Py学习  »  Python

详解双偏振气象雷达反射率因子衰减订正方法(附python代码)

气象学家 • 2 年前 • 4550 次点击  

1 背景

  多普勒天气雷达能提供高时空分辨率的观测,是观测强对流的重要手段之一。移动式多普勒天气雷达用于观测对流风暴已有十多年了,主要包括S、X和C波段的雷达。然而,散射模拟表明,X波段雷达由于雨水对回波产生的衰减至少比S波段的衰减大一个数量级,比C波段的衰减大几倍。不仅仅是反射率因子Z,衰减效应对极化变量也有影响。如果不考虑衰减的影响,X波段雷达数据的定量化应用效果将大打折扣。

  一般来说,对于常规多普勒天气雷达(单偏振),利用衰减和反射率因子的关系来进行衰减订正,如HB方法、MK方法。对于双偏振天气雷达,可以引入一个独立的变量来订正或者进行约束,主流方法包括DP方法、ZPHI方法和SCWC方法。

  话不多说,本文将针对Z的衰减订正进行几种常见方法的介绍以及代码实现,并根据测试结果进行简单讨论。

2 方法

  雷达实测和固有的反射率因子关系可以表示为:

是衰减后的(即,测量到的)是单程的specific attenuation(单位:dB/km),r为距离(km)。为双程的路径积分衰减(path integrated attenuation, 单位:dB)。下标H和V分别表示水平和垂直通道。同样地, 观测到的的计算公式如下:

为双程的路径积分衰减(dB),

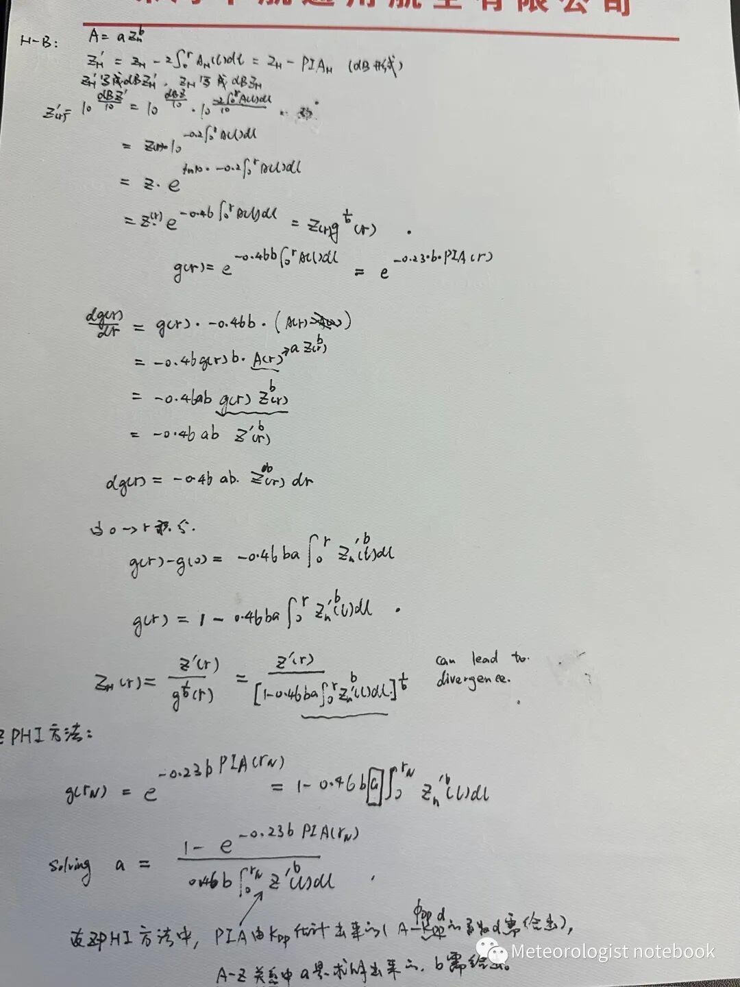
2.1 HB逐门订正方法:来自Hitschfeld and Bordan (1954)。

其中,的单位是dB/km,的单位是单位是dBZ。这个关系易受其他因素影响,常不稳定,如校准calibration、部分波束遮挡partial beam blockage。系数a和b是需要由雨滴谱观测数据进行回波模拟进行拟合而来,没有这个数据的时候先根据默认系数来计算就好:对于C波段,根据wradlib库,a=1.67e-4, b=0.7;对于X波段,根据Delrieu et al (1997)的图3,计算出来a=1.409e-4,b=0.76。

  由于HB方法是没有约束的逐门订正,系数a和b值的不准确、雷达的误校或雷达罩引起的衰减等误差会累积,出现数值不稳定。

def calc_attenuation_hb(gateset, a=1.67e-4, b=0.7, gate_length=1.0):
    """Gate-by-Gate forward correction as described in :cite:`Kraemer2008`
    Parameters
    ----------
    gateset : :class:`numpy:numpy.ndarray`
        Multidimensional array, where the range gates (over which iteration has
        to be performed) are supposed to vary along the last array-dimension.
        Data has to be provided in decibel representation of reflectivity
        [dBZ].
    a : float
        proportionality factor of the k-Z relation (:math:`k=a \\cdot Z^{b}`).
        Per default set to 1.67e-4.
    b : float
        exponent of the k-Z relation ( :math:`k=a \\cdot Z^{b}` ). Per default
        set to 0.7.
    gate_length : float
        length of a range gate [km]. Per default set to 1.0.
    Returns
    -------
    pia : :class:`numpy:numpy.ndarray`
        Array with the same shape as ``gateset`` containing the calculated path
        integrated attenuation [dB] for each range gate.
    """

    gateset = np.where(np.isnan(gateset), -999, gateset)
    pia = np.zeros(gateset.shape)
    for gate in range(gateset.shape[-1] - 1):
        k = (
            a
            * idecibel(gateset[..., gate] + pia[..., gate]) ** b
            * 2.0
            * gate_length
        )
        pia[..., gate + 1] = pia[..., gate] + k
    pia = np.where(np.isnan(pia), 0, pia)
    return pia

2.2 MK方法

  针对HB的不稳定问题,可设置一个最大的允许修正量对此进行约束。Jacobi and Heistermann (2016)比较了3种对HB方法进行约束的方案,发现MK(modified Kraemer)方法最好。其调整了幂律关系的参数,使整个数据订正后的反射率不超过59 dBZ,PIA上限设为20 dB。

  MK方法(Jacobi and Heistermann 2016)是基于Hitschfeld and Bordan(1954)迭代方法的逐门衰减订正,有两个约束条件:允许的最大为59 dBZ,最大PIA为20 dB,以避免过订正。代码见wradlib库的函数atten.correct_attenuation_constrained。在不符合上述约束条件的情况下,用于计算衰减的相邻波束的数量sector_thr的默认值为10。

  代码的整体的思路是:先赋一个a和b的初值(a_max, b_max),如果订正后的数值超过了阈值,比如说反射率太强超过了59 dBZ,这样的径向如果很多,那就调整系数重新来一次,直到满足条件为止。系数调整的策略是由a_max逐步降低到a_min,b_max逐渐降低到b_min,降低的步长由n_a和n_b决定。MK方法的空间复杂度是HB方法的n_a*n_b倍。

2.3 DP方法

  双极化雷达则可以使用相位观测来估计PIA。这种方法的优点是可以用一个独立的变量来估计PIA,从而避免了依靠自身来订正 带来的不稳定问题。此外,与信号的相位而非振幅有关,不受雷达罩衰减、部分光束阻挡和硬件校准误差的影响。

  DP衰减订正方法公式如下:

其中,单位deg/km,单位dB/deg,单位dB/km。上述表达式常被认为是线性的,即,这在大部分气象雷达波段都是合理的。式中系数与雨滴谱分布DSD、温度和滴谱大小-形状关系有关。由05-07年的2D滴谱仪数据、T矩阵计算出的散射幅度(温度10°C、波长3.22 cm的情况下)、Brandesetal(2002)给出的滴谱的size–shape relation,分别为0.313和0.0483。在Park et al(2005)进行的X波段雷达模拟中,随着雨滴形状的变化差异很大,其数值在0.173-0.315 dB/deg的范围内变化(本文参考CHUVA feild campaign,时,取0.219)。根据Overeem et al (2021),C波段为$0.081。

  DP方法中不准确的也会导致PIA的误差在径向求和过程中积累。

def pia_from_kdp(kdp, dr, gamma=0.313):
    """Retrieving path integrated attenuation from specific differential \
    phase (Kdp).
    The default value of gamma is based on :cite:`Carey2000`.
    Parameters
    ----------
    kdp : :class:`numpy:numpy.ndarray`
       array specific differential phase
       Range dimension must be the last dimension.
    dr : float
        gate length (km)
    gamma : float
       linear coefficient (default value: 0.08 for C band) in the relation between
       Kdp phase and specific attenuation (alpha)
       0.313 for X band
    Returns
    -------
    output : :class:`numpy:numpy.ndarray`
        array of same shape as kdp containing the path integrated attenuation
    """

    alpha = gamma * kdp
    pia = 2 * np.cumsum(alpha, axis=-1) * dr #进行累加求和,即积分
    return pia

2.4 ZPHI方法

  ZPHI方法通过雨区的总变化来约束,然后根据径向上的分布来分摊这个衰减(Bringi and Chandrasekar2001),因此会比HB方法稳定得多,其名称“ZPHI”也是因为既用到了Z又用到PHI来进行约束。ZPHI需要两个先验值:关系中的系数[,见式(4)]和关系中的指数[b,见式(3)]。Gorgucci and Chandrasekar (2005) 和Tabary et al (2011)表明ZPHI方法一般比DP表现更好。

  ZPHI方法的整体思路是,将DP方法计算出的衰减按照Z值分配到各距离库上,具体是为每个径向求解关系中的系数a(公式3)。推导过程如下:  最终记到下面这个公式就好:

其中,a是针对每个方位角单独计算的,是这个方位角上最远的PIA对应的距离库,是根据DP方法计算出来的。

  对于,ZPHI算法通过归一化的截距参数建立了的关系:。其中,根据Testud et al(2000),X波段,  

def pia_ZPHI(gateset, kdp, dr, b = 0.76, gamma = 0.313, debug = False):
    """Retrieving path integrated attenuation using ZPHI methodwhich \
    constrains PIA_H by the total change in φDP along a radial through a rain cell. 
    The attenuation is then apportioned according to the distribution of Z_H along the radial. 
    The default value of gamma is based on :cite:`FIGURE 6.21 in book  by Zhang`.
    Parameters
    ----------
    gateset : :py:class:`numpy:numpy.ndarray`
        multidimensional array. 
        The range gates (over which iteration has to
        be performed) are supposed to vary along the *last* dimension.
        The azimuth are supposed to vary along the 2nd last dimension. 
        so, e.g., for a set of `l` radar images stored in
        polar form with `m` azimuths and `n` range-bins the input array's
        shape should be either (l,m,n).
        data has to be provided in decibel representation of reflectivity [dBZ]
    kdp : :class:`numpy:numpy.ndarray`
        array specific differential phase
        Range dimension must be the last dimension.
    dr : float
        gate length (km)
    gamma : float
        linear coefficient (default value: 0.08 for C band, 0.313 for X band) 
        in the relation between Kdp phase and specific attenuation (alpha)
    b : float
        exponent of the k-Z relation ( :math:`k=a \\cdot Z^{b}` ). Per default
        set to 0.76.
    """


    gateset = np.where(np.isnan(gateset), -999, gateset)
    alpha = gamma * kdp
    pia = 2 * np.cumsum(alpha, axis=-1) * dr
    pia = np.where(np.isnan(pia), 0, pia) # needed?
    rN = np.argmax(pia, axis = -1
    # solving `a` assuming that the attenuation is apportioned according to the distribution of ZH along the radial.
    a, numerator, denominator = np.zeros(gateset.shape[:-1]), np.zeros(gateset.shape[:-1]), np.zeros(gateset.shape[:-1])

    for iray in range(gateset.shape[-2] - 1):

        if rN[iray] > 0:
            numerator[iray] =  1 - np.exp( -0.23 * b * pia[iray,rN[iray]]) 
            tmp = 0.46 * b * np.cumsum(np.power( idecibel(gateset[iray,0:rN[iray]]), b ), axis = -1) * dr
            denominator[iray] = tmp[-1]
            if denominator[iray] > 100:
                a[iray] = numerator[iray] / denominator[iray] #a越大,衰减越厉害
            if debug:
                print('iray is %i, range : %i, last echo : %.1f, coefficient a : %.5f ' \
                    %(iray, rN[iray], idecibel(gateset[iray,0:rN[iray]][-1]), a[iray]) )

    pia = np.zeros(gateset.shape)
    for iray in range(gateset.shape[-2] - 1):
        for gate in range(gateset.shape[-1] - 1):
            k = (
                a[iray]
                * idecibel(gateset[iray, gate] + pia[iray, gate]) ** b
                * 2.0
                * dr
            )
            pia[iray, gate + 1] = pia[iray, gate] + k
    pia = np.where(np.isnan(pia), 0, pia)
    return a, pia

2.5 自适应约束算法(self-consistent with constraints, SCWC, Bringi et al 2001)

  ZPHI方法中用到的系数还是固定的。然而,不同降水微物理过程对应的变化很大。为了解决这个问题,SCWC方法通过的约束求解出最优的

  具体方法是,对于每个方位角的,重构(reconstruct)

其中,由ZPHI方法计算而来。

  对观测的和重构的之间的绝对误差 进行极小化,即可求得的最优解。由Park et al(2005),的取值范围设为0.13-0.35,步长可以设为0.01。

  整体思路:ZPHI方法中由DP方法中的可以计算出HB方法中的系数a,根据系数a和b(b是给定的)计算出的PIA来重构 ,如果与实际观测的最接近,那么这个就是最优的。




    
def pia_scwc(gateset, kdp, phi_dp, dr, gamma_max = 0.35, gamma_min = 0.13 , delta_gamma = 0.01, b = 0.76):
    """
    calculate the Path Integrated Attenuation using self-consistent with constraint method.
    Parameters
    ----------
    gateset : :py:class:`numpy:numpy.ndarray`
        multidimensional array. 
        The range gates (over which iteration has to
        be performed) are supposed to vary along the *last* dimension.
        The azimuth are supposed to vary along the 2nd last dimension. 
        so, e.g., for a set of `l` radar images stored in
        polar form with `m` azimuths and `n` range-bins the input array's
        shape should be either (l,m,n).
        data has to be provided in decibel representation of reflectivity [dBZ]
    kdp : :class:`numpy:numpy.ndarray`
        array specific differential phase
        Range dimension must be the last dimension.
    phi_dp : :class:`numpy:numpy.ndarray`
        array differential_phase
        should be the reconstructed phi_dp (filetered), phi_dp[0]should be 0.
    dr : float
        gate length (km)
    gamma_max : float
        iterate from gamma_max to gamma_min with the step of delta_gamma, to find the 
        optimal gamma, which is the linear coefficient in the relation between 
        Kdp phase and specific attenuation
    b : float
        exponent of the A-Z relation ( :math:`A=a \\cdot Z^{b}` ). Per default
        set to 0.76.
    Returns
    -------
    gamma_opt : :class:`numpy:numpy.ndarray`
        the coefficient of the A-K_DP retation (math: `A-\gamma*K_DP`) for all irays. 
    a_opt : 
        the coefficient a of the A-Z retation (math: `A=a \\cdot Z^{b}`) for all irays. 
    pia : :class:`numpy:numpy.ndarray`
        array of same shape as kdp containing the path integrated attenuation
    """

    gateset = np.where(np.isnan(gateset), -999, gateset)
    alpha = gamma_max * kdp
    pia = 2 * np.cumsum(alpha, axis=-1) * dr
    pia = np.where(np.isnan(pia), 0, pia) # needed?
    rN = np.argmax(pia, axis = -1

    tot_abs_err_min, gamma_opt = np.zeros( gateset.shape[0], dtype=float ),  np.zeros( gateset.shape[0], dtype=float)
    a_opt = np.zeros( gateset.shape[0], dtype=float ) # 数组开内存
    
    for gamma in np.arange(gamma_max, gamma_min, -delta_gamma):
        a, pia = pia_ZPHI(gateset, kdp, dr, b, gamma, debug = False)
        for iray in range(gateset.shape[0]):
            if (rN[iray] > 0):
                phi_rec_intg =  2 * np.nancumsum( a[iray] * np.power( idecibel((gateset + pia)[iray,0:rN[iray]-1]), b ) / gamma, axis = -1 ) * dr # np.stack([a]*ref.shape[1], axis=1)
                phi_rec = phi_rec_intg[-1]       
                tot_abs_err = np.abs( phi_rec - phi_dp[iray,rN[iray]-1] ) 
                if (tot_abs_err_min[iray] == 0 or tot_abs_err <= tot_abs_err_min[iray]):
                    gamma_opt[iray] = gamma
                    a_opt[iray] = a[iray]
                    tot_abs_err_min[iray] = tot_abs_err

    pia = np.zeros(gateset.shape)
    for iray in range(gateset.shape[0] - 1):
        for gate in range(gateset.shape[-1] - 1):
            k = (
                a_opt[iray]
                * idecibel(gateset[iray, gate] + pia[iray, gate]) ** b
                * 2.0
                * dr
            )
            pia[iray, gate + 1] = pia[iray, gate] + k
    pia = np.where(pia 0, np.nan, pia )
    pia = np.where(pia > 30, np.nan, pia )
    #pia[np.isnan(pia)] = 0
    pia = np.where(gateset -10, np.nan, pia )
    gamma_opt = np.where(gamma_opt == 0.0, np.nan, gamma_opt)
    a_opt = np.where(a_opt == 0.0, np.nan, a_opt)
    return a_opt, gamma_opt, pia

3 测试数据和结果

3.1 数据来源

  X波段双偏振天气雷达PX-1000 PECAN Observations,雷达介绍及资料下载地址:https://arrc.ou.edu/data.html。

3.2 测试结果

  PX-1000雷达测试数据的反射率因子、径向速度、差分反射率、比差分相位差概况如图1。

图1. PX-1000雷达测试数据概况

  图2展示了反射率因子观测、各衰减订正方法计算的双程路径积分衰减。
图2. 观测反射率因子(dBZ),5种方法计算的路径积分衰减(dB)

  图3为使用上述5种衰减订正方法订正后的反射率因子。
图3. 观测反射率因子和5种衰减订正方法订正后的反射率因子

  回波在-270°方向(正北为0°)回波较强,取附近几个方位角对其路径积分衰减进行可视化(图4)。
图4. 指定方位角的路径积分衰减情况

3.3 结果说明

  • HB方法很快会过订正(超过阈值后PIA被设为0)。
  • MK方法增加约束,更新了系数之后效果稳定。
  • KDP方法订正时采用固定的系数,但它随着雨滴形状的变化差异很大,因此对PIA的影响很大,这个例子中出现了明显的过订正。
  • ZPHI方法中,将KDP方法计算的总衰减以反射率的分布(准确来说,是由HB方法计算的衰减的分布)分摊到各距离门上,结果比KDP方法更合理。然而,ZPHI方法中总的PIA和KDP方法是一样的,因为它还是由决定的。
  • SCWC方法在ZPHI的基础上,对由PIA重构的与实测的差距进行极小化,获得最优的,过订正现象基本看不出来。
  • 这些订正方法用的是针对雨水的衰减系数,对于固态降水如冰雹不适用,所以需要判断0度层高度后,仅对0度层之下的降水回波进行订正。

参考资料:

  1. Jacobi, Stephan, and Maik Heistermann. "Benchmarking attenuation correction procedures for six years of single-polarized C-band weather radar observations in South-West Germany." Geomatics, Natural Hazards and Risk 7.6 (2016): 1785-1799.
  2. Zhang, Guifu. Weather radar polarimetry. Crc Press, 2016.
  3. wradlib库的atten模块:https://github.com/wradlib/wradlib/blob/main/wradlib/atten.py.
  4. Snyder, Jeffrey C., et al. "Attenuation correction and hydrometeor classification of high-resolution, X-band, dual-polarized mobile radar measurements in severe convective storms." Journal of Atmospheric and Oceanic Technology 27.12 (2010): 1979-2001.
  5. Overeem, Aart, et al. "Rainfall-induced attenuation correction for two operational dual-polarization c-band radars in the Netherlands." Journal of Atmospheric and Oceanic Technology 38.6 (2021): 1125-1142.
  6. Bringi, V. N., and V. Chandrasekar, 2001: Polarimetric Doppler Weather Radar: Principle and Applications. Cambridge Uni- versity Press, 636 pp.
  7. Gu, Ji-Young, et al. "Polarimetric attenuation correction in heavy rain at C band." Journal of Applied Meteorology and Climatology 50.1 (2011): 39-58.
  8. Ryzhkov, Alexander, et al. "Potential utilization of specific attenuation for rainfall estimation, mitigation of partial beam blockage, and radar networking." Journal of Atmospheric and Oceanic Technology 31.3 (2014): 599-619.
  9. Delrieu, G., S. Caoudal, and J. D. Creutin. "Feasibility of using mountain return for the correction of ground-based X-band weather radar data." Journal of Atmospheric and Oceanic Technology 14.3 (1997): 368-385.
  10. 可从ARRC实验室下载S、C和X的雷达样例数据进行测试:https://arrc.ou.edu/data.html.
  11. http://chuvaproject.cptec.inpe.br/portal/pdf/relatorios/a2anexo3a7.pdf 第83页的公式9.

以下没有实际参考到,但也可以进行拓展阅读^_^

  1. Lengfeld, Katharina, M. Berenguer, and D. Sempere Torres. "Intercomparison of attenuation correction algorithms for single-polarized X-band radars." Atmospheric Research 201 (2018): 116-132.
  2. 李思腾,马建立,陈明轩,李林,仰美霖,邢峰华. 2021. 网络化衰减订正方法在北京X波段网络化雷达中的应用. 气象学报,79(5):804-816.

    喜欢别忘了点赞收藏转发的呀💗

Python社区是高质量的Python/Django开发社区
本文地址:http://www.python88.com/topic/155914