Py学习  »  机器学习算法

【速览】TNNLS 2025 | 面向开集主动域适应的证据深度学习

中国图象图形学学会CSIG • 3 月前 • 159 次点击  
  






会“成果速览”系列文章旨在将图像图形领域会议期刊重要成果进行传播,通过短篇文章让读者用母语快速了解相关学术动态,欢迎关注和投稿~

面向开集主动域适应的证据深度学习

Qing Tian , Jiangsen Yu Yi ZhaoWen Li ,Zhen Lei3
南京信息工程大学
电子科技大学
3中国科学院自动化研究所
TNNLS 2025
撰稿人:郁江森
通讯作者:田青

推荐理事:卢湖川

原文标题:Evidential Deep Learning for Open-Set Active Domain Adaptation
原文链接:https://ieeexplore.ieee.org/document/11017677



欢迎投稿中国图象图形学学会《速览》栏目,借助学会平台扩大影响力!请将Word文档发送至邮箱:mv@csig.org.cn,文章须还没有在其他媒体发布过和同时向其他媒体投稿,谢谢!



引言

域适应(Domain Adaptation, DA)已经成为机器学习和计算机视觉领域中的关键任务,旨在通过将知识从标记的源域转移到未标记的目标域来缓解域转移问题。传统的域适应方法大多基于封闭集假设,即源域与目标域类别完全一致。然而,现实中目标域可能包含源域未见的新类别,此类更具挑战性的场景被称为开集域适应(Open-Set Domain Adaptation, OSDA)。OSDA的关键挑战在于识别已知类别样本并区分未知类别样本,避免负迁移。值得注意的是,大多数现有的OSDA方法忽略了模型预测中的不确定性,容易在未知类别上做出过于自信的错误判断,影响整体性能。为了解决这些问题,本文提出一种面向开集主动域适应的证据深度学习方法(Evidential Deep Learning for Open-Set Active Domain Adaptation, EOSADA),利用Dirichlet分布替代传统分类网络中的softmax输出,有效建模分类不确定性,并结合两轮主动选择策略,在有限标注预算下选择最有价值的样本,从而提升模型在开放集场景下的整体性能。

所提方法

如图1所示,本文提出的EOSADA方法创新性地将证据深度学习(Evidential Deep Learning, 

EDL)与主动学习相结合,通过两阶段策略解决开放集域适应问题。首先,利用混合技术生成虚拟未知类样本,结合Dirichlet分布建模预测不确定性,使模型能够区分已知类和未知类;其次,设计了两轮样本选择机制:首轮基于数据不确定性筛选高价值样本,次轮通过语义相似性评分从候选集中选择与已知类最相关的样本,在保证样本信息量的同时实现类别平衡。该方法无需修改模型结构,仅需有限标注即可显著提升模型在开放集场景下的性能。具体而言:

图 所提EOSADA框架示意图

证据深度学习

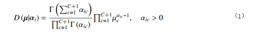
传统分类网络通过softmax输出点估计概率,无法反映预测的不确定性。为了解决这一问题,EDL通过将分类预测建模为Dirichlet分布,将点估计转化为概率单纯形上的分布。根据网络输出证据参数可以计算类预测的概率密度。计算公式如下:

通过这种方式,每个样本的预测概率被解释为概率单纯形上的分布,使我们能够获得关于预测的不确定性信息。通过计算Dirichlet期望,样本被我们的网络预测为c类的概率可以表示为:

选择策略

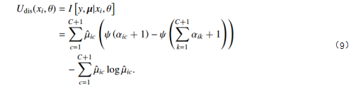
在主动域适应场景中,要在有限的预算内实现收益最大化,所选样本应包含有利于区分的信息。与依赖传统深度神经网络的方法不同,我们使用EDL来获得模型的不确定性信息,而不需要额外的分类器或聚类操作。为了评估目标域样本的判别信息,我们使用了所有可能预测的期望熵,具体来说,对于给定样本,其数据不确定性可表示如下:

在开集域适应场景中,由于目标域中存在属于新类别的高不确定性样本,仅使用数据不确定性作为标准通常会导致有限的注释预算不成比例地分配给来自新类别的样本。我们引入语义相似度评分作为第二轮选择的基础。语义相似度评分旨在优先考虑与第一轮已知类样本更相似的样本,从而在主动注释步骤中平衡已知类样本和新类样本的数量。语义相似性得分可以定义为:

证据模型训练

为了在开集域适应场景中训练具有识别新类别能力的证据模型,我们通过流形混合来模拟新类别的出现[1]。具体来说,由于两个已知源类别之间的内插区域通常表现出低置信度和高预测不确定性,我们从源域中的不同类别中任意选择两个样本,然后对它们的嵌入特征进行线性插值,并将得到的嵌入作为一个新的类,标记为C+1。我们使用混合生成的样本和具有EDL损失的源域样本来训练输出维数为C+1的源模型。线性插值运算的公式表示如下:

为了在证据模型产生的标记数据的单纯形角落处生成尖锐的狄利克雷分布,确保可靠和一致的预测,我们首先通过最小化边际似然的负对数来训练模型:

然后,我们用两个狄利克雷分布之间的KL散度训练模型:

EDL中的典型训练损失可表示为:

除了对标记样本进行训练外,我们的目标是减少未标记样本的不确定性。根据文献[2],我们使用分布不确定性,即由于缺乏证据而导致的不确定性,来衡量源域和目标域之间的分歧。分布不确定性具体定义如下:

与使用域鉴别器来区分源域和目标域的传统域自适应方法不同,利用分布不确定性避免了训练域鉴别器的额外开销,并且与预测内在相关。对于数据不确定性和分布不确定性,我们使用以下公式降低未标记样本的不确定性:

整体方法

DCL的所有模块都如上所述,考虑到上述所有模块,我们因此设计了总体训练损失函数如下:

整体训练过程如算法1所示:

实验

我们对三种被广泛采用的数据集进行了评估,即Office-Home、mini-DomainNet和VisDA-2017。为了更直观地理解数据集,图2显示了一些示例。

图 2 实验中使用的示例图像

我们首先在三个基准数据集上进行了对比实验以验证我们方法的有效性,如表1-4所示。

表 1 Office-Home (50:15)上的分类准确率(%)

表 2 Office-Home (55:10)上的分类准确率(%)

表 3 mini-DomainNet (106:20)上的分类准确率(%)

表 4 VisDA-2017 (9:3)上的分类准确率(%)

其次,EOSADA在不同的总标记预算B上进行了实验,结果表明,EOSADA可以有效地利用有限的注释资源,通过选择最具信息量的样本进行标记,从而快速提高模型性能,如图3所示。

图 3 不同总标记预算实验

此外,对两个超参数在不同开放水平的Office-Home数据集上进行了实验,如图4所示。

图 4 参数敏感性实验

最后,我们从时间成本和准确性方面对EOSADA方法进行了深入的比较,如图5所示。

图 5 时间成本比较

总结

本文介绍了EOSADA,通过引入不确定性估计来解决开集主动域适应的挑战。通过使用EDL将点估计转换为概率单纯形上的分布,我们的方法在不增加额外模块或显著开销的情况下增强了识别新类的鲁棒性。EOSADA采用了基于数据不确定性和语义相似性的两轮选择策略,在有限的注释预算下优化样本选择。在三个数据集上进行的广泛实验表明,EOSADA在开集主动域适应场景中的性能优于传统的主动学习方法。未来的工作将探索将EOSADA应用于其他领域适应情景和完善主动学习策略。

参考文献

[1] Verma V, Lamb A, Beckham C, et al. Manifold mixup: Better representations by interpolating hidden states. In Proceedings of International Conference on Machine Learning. 2019: 6438-6447.

[2] Xie M, Li S, Zhang R, et al. Dirichlet-based uncertainty calibration for active domain adaptation. arXiv preprint arXiv:2302.13824, 2023.




【ICIG 2025】ICIG 2025 Call for Workshops

【ICIG 2025】Call for Sponsors
关于征集CSIG图像图形学科前沿讲习班承办方的通知
图像图形领域高质量科技期刊分级目录
中国图象图形学学会关于征集科研成果的通知
关于开展中国图象图形学学会科技成果鉴定工作的通知
中国图象图形学学会科普活动、素材征集通知
2025年CSIG图像图形中国行承办方征集中

Python社区是高质量的Python/Django开发社区
本文地址:http://www.python88.com/topic/184275