Py学习  »  Python

安利一个Python大数据分析神器!

Python之禅 • 5 年前 • 283 次点击  
来源:Python数据科学
作者:东哥起飞
对于Pandas运行速度的提升方法,之前已经介绍过很多回了,里面经常提及Dask,很多朋友没接触过可能不太了解,今天就推荐一下这个神器。
1、什么是Dask?
Pandas和Numpy大家都不陌生了,代码运行后数据都加载到RAM中,如果数据集特别大,我们就会看到内存飙升。但有时要处理的数据并不适合RAM,这时候Dask来了。
Dask是开源免费的。它是与其他社区项目(如Numpy,Pandas和Scikit-Learn)协调开发的。
官方:https://dask.org/
Dask支持Pandas的DataFrame和NumpyArray的数据结构,并且既可在本地计算机上运行,也可以扩展到在集群上运行。
基本上,只要编写一次代码,使用普通的Pythonic语法,就可在本地运行或部署到多节点集群上。这本身就是一个很牛逼的功能了,但这还不是最牛逼的。
我觉得Dask的最牛逼的功能是:它兼容大部分我们已经在用的工具,并且只需改动少量的代码,就可以利用自己笔记本电脑上已有的处理能力并行运行代并行处理数据就意味着更少的执行时间,更少的等待时间和更多的分析时间。
下面这个就是Dask进行数据处理的大致流程。

2、Dask支持哪些现有工具?
这一点也是我比较看中的,因为Dask可以与Python数据处理和建模的库包兼容,沿用库包的API,这对于Python使用者来说学习成本是极低的。而像Hadoop、Spark这种大数据处理是有很高的学习门槛和时间成本的。
目前,Dask可支持pandas、Numpy、Sklearn、XGBoost、XArray、RAPIDS等等,光是这几项我觉得就足够用了,至少对于常用的数据处理、建模分析是完全覆盖得掉的。

3、Dask安装
可以使用 conda 或者 pip,或从源代码安装dask 



    
conda install dask
因为dask有很多依赖,所以为了快速安装也可用下面代码,将安装运行Dask所需的最少依赖关系集
conda install dask-core
再有就是通过源来安装。
git clone https://github.com/dask/dask.git
cd dask
python -m pip install .
4、Dask如何使用?
Numpy、pandas
Dask引入了3个并行集合,它们可以存储大于RAM的数据,这些集合有DataFrame、Bags、Arrays。这些集合类型中的每一个都能够使用在RAM和硬盘之间分区的数据,以及分布在群集中多个节点上的数据。
Dask的使用是非常清晰的,如果你使用NumPy数组,就从Dask数组开始,如果你使用Pandas DataFrame,就从Dask DataFrame开始,依此类推。
import dask.array as da
x = da.random.uniform(low=0, high=10, size=(1000010000),  # normal numpy code
                      chunks=(10001000))  # break into chunks of size 1000x1000

y = x + x.T - x.mean(axis=0)  # Use normal syntax for high level algorithms

# DataFrames
import  dask.dataframe as dd
df = dd.read_csv('2018-*-*.csv', parse_dates='timestamp',  # normal Pandas code
                 blocksize=64000000)  # break text into 64MB chunks

s = df.groupby('name').balance.mean()  # Use normal syntax for high level algorithms

# Bags / lists
import dask.bag as db
b = db.read_text('*.json').map(json.loads)
total = (b.filter(lambda d: d['name'] == 'Alice')
          .map(lambda d: d['balance'])
          .sum())
这些高级接口在略微变化的情况下复制了标准接口。对于原始项目中的大部分API,这些接口会自动为我们并行处理较大的数据集,实现上不是很复杂,对照Dask的doc文档即可一步步完成。
Delayed
下面说一下Dask的 Delay 功能,非常强大。
Dask.delayed是一种并行化现有代码的简单而强大的方法。之所以被叫做delayed是因为,它没有立即计算出结果,而是将要作为任务计算的结果记录在一个图形中,稍后将在并行硬件上运行。
有时问题用已有的dask.array或dask.dataframe可能都不适合,在这些情况下,我们可以使用更简单的dask.delayed界面并行化自定义算法。例如下面这个例子。
def inc(x):
    return x + 1

def double(x):
    return x * 2

def add(x, y):
    return x + y

data = [12345]

output = []
for x in data:
    a = inc(x)
    b = double(x)
    c = add(a, b)
    output.append(c)

total = sum(output)
45
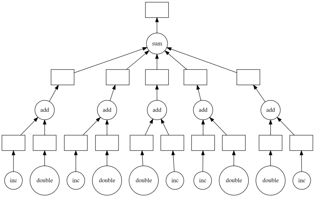
上面代码在单个线程中按顺序运行。但是,我们看到其中很多可以并行执行。Dask delayed函数可修饰inc、double这些函数,以便它们可延迟运行,而不是立即执行函数,它将函数及其参数放入计算任务图中。
我们简单修改代码,用delayed函数包装一下。
import dask

output = []
for x in data:
    a = dask.delayed(inc)(x)
    b = dask.delayed(double)(x)
    c = dask.delayed(add)(a, b)
    output.append(c)

total = dask.delayed(sum)(output)
代码运行后inc、double、add和sum都还没有发生,而是生成一个计算的任务图交给了total。然后我们用visualizatize看下任务图。
total.visualize()  
上图明显看到了并行的可能性,所以毫不犹豫,使用compute进行并行计算,这时才完成了计算。
>>> total.compute()
45
由于数据集较小无法比较时间,这里只介绍下使用方法,具体可自己动手实践下。
Sklearn机器学习
关于机器学习的并行化执行,由于内容较多,东哥会在另一篇文章展开。这里简单说下一下dask-learn。
dask-learn项目是与Sklearn开发人员协作完成的。现在可实现并行化有Scikit-learn的Pipeline、GridsearchCV和RandomSearchCV以及这些的变体,它们可以更好地处理嵌套的并行操作。
因此,如果你将sklearn替换为dklearn,那么速度将会提升很多。
# from sklearn.grid_search import GridSearchCV
  from dklearn.grid_search import GridSearchCV
# from sklearn.pipeline import Pipeline
  from dklearn.pipeline import Pipeline
下面是一个使用Pipeline的示例,其中应用了PCA和逻辑回归。
from sklearn.datasets import make_classification

X, y = make_classification(n_samples=10000,
                           n_features=500,
                           n_classes=2,
                           n_redundant=250,
                           random_state=42)

from sklearn import linear_model, decomposition
from sklearn.pipeline import Pipeline
from dklearn.pipeline import Pipeline

logistic = linear_model.LogisticRegression()
pca = decomposition.PCA()
pipe = Pipeline(steps=[('pca', pca),
                       ('logistic', logistic)])


grid = dict(pca__n_components=[50100150250],
            logistic__C=[1e-41.0101e4],
            logistic__penalty=['l1''l2'])

# from sklearn.grid_search import GridSearchCV
from dklearn.grid_search import GridSearchCV

estimator = GridSearchCV(pipe, grid)

estimator.fit(X, y)
结果是:sklearn会在40秒钟左右执行此计算,而dask-learn替代品大约需要10秒钟。
另外,如果添加以下代码可以连接到集群,通过Client可以展示整个计算过程的dashboard,由Bokeh实现。
from dask.distributed import Client
c = Client('scheduler-address:8786')


5、总结
以上就是Dask的简单介绍,Dask的功能是非常强大的,且说明文档也非常全,既有示例又有解释。感兴趣的朋友可以自行去官网或者GitHub学习,东哥下次分享使用Dask进行机器学习的一些实例。

Python社区是高质量的Python/Django开发社区
本文地址:http://www.python88.com/topic/107430