Py学习  »  机器学习算法

USC提出拟牛顿法深度学习优化器Apollo,效果比肩SGD和Adam

计算机视觉工坊 • 4 年前 • 543 次点击  
作者丨Xuezhe Ma@知乎(已授权)
来源丨https://zhuanlan.zhihu.com/p/401826098
编辑丨极市平台

导读

 

本文介绍了Apollo,一种针对非凸随机优化的拟牛顿方法。它通过对角矩阵逼近Hessian,动态地将损失函数的曲率应用到优化的过程中。Apollo是目前第一个能在实际中应用的深度神经网络的优化算法,并能在多个任务和网络结构上取得比肩甚至超过SGD和Adam的效果。

论文地址

https://arxiv.org/abs/2009.13586

论文源码

https://github.com/XuezheMax/apollo 类型: PyTorch

摘要

本文介绍了Apollo,一种针对非凸随机优化的拟牛顿方法。它通过对角矩阵逼近Hessian,动态地将损失函数的曲率应用到优化的过程中。重要的是,Apollo对于Hessian的对角近似的时间和空间复杂度与自适应一阶优化方法一样。为了处理目标函数的非凸性,我们用Hessian的修正绝对值(recified absolute value)来代替原始的Hessian,保证它是正定的。机器视觉和自然语言处理三项任务上的实验表明,Apollo在收敛速度和泛化性能上都比其它随机优化方法(包括SGD和ADAM的变体)有了显著的改进。

随机非凸优化和拟牛顿法

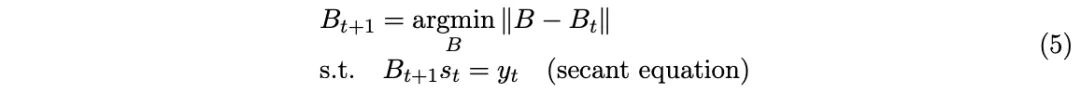
本文专注于以下形式的随机非凸优化问题:

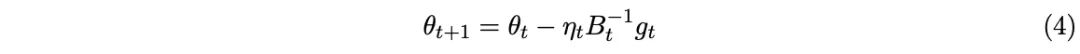
其中  是模型的参数, 是随机噪音。拟牛顿法的参数更新公式如下:

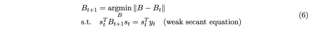
为步长(stepsize),又叫学习率(learning rate)。 为每一次参数更新时对Hessian矩阵的近似。矩阵  的计算满足经典的 secant equation:

其中  ,  。以上公式中不同矩阵模(norm)的选择对应不同的经典算法,例如L-BFGS[1]和DFP[2]。

总结来说,拟牛顿法在深度学习优化问题中存在三个常见问题:

  1. Time and Memory Efficiency(时空复杂度). 在深度学习的优化问题中,由于模型参数的维度巨大,现有的拟牛顿法无法在实际问题中应用。比如经典的L-BFGS[1]算法一般需要记录至少之前5到10步的迭代历史,这在深度学习问题中是不实际的。而现有的一些为随机非凸问题设计的拟牛顿法,例如SdLBFGS[3],甚至需要比L-BFGS更多的时间和空间资源。
  2. Stochastic Variance. 优化过程中的随机性使得对于Hessian的近似存在较大的方差, 导致优化算法的不稳定甚至失败。
  3. Nonconvexity(非凸性). 目标函数的非凸性导致很难在优化过程中保证Hessian的正定性。而目标函数的随机性又使得标准的line search无法有效的应用。

Apollo算法

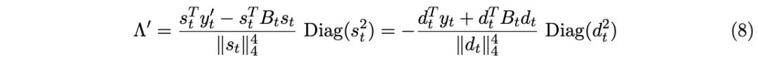
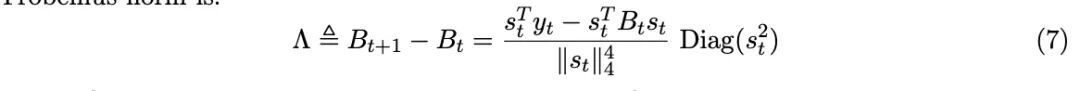
Time and Memory Efficiency(时空复杂度)。为了降低Apollo算法的时空复杂度,我们仿效之前的工作,用对角矩阵来近似Hessian,亦即约束每一步   为对角矩阵。为了满足这一约束,我们需要对公式(5)中的secant equation进行放松。一个常用的方法是weak secant equation[4,5]:

但是对于参数为度巨大的深度神经网络来说,weak secant equation的约束过于微弱。为了得到一个折中的办法,我们利用神经网络参数的性质,将参数分离成不同的参数模块: 。例如,一个多层神经网络的参数可以分离成每一层不用功能的参数。这样对于每一个参数都会产生一个weak secant equation,增强了约束能力。

经过简单的推到,  的更新公式为:

Stochastic Variance. 为了降低优化过程中由于随机噪音导致的不稳定,我们除了应用Adam中的Exponential Moving Average (EMV)之外,还提出了一个重要的方法:Stepsize Bias Correction。简单来说,我们希望矩阵  的更新可以不受步长的影响。具体的做法是对每一步的gradient  进行修正: 。这样公式(7)就演变为:

其中  。对于Stepsize Bias Correction的具体讨论请参考原文。实际应用中,我们发现Stepsize Bias Correction对于Apollo算法的收敛稳定性起到至关重要的作用。

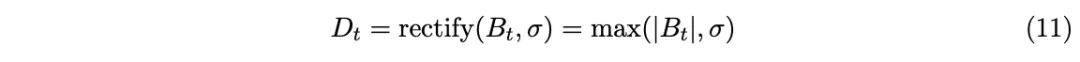
Nonconvexity(非凸性). 非凸性是阻碍拟牛顿法应用到深度学习优化的最主要困难之一。如下图所示,对于一个非凸点的曲率是负的,因此直接应用拟牛顿法会导致参数更新方向错误。

Apollo对于这个问题的解决方案很简单直接,用  的修正绝对值(rectified absolute value)来代替

其中  是一个超参数。现在的问题是我们是否需要增加一个需要调试的超惨  ?幸运的是,我们发现   和  是两个耦合在一起的超参数,而实际中我们可以固定一个而只调试另一个。具体请参考论文中的Theorem 1.

 的取值选择。 在最初的版本中,我们设定  。但是我们发现这样使得  的取值会比较大,不太符合大家对学习率(learning rate)的直观印象。因此我们在最新的版本中设定  。具体讨论参考论文。

Apollo算法的收敛性

我们仿效之前的工作,对Apollo在凸函数和非凸函数两种情况下的收敛进行了理论分析。具体请参考论文中的Theorem 2 和 Theorem 3

实验

实验部分,我们做了在三个常见的任务上面对比了Apollo和其他优化算法的效果,包括Image Classification, Language Modeling 以及Neural Machine Translation。涉及的神经网络模型包括ResNet,LSTM和Transformer。每个实验,我们都用5个不同的random seed,并报告实验结果的平均值。具体的实验配置,请阅读论文。

Image Classification

Language Modeling

Neural Machine Translation (WMT-14 English-German)

结语

这篇文章从去年9月开始已经在一年内被多次拒稿,实在让我感慨优化领域的水之深。扪心自问,这篇论文我们算是尽心尽力做到能做的最好,也自认无论从算法还是实验结果都有创新的地方。据我们的有限所知,Apollo是目前第一个能在实际中应用的深度神经网络的优化算法,并能在多个任务和网络结构上取得比肩甚至超过SGD和Adam的效果。然而,仍有审稿人因为各种原因拒稿。其中最多的拒稿原因是Apollo中提出的一些方法,例如stepsize bias correction和rectified absolute value没有明确的理论证明。说一句有些偏激的话,现在深度学习中有哪个实际中有效的方法有严格的理论证明?甚至有一个审稿人的一条意见是,我们的收敛证明是基于Adam,而在他/她看来,Adam的理论证明是达不到发表的标准的。我想说的是,在当下论文井喷的时代,做自己心中觉得真正有用的研究才是一个研究员最该坚持的事。

引用

  • [1] Charles George Broyden. The convergence of a class of double-rank minimization algorithms. IMA Journal of Applied Mathematics, 6(1):76–90, 1970.

  • [2] William C Davidon. Variable metric method for minimization. SIAM Journal on Optimization, 1(1):1–17, 1991.

  • [3] Xiao Wang, Shiqian Ma, Donald Goldfarb, and Wei Liu. Stochastic quasi-newton methods for nonconvex stochastic optimization. SIAM Journal on Optimization, 27(2):927–956, 2017.

  • [4] John E Dennis, Jr and Henry Wolkowicz. Sizing and least-change secant methods. SIAM Journal on Numerical Analysis, 30(5):1291–1314, 1993.

  • [5] JL Nazareth. If quasi-newton then why not quasi-cauchy. SIAG/Opt Views-and-news, 6: 11–14, 1995.

  • [6] Sashank J Reddi, Satyen Kale, and Sanjiv Kumar. On the convergence of adam and beyond. In International Conference on Learning Representations, 2018.

  • [7] X Chen, M Hong, S Liu, and R Sun. On the convergence of a class of adam-type algorithms for non-convex optimization. In 7th International Conference on Learning Representations, ICLR 2019, 2019.

本文亮点总结


1.拟牛顿法在深度学习优化问题中存在三个常见问题:
(1)Time and Memory Efficiency(时空复杂度)
(2)Stochastic Variance
(3)Nonconvexity(非凸性)

2.Apollo对于Hessian的对角近似的时间和空间复杂度与自适应一阶优化方法一样。为了处理目标函数的非凸性,我们用Hessian的修正绝对值(recified absolute value)来代替原始的Hessian,保证它是正定的。

本文仅做学术分享,如有侵权,请联系删文。
下载1
在「计算机视觉工坊」公众号后台回复:深度学习,即可下载深度学习算法、3D深度学习、深度学习框架、目标检测、GAN等相关内容近30本pdf书籍。

下载2
在「计算机视觉工坊」公众号后台回复:计算机视觉,即可下载计算机视觉相关17本pdf书籍,包含计算机视觉算法、Python视觉实战、Opencv3.0学习等。

下载3
在「计算机视觉工坊」公众号后台回复:SLAM,即可下载独家SLAM相关视频课程,包含视觉SLAM、激光SLAM精品课程。

重磅!计算机视觉工坊-学习交流群已成立

扫码添加小助手微信,可申请加入3D视觉工坊-学术论文写作与投稿 微信交流群,旨在交流顶会、顶刊、SCI、EI等写作与投稿事宜。

同时也可申请加入我们的细分方向交流群,目前主要有ORB-SLAM系列源码学习、3D视觉CV&深度学习SLAM三维重建点云后处理自动驾驶、CV入门、三维测量、VR/AR、3D人脸识别、医疗影像、缺陷检测、行人重识别、目标跟踪、视觉产品落地、视觉竞赛、车牌识别、硬件选型、深度估计、学术交流、求职交流等微信群,请扫描下面微信号加群,备注:”研究方向+学校/公司+昵称“,例如:”3D视觉 + 上海交大 + 静静“。请按照格式备注,否则不予通过。添加成功后会根据研究方向邀请进去相关微信群。原创投稿也请联系。

▲长按加微信群或投稿

▲长按关注公众号

3D视觉从入门到精通知识星球:针对3D视觉领域的视频课程(三维重建系列三维点云系列结构光系列手眼标定相机标定orb-slam3等视频课程)、知识点汇总、入门进阶学习路线、最新paper分享、疑问解答个方面进行深耕,更有各类大厂的算法工程人员进行技术指导。与此同时,星球将联合知名企业发布3D视觉相关算法开发岗位以及项目对接信息,打造成集技术与就业为一体的铁杆粉丝聚集区,近2000星球成员为创造更好的AI世界共同进步,知识星球入口:

学习3D视觉核心技术,扫描查看介绍,3天内无条件退款

 圈里有高质量教程资料、答疑解惑、助你高效解决问题
觉得有用,麻烦给个赞和在看~  

Python社区是高质量的Python/Django开发社区
本文地址:http://www.python88.com/topic/119734