来源|https://zhuanlan.zhihu.com/p/22252270本文仅对一些常见的优化方法进行直观介绍和简单的比较,各种优化方法的详细内容及公式只好去认真啃论文了,在此我就不赘述了。SGD
此处的SGD指mini-batch gradient descent,关于batch gradient descent, stochastic gradient descent, 以及 mini-batch gradient descent的具体区别就不细说了。现在的SGD一般都指mini-batch gradient descent。 SGD就是每一次迭代计算mini-batch的梯度,然后对参数进行更新,是最常见的优化方法了。即:其中,
是学习率,
是梯度 SGD完全依赖于当前batch的梯度,所以 可理解为允许当前batch的梯度多大程度影响参数更新 缺点:(正因为有这些缺点才让这么多大神发展出了后续的各种算法) 选择合适的learning rate比较困难 - 对所有的参数更新使用同样的learning rate。对于稀疏数据或者特征,有时我们可能想更新快一些对于不经常出现的特征,对于常出现的特征更新慢一些,这时候SGD就不太能满足要求了SGD容易收敛到局部最优,并且在某些情况下可能被困在鞍点【原来写的是“容易困于鞍点”,经查阅论文发现,其实在合适的初始化和step size的情况下,鞍点的影响并没这么大。感谢@冰橙的指正】Momentum
momentum是模拟物理里动量的概念,积累之前的动量来替代真正的梯度。公式如下:其中,
是动量因子下降初期时,使用上一次参数更新,下降方向一致,乘上较大的
能够进行很好的加速
下降中后期时,在局部最小值来回震荡的时候,
, 使得更新幅度增大,跳出陷阱
在梯度改变方向的时候,
能够减少更新 总而言之,momentum项能够在相关方向加速SGD,抑制振荡,从而加快收敛
Nesterov
nesterov项在梯度更新时做一个校正,避免前进太快,同时提高灵敏度。将上一节中的公式展开可得:
可以看出, 并没有直接改变当前梯度
,所以Nesterov的改进就是让之前的动量直接影响当前的动量。即: 所以,加上nesterov项后,梯度在大的跳跃后,进行计算对当前梯度进行校正。如下图:momentum首先计算一个梯度(短的蓝色向量),然后在加速更新梯度的方向进行一个大的跳跃(长的蓝色向量),nesterov项首先在之前加速的梯度方向进行一个大的跳跃(棕色向量),计算梯度然后进行校正(绿色梯向量) 其实,momentum项和nesterov项都是为了使梯度更新更加灵活,对不同情况有针对性。但是,人工设置一些学习率总还是有些生硬,接下来介绍几种自适应学习率的方法 Adagrad
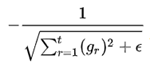
此处,对
从1到
进行一个递推形成一个约束项regularizer,
, e用来保证分母非0
设置过大的话,会使regularizer过于敏感,对梯度的调节太大 中后期,分母上梯度平方的累加将会越来越大,使
,使得训练提前结束 Adadelta
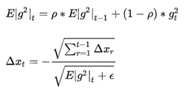
Adadelta是对Adagrad的扩展,最初方案依然是对学习率进行自适应约束,但是进行了计算上的简化。Adagrad会累加之前所有的梯度平方,而Adadelta只累加固定大小的项,并且也不直接存储这些项,仅仅是近似计算对应的平均值。即:
在此处Adadelta其实还是依赖于全局学习率的,但是作者做了一定处理,经过近似牛顿迭代法之后: 其中,
代表求期望。 此时,可以看出Adadelta已经不用依赖于全局学习率了。 训练初中期,加速效果不错,很快
训练后期,反复在局部最小值附近抖动
RMSprop
RMSprop可以算作Adadelta的一个特例:当
时,
就变为了求梯度平方和的平均数。 此时,这个RMS就可以作为学习率
的一个约束: Adam
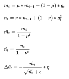
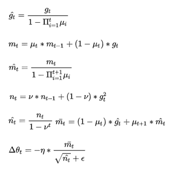
Adam(Adaptive Moment Estimation)本质上是带有动量项的RMSprop,它利用梯度的一阶矩估计和二阶矩估计动态调整每个参数的学习率。Adam的优点主要在于经过偏置校正后,每一次迭代学习率都有个确定范围,使得参数比较平稳。公式如下: 其中,
,
分别是对梯度的一阶矩估计和二阶矩估计,可以看作对期望
,
的估计;
,
是对
,
的校正,这样可以近似为对期望的无偏估计。可以看出,直接对梯度的矩估计对内存没有额外的要求,而且可以根据梯度进行动态调整,而 对学习率形成一个动态约束,而且有明确的范围。Adamax
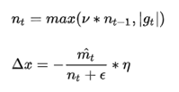
Adamax是Adam的一种变体,此方法对学习率的上限提供了一个更简单的范围。公式上的变化如下:
Nadam
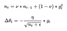
Nadam类似于带有Nesterov动量项的Adam。公式如下:
可以看出,Nadam对学习率有了更强的约束,同时对梯度的更新也有更直接的影响。一般而言,在想使用带动量的RMSprop,或者Adam的地方,大多可以使用Nadam取得更好的效果。 经验之谈
对于稀疏数据,尽量使用学习率可自适应的优化方法,不用手动调节,而且最好采用默认值 SGD通常训练时间更长,但是在好的初始化和学习率调度方案的情况下,结果更可靠 如果在意更快的收敛,并且需要训练较深较复杂的网络时,推荐使用学习率自适应的优化方法。Adadelta,RMSprop,Adam是比较相近的算法,在相似的情况下表现差不多。 在想使用带动量的RMSprop,或者Adam的地方,大多可以使用Nadam取得更好的效果最后展示两张可厉害的图,一切尽在图中啊,上面的都没啥用了... ... 引用:
[1]Adagrad(http://www.jmlr.org/papers/volume12/duchi11a/duchi11a.pdf)
[2]RMSprop[Lecture 6e]
(http://www.cs.toronto.edu/~tijmen/csc321/lecture_notes.shtml)
[3]Adadelta(http://arxiv.org/abs/1212.5701)
[4]Adam(http://arxiv.org/abs/1412.6980v8)
[5]Nadam(http://cs229.stanford.edu/proj2015/054_report.pdf)
[6]On the importance of initialization and momentum in deep learning
(http://www.cs.toronto.edu/~fritz/absps/momentum.pdf)
[7]Keras中文文档(http://keras-cn.readthedocs.io/en/latest/)
[8]Alec Radford(https://twitter.com/alecrad)
[9]An overview of gradient descent optimization algorithms
(http://sebastianruder.com/optimizing-gradient-descent/)
[10]Gradient Descent Only Converges to Minimizers
(http://www.jmlr.org/proceedings/papers/v49/lee16.pdf)
[11]Deep Learning:Nature
(http://www.nature.com/nature/journal/v521/n7553/abs/nature14539.html)
