Py学习  »  机器学习算法

文献精读:开发基于机器学习的HCC早期诊断预测模型

医学界肿瘤频道 • 11 月前 • 184 次点击  
*仅供医学专业人士阅读参考

eHCC-pred模型将HCC早期诊断的准确率从78.15%提升至97%。


肝细胞癌(HCC)的诊断通常依赖于影像学检查或组织活检。尽管大多数HCC病例在影像学上具有特异性表现,但仍有约10%的肿瘤(在直径为1-2cm的肿瘤中,这一比例可高达30%)缺乏典型的影像学特征[1]。在临床上怀疑HCC但影像学特征不典型的情况下,不应推迟进行活检或安排复查。若复查结果仍然不明确,则应进行活检[2]。然而,活检样本若采集位置不精确,可能导致误诊(即假阴性结果)。对于从非肿瘤(如肝硬化或正常)组织中采集到的HCC活检样本,小活检样本的诊断假阴性率大约在30%-50%[3,4]。因此,开发新的分子标志物对于早期HCC的诊断尤为关键,特别是在活检样本位置可能存在偏差的情况下。

近期,一项研究利用大样本数据,结合最小冗余最大相关性(mRMR)和最大相关性最大距离(MRMD)两种特征选择方法,并融合八种基于机器学习的算法,开发出一种用于HCC早期预测的模型(eHCC-pred)。该模型将HCC早期诊断的准确率从78.15%提升至97%,有望在个体化水平上稳定地应用于临床实践,助力HCC的早期诊断。该模型可于http://www.dulab.com.cn/eHCC-pred/免费获取[5]。医学界肿瘤频道整理该研究内容如下,以供参考。


本项研究采用了来自三个公共数据库(GEO、ICGC和TCGA)的46个数据集,共计5586个组织样本,其中包含4045个肝细胞癌(HCC)样本、416个未发生HCC的肝硬化(CwoHCC)样本、334个伴有HCC的肝硬化(CwHCC)样本以及791个未发生HCC的正常肝组织(NwHCC)样本。


GEO数据库的44个转录组数据集包含3431个HCC样本、416个CwoHCC样本、334个CwHCC样本和741个NwHCC样本。数据通过Affymetrix、Agilent和Illumina平台检测,Affymetrix芯片数据集经RMA方法处理,Agilent和Illumina芯片数据集使用预处理数据。ICGC和TCGA数据集分别包含243个和371个HCC样本,以及50个NwHCC样本。研究还使用了HPA数据库下载的2902个分泌基因数据。



1.HCC预测模型的推导

 
本研究的整体分析流程如图1所示。首先,基于988个HCC样本和332个CwoHCC样本的基因表达谱,分别获得了25,341,086对和20,559,429对稳定的基因对。在这两组基因对中,有5765对基因对在HCC组织和CwoHCC组织之间表现出稳定的逆转关系。接着,通过筛选2902个分泌基因中的基因对,最终获得了242对基因对,这些基因对中的基因i和基因j均为分泌基因。随后,基于包含242个特征(基因对)的新数据集提取了最佳特征。

 

图1. 整体分析流程


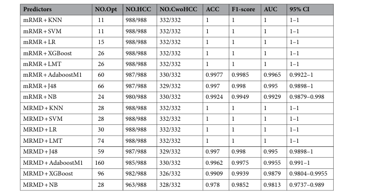
表1展示了基于准确率、F1分数适应函数和AUC值对不同预测模型分类性能的比较。表1的结果表明,包括mRMR + KNN、mRMR + SVM、mRMR + LR、mRMR + XGBoost、mRMR + LMT、MRMD + KNN、MRMD + SVM、MRMD + LR和MRMD + LMT在内的九种预测模型,在所有性能指标上均表现优异,准确率、F1分数和AUC值均达到1。


在这九种预测模型中,mRMR + KNN和mRMR + SVM的基因对数量最少,仅包含11对基因对(表2)。



2.HCC预测模型的验证


使用独立数据集(包括测试集、GEO数据集、ICGC数据集和TCGA数据集)对各种算法的性能进行了验证。如表3所示,对于3057个HCC样本和84个CwoHCC样本,MRMD + SVM预测模型(包含28对基因对)在独立数据集中获得了最高的准确率和F1分数,其准确率、F1分数和AUC值分别为0.9834、0.9915和0.9278。而mRMR + SVM预测模型(包含11对基因对)在独立数据集中获得了最高的AUC值0.9384,高于其他预测模型。因此,在后续分析中重点关注这三个预测模型。他们在活检样本和手术样本中的详细验证结果如表4所示。

  • 活检样本

在测试集(29个HCC样本和48个CwoHCC样本)中,mRMR + SVM预测模型和mRMR + KNN预测模型均实现了1的敏感性和1的特异性,而MRMD + SVM预测模型的敏感性为1,特异性为0.8542。在GEO活检数据集中(GSE121248, GSE47197),mRMR + SVM预测模型正确分类了96.18%的HCC样本,mRMR + KNN预测模型正确分类了66.41%的HCC样本,而MRMD + SVM预测模型对131个HCC样本的分类准确率达到了100%。

  • 手术样本

在测试集(220个HCC样本和36个CwoHCC样本)中,mRMR + SVM预测模型和mRMR + KNN预测模型的敏感性和特异性均为1,而MRMD + SVM预测模型的敏感性为1,特异性为0.8889。


这些结果表明,在使用活检样本时,mRMR + SVM预测模型、mRMR + KNN预测模型和MRMD + SVM预测模型均能够准确区分HCC和CwoHCC。


3.与现有预测模型的比较


对于1800个HCC样本,Ao教授团体开发的模型、本研究团队既往开发的模型以及本次提出的mRMR + SVM预测模型和MRMD + SVM预测模型的准确度分别为0.6639、0.7656、0.8428和0.9872。对于1931个HCC样本,Ao方法的准确度为0.6572,本研究团队既往方法的准确度为0.7815,而mRMR + SVM预测模型和MRMD + SVM预测模型的准确度分别提高到0.8503和0.97。上述结果表明,mRMR + SVM预测模型和MRMD + SVM预测模型在与现有预测模型相比,表现更为优越。


最终,本研究成功开发了一种基于机器学习的HCC早期诊断预测模型eHCC-pred。该模型集成了两种不同的机器学习预测算法:MRMD + SVM和mRMR + SVM,将HCC早期识别的准确率从78.15%提升至97%,将为临床医生提供了更为精确的工具,以期在HCC的早期阶段就进行有效的干预和治疗。













长按识别二维码
或点击阅读原文
精彩资讯等你来



参考文献:
[1]Llovet JM, Kelley RK, Villanueva A, et al. Hepatocellular carcinoma. Nat Rev Dis Primers. 2021 Jan 21;7(1):6. doi: 10.1038/s41572-020-00240-3. Erratum in: Nat Rev Dis Primers. 2024 Feb 12;10(1):10.

[2]Marrero JA, Kulik LM, Sirlin CB, et al. Diagnosis, Staging, and Management of Hepatocellular Carcinoma: 2018 Practice Guidance by the American Association for the Study of Liver Diseases. Hepatology. 2018 Aug;68(2):723-750.

[3]Forner A, Llovet JM, Bruix J. Hepatocellular carcinoma. Lancet. 2012 Mar 31;379(9822):1245-55.

[4]Villanueva A, Minguez B, Forner A, et al. Hepatocellular carcinoma: novel molecular approaches for diagnosis, prognosis, and therapy. Annu Rev Med. 2010;61:317-28.

[5]Zhang ZM, Huang Y, Liu G, et al. Development of machine learning-based predictors for early diagnosis of hepatocellular carcinoma. Sci Rep. 2024 Mar 4;14(1):5274. 


审批编号:CN-150407 有效期至:2025-12-18

本材料由阿斯利康提供,仅供医疗卫生专业人士参考

更多医疗资讯,点击“阅读原文”查看

Python社区是高质量的Python/Django开发社区
本文地址:http://www.python88.com/topic/177231