Py学习  »  机器学习算法

集成机器学习打通肿瘤预后模型的“最后一公里”----2025多项研究深度解析

生信人 • 4 天前 • 21 次点击  

引言
在肿瘤精准医疗领域,基于高通量组学数据的预后模型是连接基础研究与临床实践的关键桥梁文献中报道的预后模型层出不穷然而,大量已发表的模型在独立验证中表现不佳,面对相似临床特征的患者,难以准确预测其治疗反应和生存结局缺乏可靠的工具来指导临床决策其根本原因在于依赖单一算法,无法克服肿瘤异质性带来的挑战。今年多针对癌症的研究,通过近乎 identical 的研究设计,确立了一种基于机器学习集成的新范式,为构建高稳健性、可临床转化的预后模型提供了系统性解决方案。

精准预后不再靠猜,模型会告诉你答案

扫码领取精准临床决策方案设计

一、传统模型的瓶颈与集成思想的必然

传统模型的局限性源于其方法论上的固有缺陷:

  • LASSO、Cox、随机森林等算法各有其数据分布假设与优势场景,在未知的真实世界数据面前,预先选定单一算法无异于盲人摸象。

  • 在有限的训练样本上,复杂模型的调参过程极易学习到数据噪声,导致其在独立验证集中性能骤降。

  • 模型的基因组成和系数对训练集的微小变动敏感,使得模型难以在不同队列中重复。


这些因素共同导致了临床转化中的“翻译难题”。而机器学习集成思想,通过系统性的比较与验证,旨在从根本上解决这些问题。


二、机器学习集成框架的架构解析

今年多项研究(MALMPS, ICDRS, VNRS)所采用的集成框架,可分为三个层级结构。


生物学功能的特征空间定义
在模型构建的起点,研究将特征基因集严格限定于具有明确驱动意义的生物学通路,这确保了模型先天具备可解释的生物学基础。

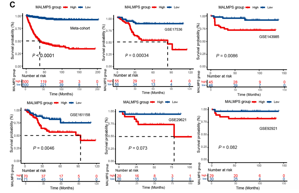
  • MALMPS (CRC) 从KEGG和REACTOME数据库中提取代谢通路相关基因,聚焦于癌症的核心标志——代谢重编程。

  • ICDRS (CRC) 基于文献库定义了免疫原性细胞死亡(ICD)相关基因集,直接关联抗肿瘤免疫应答的关键机制。

  • VNRS (GBM) 则通过对大规模单细胞RNA测序数据的分析,精准锁定VEGFA+肿瘤相关中性粒细胞亚群的特征基因,揭示了肿瘤微环境中一个被忽视的免疫抑制角色。


标准化、大规模的算法集成与优胜劣汰

  • 汇集十种涵盖不同数学原理的机器学习算法,包括但不限于随机生存森林(RSF)、梯度提升机(GBM)、多种正则化Cox模型(LASSO, Ridge, Elastic Net)、生存支持向量机(Survival-SVM)等,形成一个全面的“算法工具箱”。

  • 将特征选择算法(如StepCox, LASSO)与最终的预测建模算法进行排列组合,形成一个包含83至117个候选模型的组合

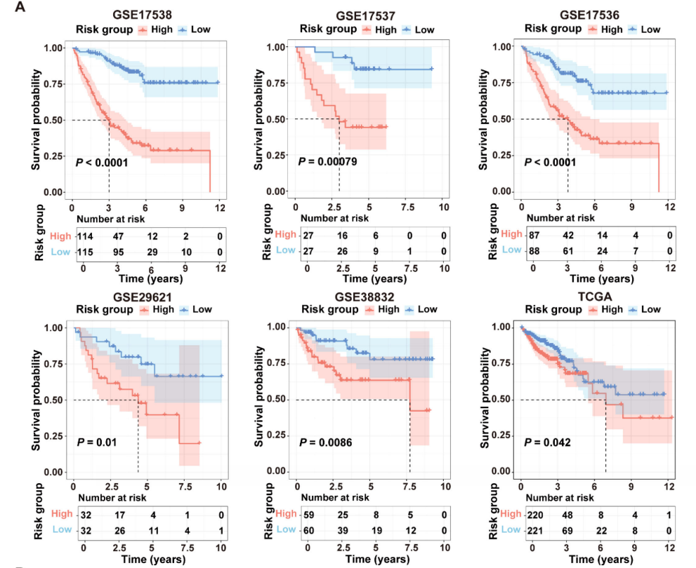
  • 所有候选模型在训练集上构建后,需经过留一法交叉验证或Bootstrap重抽样进行内部验证,并最终在多个完全独立的验证数据集上进行测试。评估的核心指标是一致性指数(C-index),最终以在验证集上的平均C-index最高作为选择最优模型的黄金标准。


实证结果:

MALMPS研究中,RSF + GBM的组合在五个独立验证集中展现了最高且最稳定的C-index,其性能显著优于所有其他82种组合以及传统的临床分子特征 。

ICDRS研究中,StepCox[forward] + RSF组合从101个竞争者中胜出,取得了0.713的平均C-index 。


VNRS研究中,StepCox[backward] + plsRcox组合在117种组合中表现最佳,其模型在三个大型队列中均被证实为独立的预后因素 。


面向临床终点的多维验证与决策支持
最优模型的价值,通过其对临床实践相关终点的预测能力来最终体现:


所有最终模型都能将患者群体清晰地划分为高风险组和低风险组,其生存曲线呈现出巨大且具有高度统计学意义的分离。


时间依赖性ROC曲线进一步证明了模型在1年、3年、5年等关键时间点具有高预测精度。


生物学机制的实验验证:模型并非“黑箱”,其核心基因被赋予了明确的生物学功能。例如,MALMPS模型中权重最高的基因COX7B,通过体外实验被证实能够显著促进结直肠癌细胞的增殖、克隆形成、迁移和侵袭,并抑制其凋亡。这为风险评分提供了坚实的生物学解释。


治疗反应的预测与指导:这是模型临床转化价值的终极体现。通过计算药物敏感性评分或分析免疫微环境特征,研究揭示了不同风险人群的潜在治疗偏好:

MALMPS高风险患者对IGF-1R抑制剂(BMS-754807)和Wnt/β-catenin抑制剂(XAV-939)表现出更高的敏感性,而低风险患者则对常规化疗药物(5-FU、奥沙利铂)更敏感 。

ICDRS低风险患者显示出更高的免疫表型评分和更低的TIDE评分,预示着他们对免疫检查点抑制剂(抗PD-1/CTLA-4)可能有更好的应答 。


VNRS模型不仅提示高风险患者对特定靶向药(如Ribociclib)更敏感


其构建的单细胞通讯网络还揭示了SPP1+/SLC11A1+巨噬细胞这一新的潜在治疗靶点 。

 


三、总结与临床展望

集成机器学习核心优势:

  • 通过系统性的比较,最大限度地减少了因算法选择偏倚带来的性能损失。

  • 在多个独立队列中的严格验证,确保了模型具有良好的泛化能力。

  • 其产出是一个综合性的决策支持系统,而非单一的预测指标。


结论
机器学习集成框架代表了一种方法论上的进化。它提供了一条构建可靠、可解释且具备临床行动力的预后模型的标准化路径。随着更多研究采用这一范式,我们有望涌现出一批真正经得起临床检验的多基因签名,从而加速肿瘤诊疗从“一刀切”向深度个体化精准决策的变革,最终让患者获益。


精准预后不再靠猜,模型会告诉你答案

扫码领取精准临床决策方案设计


参考文献:

1.Chen H, Wang Z, Sun C, Zhong Y, Liu Y, Li Y, Zhang T, Zhang Y, Zhu X, Li L, Teng F, Lu M, Chong W. MALMPS: A Machine Learning-Based Metabolic Gene Prognostic Signature for Stratifying Clinical Outcomes and Molecular Heterogeneity in Stage II/III Colorectal Cancer. Adv Sci (Weinh). 2025 Oct;12(37):e01333. doi: 10.1002/advs.202501333. Epub 2025 Jul 17. PMID: 40673815; PMCID: PMC12499476.

2.Hou S, Heng S, Xie S, Zhao Y, Chen J, Yu C, Lin Y, Qi X. Integrated multi-omics and machine learning reveal an immunogenic cell death-related signature for prognostic stratification and therapeutic optimization in colorectal cancer. Front Immunol. 2025 Jul 16;16:1606874. doi: 10.3389/fimmu.2025.1606874. PMID: 40740776; PMCID: PMC12307400.

3.Yang Y, Liu Z, Wang Z, Fu X, Li Z, Li J, Xu Z, Cen B. Large-scale bulk and single-cell RNA sequencing combined with machine learning reveals glioblastoma-associated neutrophil heterogeneity and establishes a VEGFA+ neutrophil prognostic model. Biol Direct. 2025 Apr 5;20(1):45. doi: 10.1186/s13062-025-00640-z. PMID: 40188324; PMCID: PMC11972500.


最新文章汇总(持续更新ing)


最新热点方向

1、去年才出的review,今年就有顶刊了——神经免疫

2、医之侠者:中国肺癌领军人物吴一龙

3、陈志坚成果汇总|大概率是华人下一位诺奖获得者

4、《Nature》中肠道菌群研究的正确打开方式

5、这文章才十来分,是被nature撤稿影响了吗?


生信人课堂

1、多组学水平的孟德尔随机化分析套路

2、单细胞+空转王炸组合,探索骨骼肌纤维化巨噬细胞

3、以小博大,紧张刺激:肿瘤耐药研究,从基因到网络

4、零基础入门-单细胞课程

5、史上最全格局打开,细讲基因组学,确定不来学学?


课题设计 | 生信分析 | 数字产品

概普生物 让科研丰富

图片
生信人

专注于基因技术相关知识分享
扫码关注 获取更多






END


Python社区是高质量的Python/Django开发社区
本文地址:http://www.python88.com/topic/188462