


文献基本信息
期刊:npj Digital Medicine
文章名称:Deep learning-based brain age predicts stroke recurrence in acute ischemic cerebrovascular disease
作者:北京天坛医院王拥军院士等团队
DOI:https://doi.org/10.1038/s41746-025-02161-5
发表时间:2025年12月8日
Acute ischemic cerebrovascular disease (AICVD) exhibits high recurrence rates, necessitating novel biomarkers for refined risk stratification. While MRI-derived brain age correlates with stroke incidence, its prognostic utility for recurrence is unestablished. We developed the Mask-based Brain Age estimation Network (MBA Net), a deep learning framework designed for AICVD patients. MBA Net predicts contextual brain age (CBA) in non-infarcted regions by masking acute infarcts on T2-FLAIR images, thereby mitigating the confounding effects of dynamic infarcts during acute-phase neuroimaging. The model was trained on data from 5353 healthy individuals and then applied to a multicenter cohort of 10,890 AICVD patients. Brain age gap (BAG), defined as the deviation between CBA and chronological age, independently predicted stroke recurrence at both 3 months and 5 years, outperforming chronological age. Incorporating BAG into established prediction models significantly improved discriminative performance. These findings support brain age’s potential utility in AI-driven precision strategies for secondary stroke prevention.
急性缺血性脑血管病(AICVD)复发率高,亟需新型生物标志物以实现更精准的风险分层。尽管MRI衍生的脑年龄与卒中发生相关,其在预测复发方面的价值尚未确立。本研究开发了基于掩膜的脑年龄估算网络(MBA Net),专为AICVD患者设计的深度学习框架。MBA Net通过在T2-FLAIR图像上掩蔽急性梗死灶,预测非梗死区域的上下文脑年龄(CBA),从而减轻急性期神经影像中动态梗死对脑年龄估计的干扰。该模型基于5353名健康个体数据训练,随后应用于包含10890例AICVD患者的多中心队列。脑年龄差距(BAG),即CBA与实际年龄之间的偏差,可独立预测3个月及5年内的卒中复发,其预测效能优于实际年龄。将BAG纳入现有预测模型后,模型的判别能力显著提升。本研究结果支持脑年龄在人工智能驱动的卒中二级预防精准策略中的潜在应用价值。
急性缺血性脑血管病(AICVD)以高复发率为特征,复发不仅恶化预后,也给个人和社会带来沉重负担。即便采用基因导向抗血小板治疗,残余复发率仍高达约 6%。若能发现可细化复发风险分层的新型生物标志物,将有助于实施更精准的干预并改善长期预后。
脑年龄是衡量脑健康的综合指标,由人工智能(AI)算法基于神经影像数据计算得出。脑年龄与实际年龄之差称为脑年龄差距(BAG),越来越多研究将其视为评估脑老化的敏感指标,适用于神经退行性疾病、卒中及精神疾病等多种疾病。BAG > 0 表示脑年龄“超前”于实际年龄。多项研究证实,BAG 与高血压、糖尿病、吸烟等血管危险因素密切相关;BAG 越大,首发卒中风险亦越高。然而,BAG
与卒中复发之间的关系尚不明确。
鉴于复发多发生于急性期,且指南推荐符合指征者尽早启动抗血小板治疗,探讨急性期脑年龄预测值与复发风险的关联具有重要临床意义。既往缺血性脑血管病的脑年龄研究多基于“全脑”估算。但在急性期,梗死核心与缺血半暗带等 MRI 表型变化迅速;发病至成像时间差异及梗死核心增长速度不同,导致急性期全脑年龄预测结果异质性大。优先分析非梗死脑区、最大限度降低急性梗死干扰,有望提升脑年龄在 AICVD 患者中的临床适用性。
因此,本研究开发了“掩膜脑年龄估算网络”(MBA Net),用于预测非梗死脑区的“上下文脑年龄”(CBA)。首先,利用 5353 名健康者的 T2-FLAIR 影像训练并验证 MBA Net,掩膜由自动算法生成(图 1a)。随后,将该模型应用于包含 10 890 例 AICVD 患者的大型多中心前瞻性卒中队列。基于每位患者的梗死区域构建掩膜,对掩膜后的 T2-FLAIR 图像进行 CBA 估算并计算 BAG(图 1b)。进一步证实,BAG 可独立预测 AICVD 患者的短期及长期卒中复发风险(图 1c)。
Fig. 1 研究设计流程。
本研究联合使用两个公开数据库及一个社区队列(
OASIS、ADNI 与 PRECISE)来开发脑年龄预测模型。脑年龄估算网络仅采用健康个体数据进行训练,共纳入 5 353 例 T2-FLAIR MRI 扫描。需要指出的是,ADNI 与 OASIS 数据集中部分参与者拥有多次随访影像,从而实现了天然的数据扩增。
在临床验证阶段,研究使用了中国卒中登记-III(CNSR-III)的数据,共纳入 10 890 例拥有高质量 T2-FLAIR 和 DWI 影像的急性缺血性卒中(AIS)或短暂性脑缺血发作(TIA)患者。CNSR-III 是一项覆盖全国的前瞻性登记研究,于 2015 年 8 月至 2018 年 3 月期间开展,在 22 个省、4 个直辖市的 201 家医院连续入组发病 7 天内的 AIS 或 TIA 患者。
所有 T2-FLAIR 图像均经过标准化预处理流程。首先对原始 NIfTI 与 DICOM 数据执行初始质量控制(QC),该质控依据 PRECISE、CNSR-III 研究及所用公开数据库建立的标准化成像采集与质量保证协议进行;只有完全符合严格 QC 标准的影像才被允许进入后续处理。
预处理阶段,各 T2-FLAIR 图像首先与标准 T2-FLAIR 模板(GG-FLAIR-366,http://brainder.org)进行配准。配准使用 FSL 软件包中的 FLIRT 工具,采用六自由度(三平移 + 三旋转)的刚体变换,在保持解剖保真度的同时实现精确空间对齐。随后所有图像被重采样为 2 mm³ 的各向同性体素,统一矩阵尺寸为 91 × 109 × 91。
空间配准完成后,由两名资深放射科医师独立复核图像质量。排除标准包括:扫描质量差、头动严重、明显成像伪影、MRI 采集不完整及图像畸变等。接着使用 SynthStrip 算法进行颅脑提取,该算法可稳健地将脑组织与非脑结构分离。提取完成后,对脑掩膜内体素强度进行均值归零、方差归一(标准差 = 1)处理;该强度标准化仅作用于已提取的脑区,以保证对比度一致并保留解剖边界。所有位于 SynthStrip 脑掩膜之外的体素(即非脑背景)均被赋值为 −1,从而确保背景解剖一致性,并防止因强度差异导致的脑组织误分类。
图 1a 展示了 MBA Net 的训练流程。该框架同时输入“掩膜”与“未掩膜”的 T2-FLAIR 图像,以 ScaledDense 作为骨干网络进行特征提取,并预测对应的脑年龄值。ScaledDense 架构通过密集连接通路整合多尺度特征:在每个 ScaledDense 块内,来自前续层、不同空间分辨率的特征图先经最大池化调整尺寸,再沿通道维度拼接,从而捕获对脑年龄估算至关重要的丰富空间信息。ScaledDense 块的每一层包含两个非对称卷积(AC
)模块、批归一化、指数线性单元(ELU)激活、Squeeze-and-Excitation(SE)通道注意力块以及最大池化。AC 模块针对 3D MRI 设计,采用 4 种不同卷积核(3×3×3、3×1×1、1×3×1、1×1×3)多方向提取特征;SE 块通过建模通道间依赖关系重新校准响应,增强判别力;ELU 引入非线性,使网络能够学习复杂映射。每个 ScaledDense 块共 5 层,通道数逐层倍增(8→16→32→64→128)。密集连接保证各层接收前面所有层的特征,并直接连通最终损失,实现隐式深度监督,提升参数效率、缓解过拟合、改善梯度传播,实现对 T2-FLAIR 图像的稳健特征提取。
此外,模型以“预测脑年龄与实际年龄之差”作为损失函数,并引入一致性损失:对同一受试者的掩膜与未掩膜图像,要求二者预测结果保持一致,从而进一步提高精度与鲁棒性,共包含三项:未掩膜图像预测脑年龄与真实年龄之间的损失;掩膜图像预测脑年龄与真实年龄之间的损失;未掩膜图像预测脑年龄与掩膜图像预测脑年龄之间的一致性损失。
为利用健康个体数据训练 MBA Net,本研究采用随机生成的 3D 矩形掩膜对输入图像进行遮挡。采用矩形(边界框)掩膜模拟病灶的做法借鉴了深度学习中成熟的正则化策略,例如 Cutout,其中被遮挡区域的几何形状通常被认为不如其大小和出现频率关键。该掩膜策略以计算高效且标准化的方式模拟病灶遮挡,可在不同解剖及病理配置中一致实施。
掩膜的中心坐标在预设的脑实质核心空间范围内随机选取,其尺寸也在设定的立方体体素范围内随机生成,这种设计迫使网络在训练过程中学会忽略被遮挡区域,从而专注于从非梗死脑组织中提取更稳定的老化相关特征。整个训练过程使用Adam优化算法,并采用小批量梯度累积、随机冠状面翻转和高斯噪声添加等技术进行数据增强与优化稳定。
如图 1b 所示,针对 AIS 或 TIA 患者的 CBA 推断流程如下:
首先将受试者的 DWI 图像输入 nnUNet 模型,生成急性缺血病灶的二值分割掩膜;
从分割图导出最小边界矩形,得到一幅掩膜图像,该掩膜在缺血病灶周围划定边界框;
将生成的掩膜与 T2-FLAIR 图像结合,构建掩膜后的输入图像;
最后,采用预训练的 MBA 模型分析该掩膜输入图像,输出 CBA 预测值。此外,对预测的 CBA 进行偏差校正,得到最终的 CBA 结果。
脑年龄评估通常在年轻个体中倾向高估,在年长个体中倾向低估;当实际年龄接近平均年龄时,估计的 MAE 趋于零。统计偏差校正常用于脑年龄或 BAG 的估算。本研究通过拟合线性回归模型进行偏差校正,通过从 CBA 中减去实际年龄计算 BAG。
来自各参研医院的经培训研究协调员从病历中收集基线数据,包括人口统计学信息、临床特征、危险因素、既往病史、主要诊断及合并用药。此外,研究者于患者入院时进行面对面访谈,评估卒中前改良 Rankin 量表(mRS)评分,并测定美国国立卫生研究院卒中量表(NIHSS)评分。天坛神经影像卓越中心依据 Org 10172 急性卒中治疗试验(TOAST)标准进行集中病因分型,确定五种卒中亚型:大动脉粥样硬化型、心源性栓塞型、小动脉闭塞型、其他明确病因型及病因不明型。
临床结局包括:复发性卒中(缺血性或出血性卒中)、复合血管事件(卒中、短暂性脑缺血发作、心肌梗死或血管性死亡)、缺血性卒中以及出血性卒中。通过3个月时面对面访谈及1–5年每年电话随访进行追踪。
对组间基线特征进行比较。呈偏态分布的连续变量以中位数(四分位距)表示,分类变量以例数(百分比)表示。两组连续变量比较采用 Wilcoxon 秩和检验,三组及以上比较采用 Kruskal–Wallis 检验;分类变量比较采用 χ² 检验。
采用 Student t 检验比较不同基线分类变量的 BAG 差异;对 BAG 差异有统计学意义的变量进一步纳入多变量线性回归模型,以确定 BAG 的独立影响因素。BAG 与临床结局的关联采用多变量 Cox 比例风险模型评估;并采用 Fine-Gray 竞争风险模型,将死亡作为竞争事件进行处理。调整模型纳入 BAG 相关变量及首发事件的临床特征,包括入院诊断、NIHSS 评分、TOAST 分型及梗死体积。
敏感性分析通过将 BAG 二分类或三分类进行。当 BAG 作为分类变量分析其与临床结局的关联时,多变量模型调整组间差异显著的基线特征以及首发事件的临床特征,包括入院诊断、NIHSS 评分和 TOAST 分型。鉴于本研究为探索性分析 BAG 与卒中复发的关联,未进行多重比较校正,以免掩盖潜在的重要临床发现。结局事件发生时间采用 Kaplan–Meier 曲线展示,并行 log-rank 检验比较。
BAG 对临床结局的预测性能从三个角度评估:与实际年龄比较其预后价值,模型区分度采用 Harrell C 统计量,校准度采用 Brier 评分;将 BAG 纳入现有临床预测模型,采用 NRI 与 IDI 量化其增量价值;进一步将 BAG 整合至多变量 Cox 比例风险模型,模型同时纳入年龄、性别、BMI、缺血性卒中史、TIA、冠心病、高血压、糖尿病、高胆固醇血症、吸烟状态、首发事件、入院 NIHSS 评分、卒中前 mRS 评分及 TOAST 分型。
双侧 P<0.05 视为差异有统计学意义。NRI 与 IDI 计算及小提琴图绘制采用 R 软件(V4.5.0);其余统计分析均采用 SAS 软件(V 9.4)完成。
ADNI
数据库(adni.loni.usc.edu)与 OASIS 数据库(https://www.oasis-brains.org/) 的数据可公开获取。PRECISE 研究与 CNSR-III 研究的去标识化数据可向通讯作者及其机构申请。研究者可在 GitHub 获取代码:
https://github.com/liuziyang1106/MBA_Net_for_ContexualBrainAge。
图 2 展示了 CBA、BAG 与实际年龄之间的关系散点图;值得注意的是,BAG 与实际年龄无显著相关性。未掩膜 BAG 与发病至成像时间间隔显著相关,而掩膜 BAG 无此关联。此外,未掩膜 BAG 与梗死体积呈负相关;即便应用病灶掩膜技术,掩膜 BAG 仍与梗死体积呈负相关。
图2 | 上下文脑年龄(CBA)、脑年龄差距(BAG)与实际年龄之间关系的散点图
BAG升高与男性、特定病史(缺血性卒中、高血压和糖尿病)以及卒中前功能依赖之间存在显著关联(表1)。
表1 | 急性缺血性脑血管病患者脑龄差(BAG)与临床表型的多变量线性回归分析
表2 | 急性缺血性脑血管病患者脑龄差(BAG)每增加1年与卒中复发风险的关联
在短期的3个月随访期间,10,890名患者中有6.1%(664名患者)发生了卒中复发,6.6%(720名患者)发生了复合血管事件,5.7%(623名患者)发生了新的缺血性卒中(表2)。在随后的长期5年随访期间,15.7%(1707名患者)经历了卒中复发,17.6%(1917名患者)发生了新的复合血管事件,14.4%(1565名患者)发生了新的缺血性卒中(表2)。
在3个月的随访期内,每增加1年的BAG与卒中复发风险增加9%、复合血管事件风险增加8%以及缺血性卒中风险增加9%相关(表2)。在5年的随访期内,相应的HR分别为卒中复发1.07(95% CI=1.06–1.08)、复合血管事件1.06(95%CI=1.05–1.07)以及缺血性卒中1.07(95%CI=1.06–1.08)(表2)。通过Fine-Gray竞争风险模型进行分析,该模型考虑了死亡作为竞争事件,结果证实BAG与3个月和5年内卒中复发、复合血管事件和缺血性卒中的风险增加均独立相关(表2)。
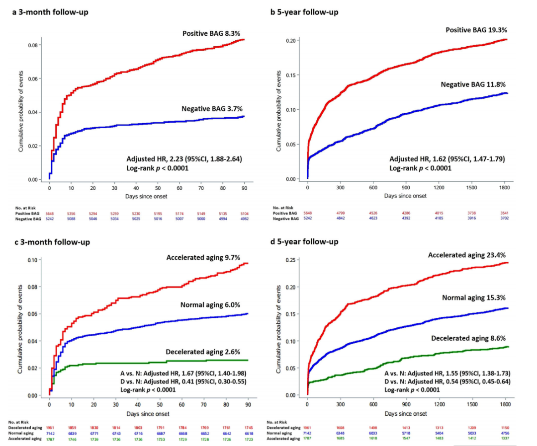
图3 | 根据脑龄差(BAG)分层的患者在3个月和5年内的卒中复发累积概率。
时间至结果事件通过Kaplan-Meier曲线图形化展示,并通过log-rank检验进行比较。
(a)和(b)分别展示了基于二分法BAG分类(BAG阳性:红线;BAG阴性:蓝线)的3个月和5年内的卒中复发累积概率。
调整的协变量包括年龄、性别、体质指数(BMI)、缺血性卒中、冠心病、高血压和糖尿病病史、吸烟史、卒前改良Rankin量表(mRS)评分以及美国国立卫生研究院卒中量表(NIHSS)评分。
(c)和(d)分别展示了基于三分法BAG分类(加速衰老:红线;正常衰老:蓝线;减速衰老:绿线)的3个月和5年内的卒中复发累积概率。
多变量模型调整了年龄、性别、BMI、缺血性卒中、高血压和糖尿病病史、吸烟史、卒前mRS评分、NIHSS评分、入院时的指数事件以及TOAST分类和梗死体积。
在对年龄、性别、体质指数(BMI)、缺血性卒中、冠心病、高血压、糖尿病病史、吸烟状态、诊断、卒前改良Rankin量表(mRS)评分以及TOAST分类进行分层后,进行了交互作用分析。每增加1年的BAG与3个月的卒中复发风险相关,但其他确定病因的患者除外。在3个月卒中复发风险中观察到BAG与吸烟状态之间存在显著交互作用(补充表11)。此外,BAG与5年卒中复发风险独立相关,但短暂性脑缺血发作(TIA)患者或具有其他确定病因的患者除外。在5年卒中复发风险中,BAG与年龄、糖尿病病史以及卒前mRS评分之间存在显著交互作用(补充表12)。
表3 | 急性缺血性脑血管病患者中脑龄差(BAG)与实际年龄对卒中复发风险的预测性能
本研究对比了脑龄差(BAG)和实际年龄对于短期和长期卒中复发风险的预测能力。结果显示,BAG 在预测卒中复发方面优于实际年龄。在3个月时,BAG 的C统计量为0.65,显著高于实际年龄的0.60(p < 0.0001);在5年时,BAG 的C统计量为0.66,同样优于实际年龄的0.62(p < 0.0001)。在预测复合血管事件和复发性缺血性卒中方面,也观察到了类似的结果(表3)。Brier评分在BAG和实际年龄之间相当(表3)。
表4 | 急性缺血性卒中患者中结合脑龄差(BAG)的既定临床预测模型对卒中复发的预测性能
为了评估BAG的增量预测价值,我们将BAG纳入既有的临床预测模型,包括用于急性缺血性卒中(AIS)患者的卒中预后工具(SPI-I、SPI-II)、Essen卒中风险评分(ESRS)和RRE-90评分,以及用于短暂性脑缺血发作(TIA)患者的ABCD2评分(年龄、血压、临床无力、持续时间和糖尿病)。在AIS患者中,加入BAG显著改善了所有四个模型在3个月和5
年时对卒中复发的风险分层:SPI-I(3个月:ΔC统计量=0.08,净重新分类改善[NRI]=0.23,综合判别改善[IDI]=0.01;5年:ΔC统计量=0.06,NRI=0.24,IDI=0.02),SPI-II(3个月:ΔC统计量=0.07,NRI=0.23,IDI=0.01;5年:ΔC统计量=0.05,NRI=0.23,IDI=0.02),ESRS(3个月:ΔC统计量=0.10,NRI=0.24,IDI=0.01;5年:ΔC统计量=0.06,NRI=0.25,IDI=0.02),以及RRE-90评分(3个月:ΔC统计量=0.08,NRI=0.22,IDI=0.01;5年:ΔC统计量=0.07,NRI=0.27,IDI=0.02)(表4)。相比之下,将BAG纳入ABCD2评分仅对TIA患者有适度的改善(表4)。
表5 | 脑龄差(BAG)对卒中复发风险的增量预测价值,超越传统临床模型
为了进一步评估BAG的独立贡献,我们将BAG纳入包含传统血管危险因素、人口统计学特征和相关临床特征的多变量Cox比例风险模型中。结果表明,BAG显著提高了模型在3个月和5年时对卒中复发的预测能力,超越了仅使用传统临床模型的预测效果(3个月:ΔC统计量=0.06,NRI=0.21,IDI=0.01;5年:ΔC统计量=0.03,NRI=0.22,IDI=0.02)(表5)。
首先,尽管应用了统计偏差校正方法,但由于训练数据集中年龄分布的异质性,以及训练数据集与推断数据集之间的差异,脑龄预测中可能仍存在残余的不确定性或系统性偏差。其次,本研究缺乏全面的可解释人工智能(XAI)评估,这限制了MBA Net模型的可解释性。第三,临床应用分析仅基于中国患者队列。第四,CNSR-III队列缺乏有关社会经济地位、教育水平和饮食习惯的信息,这些因素已知会影响脑衰老和卒中复发。第五,本研究仅包括急性期卒中影像数据,缺乏长期随访影像。
本研究表明脑龄差(BAG)独立预测了急性缺血性脑血管病(AICVD)患者短期和长期的卒中复发风险,其预测性能优于实际年龄。这些发现支持将BAG作为一种基于放射组学的指标用于卒中复发风险分层,并暗示了脑衰老与卒中复发之间可能的联系。此外,将BAG纳入既定预测模型中,改善了判别准确性,进一步凸显了其在基于人工智能的个体化卒中二级预防策略中的潜在应用价值。
本文的核心亮点在于,首创了一种针对急性缺血性脑血管病的掩膜式深度学习模型,通过屏蔽急性梗死灶、专注评估非梗死脑区的“上下文脑龄”,首次证实脑年龄差是卒中短期与长期复发的独立预测标志物,其预测效能超越实际年龄,并能显著提升现有临床风险模型的区分度。该研究成功将神经影像老化量化指标转化为具有临床实用价值的复发风险分层工具,为人工智能驱动的卒中精准二级预防提供了原创性方法学突破和循证依据。