
紫花苜蓿是世界上最早培育和驯化的优良豆科牧草作物,被誉为“牧草之王”。干旱是导致出苗率低和出苗不理想的重要因素。许多研究表明,种子丸衣技术能缓解干旱等非生物胁迫条件下种子萌发时受到的胁迫,并且能减少化肥、农药和其他化学物质的使用,从而促进农业可持续发展。然而,传统种子丸衣配方的研发往往费时费力,因此研发一种加快种子丸衣配方研发的新方法是必要的。
近日,中国农业大学草业科学与技术学院草种子生理与生产实验室在Computers and Electronics in Agriculture(中科院一区,IF2022 = 8.3)上发表了题为“A novel approach using multispectral imaging for rapid development of seed pellet formulations to mitigate drought stress in alfalfa”的研究性论文,作者以紫花苜蓿种子为材料,使用两种保水剂,分别设置三个梯度,此外设置三个对照。在干旱胁迫下进行传统的发芽试验和生理试验,并对不同丸衣配方幼苗进行多光谱成像,并分别提取了幼苗子叶和全株幼苗的光谱信息。利用支持向量机(SVM)、随机森林(RF)和反向传播神经网络(BP)构建了识别模型,并利用SHAP方法对模型进行解释。首次将多光谱成像结合机器学习应用于种子配方的研发,为提高草种子丸衣技术的信息化、智能化提供了重要的理论和技术支撑。
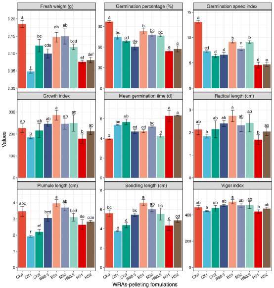
研究者基于传统的发芽试验和生理试验评价了不同丸衣配方的性能,发现BS1,BS2和HS0.5配方在发芽指标、干旱指标、抗氧化指标和叶绿素指标都是最佳的,并且这些指标解释了72.4%的方差变异,此外这些指标的贡献率相似,表明保水剂丸衣配方综合提高了幼苗抗旱性(图1,图2,图3)。对子叶光谱和幼苗光谱进行主成分分析(PCA)和典型判别分析(nCDA),表明光谱数据可以区分不同配,并且nCDA优于PCA,两者的幼苗可视化也证明这一结果(图4,图5)。基于子叶光谱和幼苗光谱数据构建的SVM、RF和BP模型结果表明利用子叶光谱数据集构建模型是优于利用全株幼苗光谱,其中基于子叶光谱数据的SVM模型准确率高达100%(图6)。使用SHAP方法解释了SVM模型,发现970, 850, 880, 940和780 nm光谱比较重要(图7),这些指标与抗氧化、叶绿素和干旱胁迫等生理指标呈显著相关(图8)。总之,研究者首次将多光谱成像结合机器学习用于加快抗旱种子丸衣配方的研发(图9),这一技术有广泛的应用潜力。
作者和基金项目
中国农业大学草业科学与技术学院博士研究生贾志程为该文第一作者,中国农业大学毛培胜教授为通信作者。该研究得到国家现代农业产业技术体系建设专项(CARS-34)和国家重点研发计划项目(2022ZD0401105)资助。

图1不同保水剂丸衣配方在干旱胁迫下的种子萌发和幼苗生长

图2 不同保水剂丸衣配方在干旱胁迫下的幼苗生理指标

图3不同保水剂丸衣配方的发芽和生理指标主成分分析

图4不同丸衣配方幼苗光谱的PCA和nCDA

图5不同丸衣配方幼苗光谱的PCA和nCDA可视化

图6基于子叶光谱数据集的SVM、BP和RF模型性能指标和混淆矩阵

图7 SHAP方法对SVM模型解释

图8光谱、生理指标相关性分析

图9 技术路线图
植物科学最前沿,专注于植物科学前沿进展、资讯、招聘信息的发布及方法软件共享等。投稿及招聘请后台回复“投稿”,均为无偿;商务合作请联系微信ID:zwkxqy ;