https://github.com/google/latexify_py 是一个由 Google 开发的 Python 库,用于将 Python 表达式转换为 LaTeX 格式的数学公式。它可以帮助用户将复杂的数学表达式转化为高质量的 LaTeX 代码,方便在科学论文、学术演示等场合使用。通过使用 latexify_py,用户可以避免手动编写复杂的 LaTeX 公式,提高数学表达式的可读性和美观性。
该库的主要特点和功能包括:
- 支持常见的数学函数和运算符:latexify_py 可以处理常见的数学函数(如 sin、cos、exp 等)和运算符(如加减乘除、指数、对数等),并将其转换为相应的 LaTeX 格式。
- 处理多个输入变量和表达式:这个库可以同时处理多个输入变量和表达式,并将它们整合成一个 LaTeX 字符串,方便用户一次性生成多个数学公式。
- 转换为可嵌入的 LaTeX 代码:生成的 LaTeX 代码具有良好的可嵌入性,可以直接插入到 LaTeX 文档中,或者使用其他工具(如 Matplotlib)进行进一步的处理和展示。
- 自定义输出格式选项:用户可以通过设置不同的选项来定制输出的 LaTeX 代码的格式,包括是否添加括号、是否展示函数参数等。
- 良好的兼容性和易用性:该库支持 Python 3.x 版本,可以与其他科学计算库(如 NumPy、SymPy 等)进行良好的集成,使用简单且灵活。
如何安装
安装很简单了,这里直接用 pip,需要注意的是 latexify 库并不支持最新的 python 版本:
$ pip install latexify-py
基本语法:
官方文档介绍了三种使用方法,分别是 latexify.function,latexify.expression 和 latexify.get_latex;
import math //引入数学模块(有些运算的函数需要)
import latexify //引入latexify模块
@latexify.with_latex //特定语法,表示之后定义的函数可以转化为LaTeX代码
def f(x,y,z): //包含的参数
pass //此处填写可能需要的数学表达式
return result //也可以直接体现数学关系
print(f) //直接print(函数名)
首先,导入需要的库(math,latexify)
核心,在需要转变的数学表达式写在自定义函数中,并在之前加上特有语法@latexify.with_latex
呈现,在 print()函数中加入函数名,即可在输出区得到需要的 LaTeX 数学表达式:
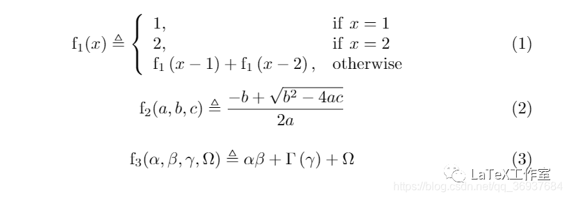
@latexify.with_latex
def f_1(x):
if x==1:
return 1
elif x==2:
return 2
else:
return f_1(x-1) + f_1(x-2)
print(f_1)
@latexify.with_latex
def f_2(a, b, c):
return (-b + math.sqrt(b**2 - 4*a*c)) / (2*a)
print(f_2)
@latexify.with_latex
def f_3(alpha, beta, gamma, Omega):
return alpha * beta + math.gamma(gamma) + Omega
print(f_3)

另外官网库给的示例如下:

无论是在科学研究、教学还是科技写作中,这个库都能为用户节省时间和精力,并帮助用户轻松生成高质量的 LaTeX 数学公式。
