社区所有版块导航
Python
python开源   Django   Python   DjangoApp   pycharm  
DATA
docker   Elasticsearch  
aigc
aigc   chatgpt  
WEB开发
linux   MongoDB   Redis   DATABASE   NGINX   其他Web框架   web工具   zookeeper   tornado   NoSql   Bootstrap   js   peewee   Git   bottle   IE   MQ   Jquery  
机器学习
机器学习算法  
Python88.com
反馈   公告   社区推广  
产品
短视频  
印度
印度  
Py学习  »  机器学习算法

Urban Climate好文!解读京津冀城市群生态韧性时空动态与驱动机制:一种深度学习方法

生态遥感前沿 • 5 月前 • 308 次点击  

SHARE

图片

1

研究内容



本研究考察了2010 - 2020年京津冀地区的生态韧性,将基于Transformer的TSAR-SHAP模型的深度学习方法与1 km × 1 km网格数据集的时空分析相结合。生态韧性从形态、密度和协调维度以及社会经济、环境和气候因素进行评估。

2

研究区域



京津冀(BTH)地区是中国最具优势的城市群之一,在中国新型城镇化战略中发挥着关键作用,对国家竞争力有着重要贡献。京津冀城市群的土地利用格局从东北向西南呈带状分布。这种布局反映了生态景观发展的不平衡性,高密度的城市区域集中在北京、天津和河北省南部。该地区面临着一个重大挑战,即人口快速增长、工业化和社会经济发展与有限的生态土地资源之间的冲突,导致了城市群的城市化与环境可持续性之间不可避免的紧张关系。对此,本研究试图通过制定一个综合指数来衡量该地区的整体生态韧性,从而加深对生态系统与城市发展之间协同作用的理解。

图片

图1.京津冀城市群的位置和海拔

3

研究方法

01

城市生态韧性模型

①形态韧性模型

 城市形态是指城市内部各种土地要素的排列和相互作用。它与城市抵御和缓冲外部干扰的能力紧密相连。为了评估这种韧性,我们计算了一个确定区域内“源”和“汇”之间的平均距离。在“源-汇”理论中,景观被分为“源”(对生态过程产生积极影响)和“汇”(对生态过程产生消极影响)。采用平均距离指数评价“源-汇”景观组合的空间合理性,表征景观的形态韧性。

图片

其中MRi是网格i的形态韧性指数;Aij表示网格i内“源”景观类别j的比例;Lj是一个常数,表示研究区域中“源”和“汇”景观的平均面积; Lijk是网格i中“源”斑块j到研究区域中“汇”斑块的平均距离; j是源斑块; i是源景观的网格;k是汇斑块; m是“源”网格的总数;n是“汇”网格的总数。

图片

②密度韧性模型

城市密度是指城市中各种景观斑块的分布情况,理想的密度是紧凑而均衡的。密度过大或规划不当会导致城市无计划扩张,并增加对风险的脆弱性。在这项研究中,我们使用平均城市紧凑度来量化密度韧性。

图片

其中,DRi是网格i的密度恢复力; pn和an 分别是网格中景观斑块n的周长和面积;N是总数。

图片

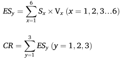
③协调韧性模型

基于土地利用变化对生态系统服务供给和需求的影响理论,采用Burkhard等提出的非货币性供需平衡矩阵。根据专家分析和相关研究,我们为25个土地利用类别分配了0到5的值,0表示没有关系,较高的值表示更强的供需需求。供应和需求矩阵(表B1和表B2)被整合并用于创建平衡矩阵(表B3)。该矩阵是按土地利用类别计算生态系统服务预算的基础。使用该框架,我们评估了城市协调韧性,如以下等式所示:

图片
图片
图片
图片


02

基于Transformer的TSAR-SHAP模型

本研究采用了一种新的深度学习框架,基于转换器的时空注意力回归模型与SHAP分析(TSAR-SHAP),阐明了时空背景下多因素对生态韧性(ER)的复杂影响。与传统的机器学习方法不同,这种方法利用Transformers固有的强大自我注意机制来捕获跨时间切片和空间维度的非线性依赖关系和远程交互。通过集成时间片分割、排列测试和基于Shapley的可解释性模块,TSAR-SHAP提供了强大的预测性能和对特征贡献的细粒度解释。

4

研究结果

1

生态韧性的时空格局

本部分探讨了2010 - 2020年京津冀城市群生态韧性的时空演变。通过对形态韧性、密度韧性和协调韧性的分析,对韧性的动态变化有了全面的认识。

京津冀城市群生态韧性的空间格局呈现出显著的异质性。低韧性核心领域:北京和天津的中心城区在过去十年中表现出持续较低的生态韧性(ER值<0.2)。这种低韧性模式反映了强烈的城市化压力,生态用地被建筑区取代,导致形态和协调韧性下降。韧性外围区域:河北省的北方和西部,包括张家口和承德,表现出持续的高韧性水平(ER>0.6)。这些地区受益于丰富的森林资源、自然景观和有限的城市扩张。沿海地区,如秦皇岛,也表现出中等至高的韧性水平,由于保护生态走廊和自然资源保护的战略空间规划。


图片

图2.2010年、2015年和2020年京津冀城市群的平均形态(a)(b)、密度(c)(d)和协调(e)(f)韧性水平及其年度城市水平变化waffle图

整个城市群的平均生态韧性值呈现出逐渐增加的趋势,特别是在重点生态恢复工作的地区。形态韧性:“源-汇”景观组合的空间合理性随着时间的推移略有改善,特别是在周边生态区。然而,分散的生态斑块持续存在于城市化地区。密度韧性:紧凑和平衡的城市密度对保定和秦皇岛等特定城市的韧性做出了积极贡献,而廊坊和石家庄的无序开发则破坏了韧性。协调韧性:北方地区生态系统服务供需不匹配有所缓解,但南方地区生态系统服务供需不平衡加剧,特别是邯郸、邢台等资源约束突出的城市。


图片

图3.2010年、2015年和2020年京津冀城市群的三年平均生态韧性水平

2

深度学习模型结果

利用基于Transformer的TSAR-SHAP模型,系统评价了2010-2015年、2015-2020年、2010-2020年和2010-2015-2020年四个时段内影响京津冀城市群生态韧性的关键因子的时空变化。通过集体和单独分析这些时间片段,研究结果揭示了影响因素的大小、方向和空间异质性随着时间的推移发生了显着变化。

①影响因素的时间动态

2010-2015年(图4(a))标志着快速城市化的开始,其中建设用地比例(x5)和人口密度(x1)占主导地位,成为生态韧性的主要负面驱动因素。

2015-2020年期间(图4(b)),城市化的生态影响(x5)进一步加剧,伴随着PM2.5(x4)重要性的急剧增加,反映了工业化、车辆排放和土地用途转换的复合效应。

2010-2020年期间(图5(a)),建设用地(x5)和PM2.5(x4)的累积影响是导致韧性下降的最重要因素。

2010 -2015-2020年的综合分析(图5(b))强调,随着时间的推移,极端气候和污染的重要性日益增加。SHAP总结图表明,虽然城市化相关的压力在早期占主导地位,气候因素(x6,x7)表现出越来越强的影响,反映了气候变异对生态系统的加速影响。

图片

图4.2010-2015年和2015-2020年数据集的SHAP值


图片

图5.2010-2020年和2010-2015-2020年数据集的SHAP值

②主要驱动因素的空间格局

建设用地比重(x5)的空间分布表明,其负面影响主要集中在城市核心区,特别是北京和天津,以及河北中部快速城市化地区。这些地区经历了重大的土地利用变化,SHAP值一直为负值,幅度很大,表明生态受到严重破坏。

PM2.5浓度(x4)的空间SHAP地图显示了从北京和天津向外延伸到周边城市地区的关键污染区。x4的负面影响在工业走廊和车辆排放量高的地区尤为明显。随着时间的推移,这些热点的蔓延反映了空气污染日益加重的生态负担。

人口密度(x1),而表现出相对稳定的时间重要性,空间突出城市中心的生态压力焦点。北京和天津等人口密度高的地区,SHAP值为负,进一步加剧了建设用地和污染对生态韧性的影响。


图片

图6.空间SHAP结果

5

结论

2010年至2015年间,生态韧性水平显著下降,特别是在北京和天津等城市核心地区,这是由城市扩张、PM2.5污染和二氧化碳排放造成的。2015年至2020年的部分复苏反映了协调一致的环境政策的积极影响,包括空气污染控制和生态恢复举措。从空间上看,由于人口密度高和建成区面积扩大,城市中心地区表现出持续的生态压力,而河北北方农村地区在自然生态系统和有利气候条件的支持下表现出更高的韧性。

6

原文引用

Fengliang Tang, Peng Zeng, Yuanyuan Guo, Yingning Shen, Lei Wang, Kaixin Liu, Longhao Zhang,Decoding the spatiotemporal dynamics and driving mechanisms of ecological resilience in the Beijing-Tianjin-Hebei urban agglomeration: A deep learning approach,Urban Climate,Volume 61,2025,102436.

Python社区是高质量的Python/Django开发社区
本文地址:http://www.python88.com/topic/183055