Py学习  »  机器学习算法

研究前沿:固态电解质-高Sc掺杂+机器学习 | Nature Materials

今日新材料 • 2 月前 • 157 次点击  

电化学装置主要是电解质材料的发现和发展推动的。然而,高性能和化学稳定的质子传导氧化物电解质开发,仍然是挑战之一,这是由于掺杂氧化物中,质子捕获和由此产生的离子载流子浓度和电导率之间权衡。

近日,日本九州大学Kota Tsujikawa,Yoshihiro Yamazaki等,在Nature Materials上发文,证明了重钪Sc掺杂的立方钙钛矿氧化物,可以克服这些限制。

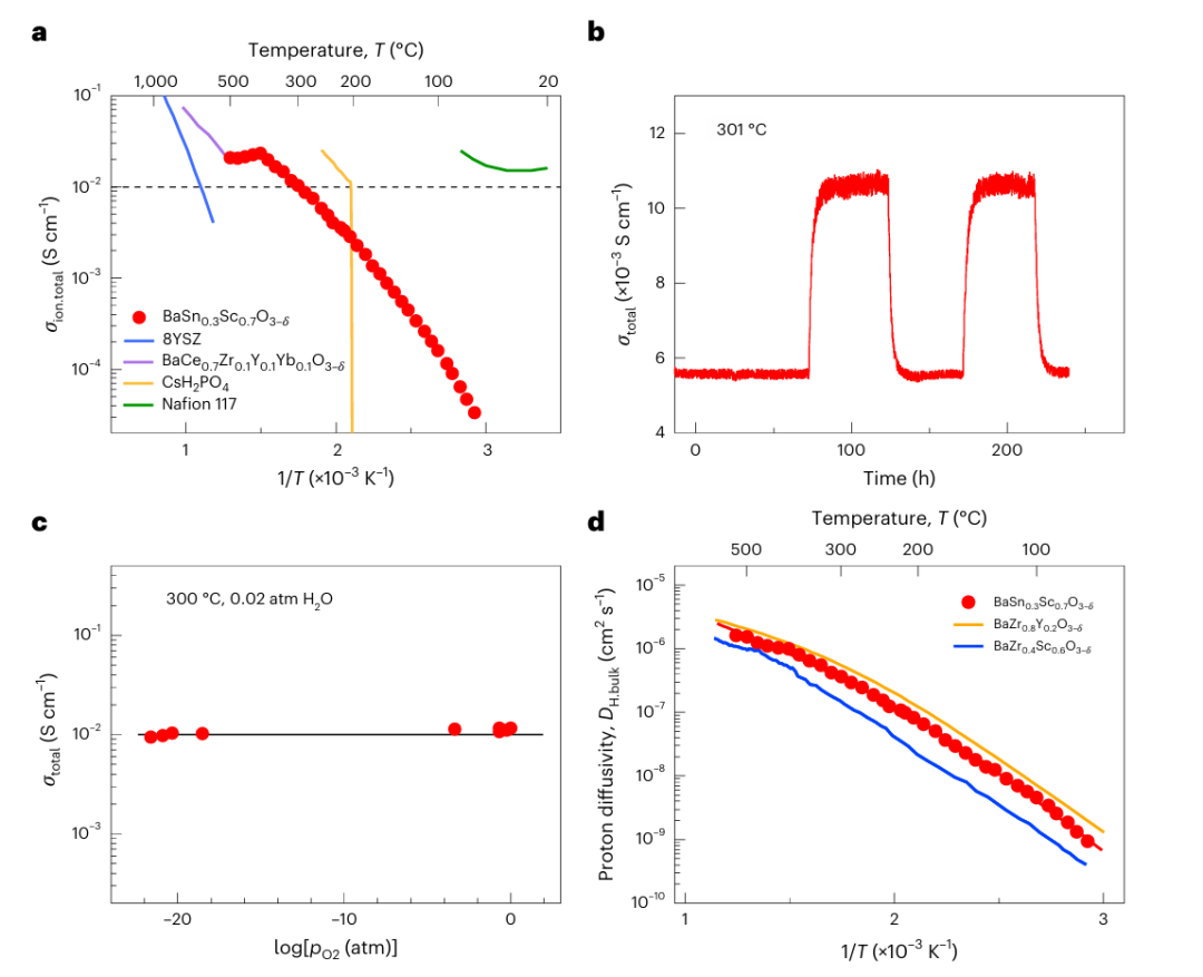
研究发现,在300°C时,BaSn0.3Sc0.7O3–δ 和BaTi0.2Sc0.8O3–δ超过了燃料电池电解质总质子传导率0.01 S cm−1技术阈值。在苛刻化学和燃料电池条件时,进一步验证了BaSn0.3Sc0.7O3–δ结构稳定性。

机器学习力场的分子动力学模拟表明,沿着 ScO6八面体网络的快速质子扩散路径,有效地减轻了质子捕获,而质子优先与钪Sc相关。晶格软化度Lattice softness(低体模量)是提高钙钛矿氧化物中钪Sc含量和开发用于电化学装置的高性能电解质的主要设计描述符,即晶格体积模量降低与ScO₆含量增加相关联。

Mitigating proton trapping in cubic perovskite oxides via ScO6 octahedral networks. 

基于ScO6八面体网络,减轻了立方钙钛矿氧化物中的质子捕获。


图1: 在300°C时,钪Sc掺杂锡酸钡和钛酸钡的质子传输特性。


图2: BaSn0.3Sc0.7O3–δ中的质子传导和扩散。


图3: 60at.%钪Sc掺杂的锡酸钡中,质子扩散及其轨迹。


图4: BaSn0.3Sc0.7O3–δ电解质的结构和化学稳定性。


图5:重钪Sc掺杂钙钛矿中,相关质子的快速传导路径和钪Sc溶解度描述符。

通过高浓度钪(Sc)掺杂立方钙钛矿氧化物(如BaSn₀.₃Sc₀.₇O₃和BaTi₀.₂Sc₀.₈O₃),解决质子捕获难题,在300°C实现质子电导率超0.01 S cm⁻¹(燃料电池应用阈值)。分子动力学模拟揭示,ScO₆八面体网络形成快速质子通道,即使质子与掺杂剂结合仍能高效迁移。在严苛CO₂环境中,电解质材料保持稳定,且晶格软化度被确立为设计描述符,为下一代中温电化学器件开辟道路。

通过"高Sc掺杂+机器学习模拟"的组合策略,攻克钙钛矿质子导体50年未解难题,有助于 低温化、高效化的固态电化学器件。

文献链接
Tsujikawa, K., Hyodo, J., Fujii, S. et al. Mitigating proton trapping in cubic perovskite oxides via ScO6 octahedral networks. Nat. Mater. (2025).
 https://doi.org/10.1038/s41563-025-02311-w
本文译自Nature。
来源:今日新材料
声明:仅代表译者观点,如有不科学之处,请在下方留言指正!

Python社区是高质量的Python/Django开发社区
本文地址:http://www.python88.com/topic/185443