visible(False)
ax.set_xlim(0, np.sum(data, axis=1).max())
for i, (colname, color) in enumerate(zip(category_names, category_colors)):
widths = data[:, i]
starts = data_cum[:, i] - widths
ax.barh(labels, widths, left=starts, height=0.5,
label=colname, color=color)
xcenters = starts + widths / 2
ax.legend(ncol=len(category_names), bbox_to_anchor=(0, 1),
loc='lower left', fontsize='small')
return fig, ax
survey2(results, area_names)
plt.show()

图表说明:江苏销售额第一,其次是广东省;销售额最低的是宁夏、内蒙、海南
import numpy as np
import matplotlib.pyplot as plt
category_names = list(total_data.商品小类.unique())
groups_small_category= total_data.groupby(['月份','商品小类'])
results = {}
for i,j in groups_small_category:
money = int(j.金额.sum())
if i[0] in results.keys():
results[i[0]][i[1]] = money
else:
results[i[0]] = {}
for cate in category_names:
results[i[0]][cate] = 0
results[i[0]]['口红'] = money
results= {key_data:list(values_data.values()) for key_data,values_data in results.items()}
def survey(results, category_names):
labels = list(results.keys())
data = np.array(list(results.values()))
data_cum = data.cumsum(axis=1)
category_colors = plt.get_cmap('RdYlGn')(
np.linspace(0.15, 0.85, data.shape[1]))
fig, ax = plt.subplots(figsize=(25,8))
ax.invert_yaxis()
ax.xaxis.set_visible(False)
ax.set_xlim(0, np.sum(data, axis=1).max())
for i, (colname, color) in enumerate(zip(category_names, category_colors)):
widths = data[:, i]
starts = data_cum[:, i] - widths
ax.barh(labels, widths, left=starts, height=0.5,
label=colname, color=color)
xcenters = starts + widths / 2
# r, g, b, _ = color
# text_color = 'white' if r * g * b 0.5 else 'darkgrey'
# for y, (x, c) in enumerate(zip(xcenters, widths)):
# ax.text(x, y, str(int(c)), ha='center', va='center')
ax.legend(ncol=len(category_names), bbox_to_anchor=(0, 1),
loc='lower left', fontsize='small')
return fig, ax
survey(results, category_names)
plt.show()

图表说明:眼霜、爽肤水、面膜:4,5,6,7,8月份需求量最大;粉底、防晒霜、隔离霜、睫毛膏、蜜粉1,2,3月份需求量最大。
data_user_buy=total_data.groupby('客户编码')['订单编码'].count()
data_user_buy
plt.figure(figsize=(10,4),dpi=80)
plt.hist(data_user_buy,color='#FFEC8B')
plt.title('用户购买次数分布',fontsize=16)
plt.xlabel('购买次数')
plt.ylabel('用户数')
plt.show()

图表说明:大部分用户购买次数在10次-35次之间,极少部分用户购买次数80次以上
date_rebuy=total_data.groupby('客户编码')['订单日期'].apply(lambda x:len(x.unique())).rename('rebuy_count')
date_rebuy
print('复购率:',round(date_rebuy[date_rebuy>=2].count()/date_rebuy.count(),4))

total_data['时间标签'] = total_data['订单日期'].astype(str).str[:7]
total_data = total_data[total_data['时间标签'
]!='2050-06']
total_data['时间标签'].value_counts().sort_index()
total_data = total_data.sort_values(by='时间标签')
month_lst = total_data['时间标签'].unique()
final=pd.DataFrame()
final
#引入时间标签
for i in range(len(month_lst)-1):
#构造和月份一样长的列表,方便后续格式统一
count = [0] * len(month_lst)
#筛选出当月订单,并按客户昵称分组
target_month = total_data.loc[total_data['时间标签']==month_lst[i],:]
target_users = target_month.groupby('客户编码')['金额'].sum().reset_index()
#如果是第一个月份,则跳过(因为不需要和历史数据验证是否为新增客户)
if i==0:
new_target_users = target_month.groupby('客户编码')['金额'].sum().reset_index()
else:
#如果不是,找到之前的历史订单
history = total_data.loc[total_data['时间标签'].isin(month_lst[:i]),:]
#筛选出未在历史订单出现过的新增客户
new_target_users = target_users.loc[target_users['客户编码'].isin(history['客户编码']) == False,:]
#当月新增客户数放在第一个值中
count[0] = len(new_target_users)
#以月为单位,循环遍历,计算留存情况
for j,ct in zip(range(i + 1,len(month_lst)),range(1,len(month_lst))):
#下一个月的订单
next_month = total_data.loc[total_data['时间标签'] == month_lst[j],:]
next_users = next_month.groupby('客户编码')['金额'].sum().reset_index()
#计算在该月仍然留存的客户数量
isin = new_target_users['客户编码'].isin(next_users['客户编码']).sum()
count[ct] = isin
#格式转置
result = pd.DataFrame({month_lst[i]:count}).T
#合并
final = pd.concat([final,result])
final.columns = ['当月新增','+1月','+2月','+3月','+4月','+5月','+6月','+7月','+8月']
result = final
.divide(final['当月新增'],axis=0).iloc[:]
result['当月新增'] = final['当月新增']
result.round(2)

同期群分析
图表说明:由新增用户情况看,新用户逐月明显减少;留存率在1月-5月平均在50%,6月-8月留存率上升明显。
结论与建议
1、从销售额趋势来看,整体是上升趋势,但是从8月份销售额突然下降,可能因为到淡季,需进一步确认原因;
2、商品销售额,用户对护肤品具有强烈的需求,尤其是面膜,爽肤水、面霜、眼霜。较低需求的是蜜粉。可以把高需求产品,组合成礼盒等套装活动;
3、商品销售建议:眼霜、爽肤水、面膜:4,5,6,7,8月需求最大;粉底、防晒霜、隔离霜、睫毛膏、蜜粉1,2,3月需求最大。以上说明用户购买特定产品具有周期性;
4、从地域来看,东部地区是消费的主力军,其中江苏省、广东省、浙江省的销售额最大。可以增大市场投放量;也可以考虑在该地区建仓,节省物流等成本;
5、用户:重点维护购买次数在10次-35次之间的用户群体;
6、留存率在99%,证明用户对产品有一定的依赖性;
7、从同期群分析来看,新用户明显减少,应考虑拉新,增加平台新用户(主播带货等);