社区
教程
Wiki
注册
登录
创作新主题
社区所有版块导航
Python
python开源
Django
Python
DjangoApp
pycharm
DATA
docker
Elasticsearch
分享
问与答
闲聊
招聘
翻译
创业
分享发现
分享创造
求职
区块链
支付之战
aigc
aigc
chatgpt
WEB开发
linux
MongoDB
Redis
DATABASE
NGINX
其他Web框架
web工具
zookeeper
tornado
NoSql
Bootstrap
js
peewee
Git
bottle
IE
MQ
Jquery
机器学习
机器学习算法
Python88.com
反馈
公告
社区推广
产品
短视频
印度
印度
一周十大热门主题
Windows11安装Git和最新版Ubuntu子系统-202510
网页内容永久保存,25000+ GitHub Star!
比肩新质生产力?耐心资本2025年已发超140篇CSSCI!耐心资本+新质生产力+基于双重机器学习因...
GitHub又一个逆天项目!支持1100+种语言,还能克隆声音,能把任何电子书秒变高质量有声书!
#1000个生成式AI项目##AI类GitHub项目合集#AI类-20251020143150
2025 年 10 月编程语言排行榜|C、C++、Java 第二名之争愈演愈烈,Python 继续称...
年化591%,回撤仅7%的策略,支持订阅信号|基于AgentScope开发金融多智能体,附pytho...
#ChatGPT干掉麦肯锡5000顾问##麦肯锡不是以前的麦肯锡-20251021151900
👨🔧 GitHub 项目:RAG-Anything — 一体-20251021195000
2025年必藏!10个超实用的Python项目GitHub仓库
关注
Py学习
»
Python
使用python计算各类移动平均线
邢不行
• 1 年前 • 303 次点击
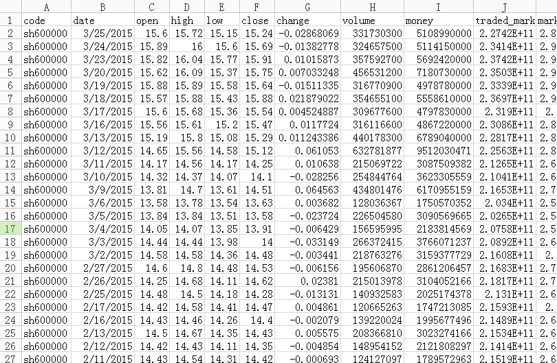
计算移动平均线是最常见的需求,下面这段代码将完成以下三件事情:
1. 从csv格式的文件中导入股票数据,数据例图如下:
2.计算各类移动平均线,包括简单简单算术移动平均线MA、指数平滑移动平均线EMA;
3.将计算好的数据输出到csv文件中。
代码应该复制下来就能运行了,关于从哪里可以得到代码中使用的数据,后面会讲,下面贴上代码(附件中也可以下载):
----------------------------------------------------------------------------------------------------------------------------------------------------------------------------------------------------------------
# -*- coding: utf-8 -*-
"""
@author: yucezhe
@contact: QQ:2089973054 email:xjc@yucezhe.com
"""
import
pandas
as
pd
# ========== 从原始csv文件中导入股票数据,以浦发银行sh600000为例
# 导入数据 - 注意:这里请填写数据文件在您电脑中的路径
stock_data = pd.read_csv(
'stock data/sh600000.csv'
,
parse_dates
=[
1
])
# 将数据按照交易日期从远到近排序
stock_data.sort(
'date'
,
inplace
=
True
)
# ========== 计算移动平均线
# 分别计算5日、20日、60日的移动平均线
ma_list = [
5
,
20
,
60
]
# 计算简单算术移动平均线MA - 注意:stock_data['close']为股票每天的收盘价
for
ma
in
ma_list:
stock_data[
'MA_'
+
str
(ma)] = pd.rolling_mean(stock_data[
'close'
]
,
ma)
# 计算指数平滑移动平均线EMA
for
ma
in
ma_list:
stock_data[
'EMA_'
+
str
(ma)] = pd.ewma(stock_data[
'close'
]
,
span
=ma)
# 将数据按照交易日期从近到远排序
stock_data.sort(
'date'
,
ascending
=
False
,
inplace
=
True
)
# ========== 将算好的数据输出到csv文件 - 注意:这里请填写输出文件在您电脑中的路径
stock_data.to_csv(
'sh600000_ma_ema.csv'
,
index
=
False
)
-----------------------------------------------------------------------------------------------------------------------------------------------------------------------------------------------------
代码输出的数据截图如下:
需要用到的股票数据可以加我微信xbx297,都是可以免费发给你的。
Python社区是高质量的Python/Django开发社区
本文地址:
http://www.python88.com/topic/164720
登录后回复