概述
介绍
想象一下-你已经在给定的数据集上训练了机器学习模型,并准备好将它交付给客户。但是,你如何确定该模型能够提供最佳结果?是否有指标或技术可以帮助你快速评估数据集上的模型?
当然是有的,简而言之,机器学习中损失函数可以解决以上问题。
损失函数是我们喜欢使用的机器学习算法的核心。但大多数初学者和爱好者不清楚如何以及在何处使用它们。

它们并不难理解,反而可以增强你对机器学习算法的理解。那么,什么是损失函数,你如何理解它们的意义?
在本文中,我将讨论机器学习中使用的7种常见损失函数,并解释每种函数的使用方法。
目录
什么是损失函数?
假设你在山顶,需要下山。你如何决定走哪个方向?

我要做的事情如下:
关于我判断我的决策是否好坏的直觉,这正是损失函数能够提供的功能。
损失函数将决策映射到其相关成本
决定走上坡的路径将耗费我们的体力和时间。决定走下坡的路径将使我们受益。因此,下坡的成本是更小的。
在有监督的机器学习算法中,我们希望在学习过程中最小化每个训练样例的误差。这是使用梯度下降等一些优化策略完成的。而这个误差来自损失函数。
损失函数(Loss Function)和成本函数(Cost Function)之间有什么区别?
在此强调这一点,尽管成本函数和损失函数是同义词并且可以互换使用,但它们是不同的。
损失函数用于单个训练样本。它有时也称为误差函数(error function)。另一方面,成本函数是整个训练数据集的平均损失(average function)。优化策略旨在最小化成本函数。
回归损失函数
此时你必须非常熟悉线性回归。它涉及对因变量Y和几个独立变量Xi之间的线性关系进行建模。因此,我们在空间中对这些数据拟合出一条直线或者超平面。
Y = a0 + a1 * X1 + a2 * X2 + ....+ an * Xn
我们将使用给定的数据点来找到系数a0,a1,…,an。

我们将使用著名的波士顿住房数据集^1来理解这个概念。为了简单起见,我们将只使用一个特征-每个住宅的平均房间数(Average number of rooms per dwelling)(X)来预测因变量-1000美元价位的房屋的中位数价值(Median Value)(Y)

我们将使用梯度下降(Gradient Descent)作为优化策略来查找回归线。我不会详细介绍Gradient Descent的细节,但这里提醒一下权重更新规则:

这里,θj是要更新的权重,α是学习率,J是成本函数。成本函数由
θ参数化。我们的目标是找到产生最小总成本的θ值。
我已经为下面的每个损失函数定义了我们将遵循的步骤:
写出预测函数f(X)的表达式,并确定我们需要找到的参数
确定每个训练样本计算得到的损失
找到成本函数(所有样本的平均损失)的表达式
找到与每个未知参数相关的成本函数的梯度
确定学习率并在固定次数中进行迭代执行权重更新规则
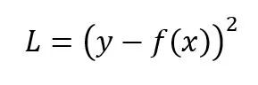
1.平方误差损失
每个训练样本的平方误差损失(也称为L2 Loss)是实际值和预测值之差的平方:

相应的成本函数是这些平方误差的平均值(MSE)。
推荐你引用以下代码时先尝试自己计算出梯度
def update_weights_MSE(m, b, X, Y, learning_rate):
m_deriv = 0
b_deriv = 0
N = len(X)
for i in range(N):
# 计算偏导数为
# -2x(y - (mx + b))
m_deriv += -2*X[i] * (Y[i] - (m*X[i] + b))
# -2(y - (mx + b))
b_deriv += -2*(Y[i] - (m*X[i] + b))
# 我们减去它,因为导数指向最陡的上升方向
m -= (m_deriv / float(N)) * learning_rate
b -= (b_deriv / float(N)) * learning_rate
return m, b
在波士顿住房数据上,在不同的学习率中分别迭代了500次得到下图:

让我们再谈谈MSE损失函数,它是一个二次函数(形式为ax^2+bx+c),并且值大于等于0。二次函数的图形如下图所示:

二次函数仅具有全局最小值。由于没有局部最小值,所以我们永远不会陷入它。因此,可以保证梯度下降将收敛到全局最小值(如果它完全收敛)。
MSE损失函数通过平方误差来惩罚模型犯的大错误。把一个比较大的数平方会使它变得更大。但有一点需要注意,这个属性使MSE成本函数对异常值的健壮性降低。因此,如果我们的数据容易出现许多的异常值,则不应使用这个它。
2.绝对误差损失
每个训练样本的绝对误差是预测值和实际值之间的距离,与符号无关。绝对误差也称为L1 Loss:

正如我之前提到的,成本是这些绝对误差的平均值(MAE)。
与MSE相比,MAE成本对异常值更加健壮。但是,在数学方程中处理绝对或模数运算符并不容易。我们可以认为这是MAE的缺点。
以下是MAE成本更新权重的代码
def update_weights_MAE(m, b, X, Y, learning_rate):
m_deriv = 0
b_deriv = 0
N = len(X)
for i in range(N):
#计算偏导数
# -x(y - (mx + b)) / |mx + b|
m_deriv += - X[i] * (Y[i] - (m*X[i] + b)) / abs(Y[i] - (m*X[i] + b))
# -(y - (mx + b)) / |mx + b|
b_deriv += -(Y[i] - (m*X[i] + b)) / abs(Y[i] - (m*X[i] + b))
#我们减去它,因为导数指向最陡的上升方向
m -= (m_deriv / float(N)) * learning_rate
b -= (b_deriv / float(N)) * learning_rate
return m, b
在不同学习速率中分别迭代500次后,我们得到以下图:

3.Huber损失
Huber损失结合了MSE和MAE的最佳特性。对于较小的误差,它是二次的,否则是线性的(对于其梯度也是如此)。Huber损失需要确定δ参数:

def update_weights_Huber(m, b, X, Y, delta, learning_rate):
m_deriv = 0
b_deriv = 0
N = len(X)
for i in range(N):
# 小值的二次导数,大值的线性导数
if abs(Y[i] - m*X[i] - b) <= delta:
m_deriv += -X[i] * (Y[i] - (m*X[i] + b))
b_deriv += - (Y[i] - (m*X[i] + b))
else:
m_deriv += delta * X[i] * ((m*X[i] + b) - Y[i]) / abs((m*X[i] + b) - Y[i])
b_deriv += delta * ((m*X[i] + b) - Y[i]) / abs((m*X[i] + b) - Y[i])
#我们减去它,因为导数指向最陡的上升方向
m -= (m_deriv / float(N)) * learning_rate
b -= (b_deriv / float(N)) * learning_rate
return m, b
我们以0.0001的学习速率分别对δ参数的不同值进行500次权重更新迭代得到下图:

Huber损失对于异常值比MSE更强。它用于稳健回归(robust regression),M估计法(M-estimator)和可加模型(additive model)。Huber损失的变体也可以用于分类。
二分类损失函数
意义如其名。二分类是指将物品分配到两个类中的一个。该分类基于应用于输入特征向量的规则。二分类的例子例如,根据邮件的主题将电子邮件分类为垃圾邮件或非垃圾邮件。
我将在乳腺癌数据集^2上说明这些二分类损失函数。
我们希望根据平均半径,面积,周长等特征将肿瘤分类为"恶性(Malignant)"或"良性(Benign)"。为简化起见,我们将仅使用两个输入特征(X_1和X_2),即"最差区域(worst area)"和"平均对称性(mean symmetry)"用于分类。Y是二值的,为0(恶性)或1(良性)。
这是我们数据的散点图:
cancer1.二元交叉熵损失
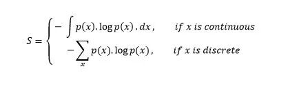
让我们从理解术语"熵"开始。通常,我们使用熵来表示无序或不确定性。测量具有概率分布p(X)的随机变量X:

负号用于使最后的结果为正数。
概率分布的熵值越大,表明分布的不确定性越大。同样,一个较小的值代表一个更确定的分布。
这使得二元交叉熵适合作为损失函数(你希望最小化其值)。我们对输出概率p的分类模型使用二元交叉熵损失。
元素属于第1类(或正类)的概率=p
元素属于第0类(或负类)的概率=1-p
然后,输出标签y(可以取值0和1)的交叉熵损失和和预测概率p定义为:

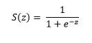
这也称为Log-Loss(对数损失)。为了计算概率p,我们可以使用sigmoid函数。这里,z是我们输入功能的函数:

sigmoid函数的范围是[0,1],这使得它适合于计算概率。

推荐你引用以下代码时先尝试自己计算出梯度
def update_weights_BCE(m1, m2, b, X1, X2, Y, learning_rate):
m1_deriv = 0
m2_deriv = 0
b_deriv = 0
N = len(X1)
for i in
range(N):
s = 1 / (1 / (1 + math.exp(-m1*X1[i] - m2*X2[i] - b)))
# 计算偏导数
m1_deriv += -X1[i] * (s - Y[i])
m2_deriv += -X2[i] * (s - Y[i])
b_deriv += -(s - Y[i])
# 我们减去它,因为导数指向最陡的上升方向
m1 -= (m1_deriv / float(N)) * learning_rate
m2 -= (m2_deriv / float(N)) * learning_rate
b -= (b_deriv / float(N)) * learning_rate
return m1, m2, b
在不同alpha值里使用权重更新规则进行1000次迭代得到下图:

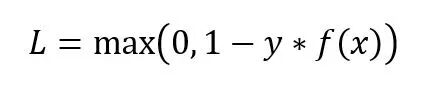
2.Hinge损失
Hinge损失主要用于带有类标签-1和1的支持向量机(SVM)。因此,请确保将数据集中"恶性"类的标签从0更改为-1。
Hinge损失不仅会惩罚错误的预测,还会惩罚不自信的正确预测。
数据对(x,y)的Hinge损失如图:
hinge.jpgdef update_weights_Hinge(m1, m2, b, X1, X2, Y, learning_rate):
m1_deriv = 0
m2_deriv = 0
b_deriv = 0
N = len(X1)
for
i in range(N):
# 计算偏导数
if Y[i]*(m1*X1[i] + m2*X2[i] + b) <= 1:
m1_deriv += -X1[i] * Y[i]
m2_deriv += -X2[i] * Y[i]
b_deriv += -Y[i]
# 否则偏导数为0
# 我们减去它,因为导数指向最陡的上升方向
m1 -= (m1_deriv / float(N)) * learning_rate
m2 -= (m2_deriv / float(N)) * learning_rate
b -= (b_deriv / float(N)) * learning_rate
return m1, m2, b
在使用三个不同的alpha值运行2000次迭代的更新函数之后,得到下图:

Hinge损失简化了SVM的数学运算,同时最大化了损失(与对数损失(Log-Loss)相比)。当我们想要做实时决策而不是高度关注准确性时,就可以使用它。
多分类损失函数
电子邮件不仅被归类为垃圾邮件或垃圾邮件(这不再是90年代了!)。它们分为各种其他类别-工作,家庭,社交,促销等。
我们将使用Iris数据集^3来理解剩余的两个损失函数。我们将使用2个特征X1萼片长度(Sepal length)
和特征X2花瓣宽度(Petal width)来预测鸢尾花的类别(Y) -Setosa,Versicolor或Virginica
我们的任务是使用神经网络模型和Keras内置的Adam优化器来实现分类器。这是因为随着参数数量的增加,数学以及代码将变得难以理解。
这是我们数据的散点图:

1.多分类交叉熵损失
多分类交叉熵损失是二元交叉熵损失的推广。输入向量Xi
和相应的one-hot编码目标向量Yi的损失是:

我们使用softmax函数来找到概率pij:

"Softmax层是接在神经网络的输出层前。Softmax层必须与输出层具有相同数量的节点。"Google Developer's Blog

最后,我们的输出是具有给定输入的最大概率的类别。
我们使用一个输入层和一个输出层建立一个模型,并用不同的学习速度编译它。在model.compile()语句中将损失函数指定为' categorical_crossentropy ':
# 导入包
from keras.layers import Dense
from keras.models import Sequential
from keras.optimizers import adam
#alpha设置为0.001,如adam优化器中的lr参数所示
# 创建模型
model_alpha1 = Sequential()
model_alpha1.add(Dense(50, input_dim=2, activation='relu'))
model_alpha1.add(Dense(3, activation='softmax'))
# 编译模型
opt_alpha1 = adam(lr=0.001)
model_alpha1.compile(loss='categorical_crossentropy', optimizer=opt_alpha1, metrics=['accuracy'])
# 拟合模型
# dummy_Y是one-hot形式编码的
# history_alpha1用于为绘图的验证和准确性评分
history_alpha1 = model_alpha1.fit(dataX, dummy_Y, validation_data=(dataX, dummy_Y), epochs=200, verbose=0)
在不同的学习率经过200轮训练后成本和准确度的图如下:


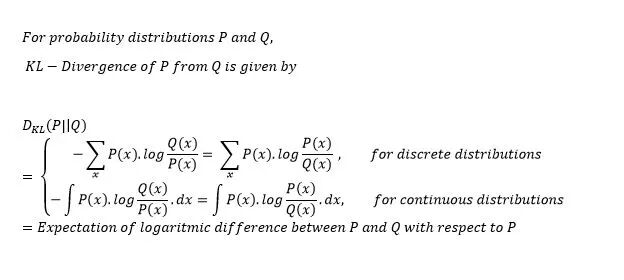
2. KL散度
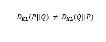
KL散度概率分布与另一个概率分布区别的度量。KL散度为零表示分布相同。

请注意,发散函数不对称。即:

这就是为什么KL散度不能用作距离度量的原因。
我将描述使用KL散度作为损失函数而不进行数学计算的基本方法。在给定一些近似分布Q的情况下,我们希望近似关于输入特征的目标变量的真实概率分布P. 由于KL散度不对称,我们可以通过两种方式实现:

第一种方法用于监督学习,第二种方法用于强化学习。KL散度在功能上类似于多分类交叉熵,KL散度也可以称为P相对于Q的相对熵:
我们在compile()函数中指定'kullback_leibler_divergence'作为损失函数,就像我们之前在处理多分类交叉熵损失时所做的那样。

# 导入包
from keras.layers import Dense
from keras.models import Sequential
from keras.optimizers import adam
# alpha设置为0.001,如adam优化器中的lr参数所示
# 创建模型
model_alpha1 = Sequential()
model_alpha1.add(Dense(50, input_dim=2, activation='relu'))
model_alpha1.add(Dense(3, activation='softmax'))
# 编译模型
opt_alpha1 = adam(lr=0.001)
model_alpha1.compile(loss='kullback_leibler_divergence', optimizer=opt_alpha1, metrics=['accuracy'])
# 拟合模型
# dummy_Y是one-hot形式编码的
# history_alpha1用于为绘图的验证和准确性评分
history_alpha1 = model_alpha1.fit(dataX, dummy_Y, validation_data=(dataX, dummy_Y), epochs=200, verbose=0)
在不同的学习率经过200轮训练后成本和准确度的图如下:


与多分类分类相比,KL散度更常用于逼近复杂函数。我们在使用变分自动编码器(VAE)等深度生成模型时经常使用KL散度。