社区所有版块导航
Python
python开源   Django   Python   DjangoApp   pycharm  
DATA
docker   Elasticsearch  
aigc
aigc   chatgpt  
WEB开发
linux   MongoDB   Redis   DATABASE   NGINX   其他Web框架   web工具   zookeeper   tornado   NoSql   Bootstrap   js   peewee   Git   bottle   IE   MQ   Jquery  
机器学习
机器学习算法  
Python88.com
反馈   公告   社区推广  
产品
短视频  
印度
印度  
Py学习  »  机器学习算法

深度学习之Pytorch基础教程!

小白学视觉 • 3 年前 • 226 次点击  

点击上方小白学视觉”,选择加"星标"或“置顶

重磅干货,第一时间送达

 Datawhale干货 

作者:李祖贤,Datawhale高校群成员,深圳大学

随着深度学习的发展,深度学习框架开始大量的出现。尤其是近两年,Google、Facebook、Microsoft等巨头都围绕深度学习重点投资了一系列新兴项目,他们也一直在支持一些开源的深度学习框架。目前研究人员正在使用的深度学习框架不尽相同,有 TensorFlow 、Pytorch、Caffe、Theano、Keras等。
这其中,TensorFlow和Pytorch占据了深度学习的半壁江山。前几天分享了TensorFlow的基本教程后,很多人在后台留言说能不能写写Pytorch入门。本着粉丝的诉求必须满足的原则,熬夜干,有了今天的文章。所以你懂我意思吧,记得转发、点赞、在看三联。
本文结合Pytorch官方教程、邱锡鹏老师的《神经网络与深度学习》和李沐老师的《动手学深度学习》,为大家介绍的一下Pytorch深度学习框架。具体目录如下:

一、数据操作

import torch
1.1 创建TENSOR
# 创建未初始化的Tensorx = torch.empty(5,3)print(x)

# 创建随机初始化的Tensorx = torch.rand(5,3)print(x)

# 创建全为0的Tensorx = torch.zeros(5,3,dtype=torch.long)print(x)

# 根据数据创建Tensorx = torch.tensor([5.5,3])print(x)

# 修改原Tensor为全1的Tensorx = x.new_ones(5,3,dtype=torch.float64)print(x)
# 修改数据类型x = torch.rand_like(x,dtype=torch.float64)print(x)

# 获取Tensor的形状print(x.size())print(x.shape)# 注意:返回的torch.Size其实就是⼀一个tuple, ⽀支持所有tuple的操作。


这些创建方法都可以在创建的时候指定数据类型dtype和存放device(cpu/gpu)。

1.2 操作

1.2.1 算术操作

在PyTorch中,同⼀种操作可能有很多种形式,下⾯面⽤用加法作为例子。

# 形式1:y = torch.rand(5,3)print(x+y)

# 形式2print(torch.add(x,y))# 还可以指定输出result = torch.empty(5, 3)torch.add(x, y, out=result)print(result)

# 形式3y.add_(x)print(y)

1.2.2 索引

我们还可以使⽤类似NumPy的索引操作来访问 Tensor 的一部分,需要注意的是:索引出来的结果与原数据共享内存,也即修改⼀个,另⼀个会跟着修改。

y = x[0,:]y += 1print(y)print(x[0,:])  # 观察x是否改变了

1.2.3 改变形状

注意 view() 返回的新tensor与源tensor共享内存(其实是同⼀个tensor),也即更改其中的⼀个,另 外⼀个也会跟着改变。(顾名思义,view仅是改变了对这个张量的观察角度)

y = x.view(15)z = x.view(-1,5) #  -1所指的维度可以根据其他维度的值推出来print(x.size(),y.size(),z.size())

x += 1print(x)print(y)

所以如果我们想返回⼀个真正新的副本(即不共享内存)该怎么办呢?Pytorch还提供了⼀ 个 reshape() 可以改变形状,但是此函数并不能保证返回的是其拷贝,所以不推荐使用。推荐先 ⽤ clone 创造一个副本然后再使⽤ view 。

x_cp = x.clone().view(15)x -= 1print(x)print(x_cp)

另外⼀个常用的函数就是 item() , 它可以将⼀个标量 Tensor 转换成⼀个Python

number:x = torch.randn(1)print(x)print(x.item())


1.2.4 线性代数

官方文档:https://pytorch.org/docs/stable/torch.html

1.3 广播机制

前⾯我们看到如何对两个形状相同的 Tensor 做按元素运算。当对两个形状不同的 Tensor 按元素运算时,可能会触发广播(broadcasting)机制:先适当复制元素使这两个 Tensor 形状相同后再按元素运算。例如:

x = torch.arange(1,3).view(1,2)


    
print(x)y = torch.arange(1,4).view(3,1)print(y)print(x+y)

1.4 Tensor和Numpy相互转化

我们很容易⽤ numpy() 和 from_numpy() 将 Tensor 和NumPy中的数组相互转换。但是需要注意的⼀点是:这两个函数所产生的的 Tensor 和NumPy中的数组共享相同的内存(所以他们之间的转换很快),改变其中⼀个时另⼀个也会改变!!!

a = torch.ones(5)b = a.numpy()print(a,b)

a += 1print(a,b)

b += 1print(a,b)

使⽤ from_numpy() 将NumPy数组转换成 Tensor :

import numpy as npa = np.ones(5)b = torch.from_numpy(a)print(a,b)

a += 1print(a,b)b += 1print(a,b)

1.5 GPU运算

# let us run this cell only if CUDA is available# We will use ``torch.device`` objects to move tensors in and out of GPUif torch.cuda.is_available():    device = torch.device("cuda")          # a CUDA device object    y = torch.ones_like(x, device=device)  # directly create a tensor on GPU    x = x.to(device)                       # or just use strings ``.to("cuda")``    z = x + y    print(z)    print(z.to("cpu", torch.double))       # ``.to`` can also change dtype together!

二、自动求梯度(非常重要)

很多人看到这里是懵的,因为为什么会得出导数的结果,在这里我给出自动求导的一些原理性的知识,希望能帮助大家更好的学习pytorch这个重要的框架。
该autograd软件包是PyTorch中所有神经网络的核心。让我们首先简要地访问它,然后我们将去训练我们的第一个神经网络。
该autograd软件包可自动区分张量上的所有操作。这是一个按运行定义的框架,这意味着您的backprop是由代码的运行方式定义的,并且每次迭代都可以不同。
如果想了解数值微分数值积分和自动求导的知识,可以查看邱锡鹏老师的《神经网络与深度学习》第四章第五节:
下载地址:https://nndl.github.io/
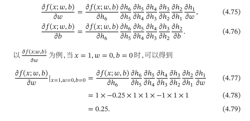
在这里简单说说自动微分的原理吧:我们的目标是求

  

在   处的导数。我们的做法是利用链式法则分解为一系列的操作:

2.1 张量及张量的求导(Tensor)

# 加入requires_grad=True参数可追踪函数求导x = torch.ones(2,2,requires_grad=True)print(x)print(x.grad_fn)

# 进行运算y = x + 2print(y)print(y.grad_fn)  # 创建了一个加法操作

像x这种直接创建的称为叶子节点,叶子节点对应的 grad_fn 是 None 。

print(x.is_leaf,y.is_leaf)

# 整点复杂的操作z = y * y * 3out = z.mean()print(z,out)

.requires_grad_( ... )改变requires_grad 的属性。
a = torch.randn(2,2)    # 缺失情况下默认 requires_grad = Falsea = ((a*3)/(a-1))print(a.requires_grad)  # Falsea.requires_grad_(True)print(a.requires_grad)b = (a*a).sum()print(b.grad_fn)

2.2 梯度

现在让我们反向传播:因为out包含单个标量,out.backward()所以等效于out.backward(torch.tensor(1.))。

out.backward()print(x.grad)

# 再来反向传播⼀次,注意grad是累加的out2 = x.sum()out2.backward()print(x.grad)
out3 = x.sum()x.grad.data.zero_()out3.backward()print(x.grad)

三、神经网络设计的pytorch版本
这是一个简单的前馈网络。它获取输入,将其一层又一层地馈入,然后最终给出输出。神经网络的典型训练过程如下:
  • 定义具有一些可学习参数(或权重)的神经网络

  • 遍历输入数据集

  • 通过网络处理输入

  • 计算损失(输出正确的距离有多远)

  • 将梯度传播回网络参数

  • 通常使用简单的更新规则来更新网络的权重:weight = weight - learning_rate * gradient

3.1 定义网络
import torchimport torch.nn as nnimport torch.nn.functional as F
class Net(nn.Module):
def __init__(self): super(Net,self).__init__() # 1 input image channel, 6 output channels, 3x3 square convolution # kernel self.conv1 = nn.Conv2d(1,6,3) self.conv2 = nn.Conv2d(6,16,3) # an affine operation: y = Wx + b self.fc1 = nn.Linear(16*6*6,120) # 6*6 from image dimension self.fc2 = nn.Linear(120,84) self.fc3 = nn.Linear(84,10)
def forward(self,x): # Max pooling over a (2, 2) window x = F.max_pool2d(F.relu(self.conv1(x)),(2,2)) # CLASStorch.nn.MaxPool2d(kernel_size, stride=None, padding=0, dilation=1, return_indices=False, ceil_mode=False) x = F.max_pool2d(F.relu(self.conv2(x)),2) x = x.view(-1,self.num_flat_features(x)) x = F.relu(self.fc1(x)) x = F.relu(self.fc2(x)) x = self.fc3(x) return x
def num_flat_features(self,x): size = x.size()[1:] # all dimensions except the batch dimension num_features = 1 for s in size: num_features *= s print(num_features) return num_features
net = Net()print(net)

# 模型的可学习参数由返回 net.parameters()params = list(net.parameters())print(len(params))print(params[0].size())  # conv1's .weight

# 尝试一个32x32随机输入input = torch.randn(1,1,32,32)out = net(input)print(out)

# 用随机梯度将所有参数和反向传播器的梯度缓冲区归零:net.zero_grad()out.backward(torch.randn(1,10))
3.2 损失函数
output = net(input)target = torch.randn(10)    # a dummy target, for exampletarget = target.view(-1,1)  # # make it the same shape as outputcriterion = nn.MSELoss()
loss = criterion(output,target)print(loss)

我们现在的网络结构:

# 如果loss使用.grad_fn属性的属性向后移动,可查看网络结构print(loss.grad_fn)  # MSELossprint(loss.grad_fn.next_functions[0][0])  # Linearprint(loss.grad_fn.next_functions[0][0].next_functions[0][0])  # ReLU

3.3 更新权重
实践中使用的最简单的更新规则是随机梯度下降(SGD):

weight = weight - learning_rate * gradient

import torch.optim as optim
# create your optimizeroptimizer = optim.SGD(net.parameters(),lr = 0.01)
# in your training loop:optimizer.zero_grad() # zero the gradient buffersoutput = net(input)loss = criterion(output,target)loss.backward()optimizer.step()

576

四、写到最后

今天,要讲的Pytorch基础教程到这里就结束了,相信大家通过上边的学习已经对Pytorch基础教程有了初步的了解。

关于Pytorch的项目实践,阿里天池「零基础入门NLP」学习赛中提供了Pytorch版实践教程,供学习参考(阅读原文直接跳转):

https://tianchi.aliyun.com/competition/entrance/531810/forum

好消息!

小白学视觉知识星球

开始面向外开放啦👇👇👇




下载1:OpenCV-Contrib扩展模块中文版教程
在「小白学视觉」公众号后台回复:扩展模块中文教程即可下载全网第一份OpenCV扩展模块教程中文版,涵盖扩展模块安装、SFM算法、立体视觉、目标跟踪、生物视觉、超分辨率处理等二十多章内容。

下载2:Python视觉实战项目52讲
小白学视觉公众号后台回复:Python视觉实战项目即可下载包括图像分割、口罩检测、车道线检测、车辆计数、添加眼线、车牌识别、字符识别、情绪检测、文本内容提取、面部识别等31个视觉实战项目,助力快速学校计算机视觉。

下载3:OpenCV实战项目20讲
小白学视觉公众号后台回复:OpenCV实战项目20讲即可下载含有20个基于OpenCV实现20个实战项目,实现OpenCV学习进阶。

交流群


欢迎加入公众号读者群一起和同行交流,目前有SLAM、三维视觉、传感器自动驾驶、计算摄影、检测、分割、识别、医学影像、GAN算法竞赛等微信群(以后会逐渐细分),请扫描下面微信号加群,备注:”昵称+学校/公司+研究方向“,例如:”张三 + 上海交大 + 视觉SLAM“。请按照格式备注,否则不予通过。添加成功后会根据研究方向邀请进入相关微信群。请勿在群内发送广告,否则会请出群,谢谢理解~


Python社区是高质量的Python/Django开发社区
本文地址:http://www.python88.com/topic/135758