社区所有版块导航
Python
python开源   Django   Python   DjangoApp   pycharm  
DATA
docker   Elasticsearch  
aigc
aigc   chatgpt  
WEB开发
linux   MongoDB   Redis   DATABASE   NGINX   其他Web框架   web工具   zookeeper   tornado   NoSql   Bootstrap   js   peewee   Git   bottle   IE   MQ   Jquery  
机器学习
机器学习算法  
Python88.com
反馈   公告   社区推广  
产品
短视频  
印度
印度  
Py学习  »  Python

气象编程 | Python实现调和反距离空间插值法AIDW

气象学家 • 1 年前 • 363 次点击  

1 简介

AIDW 主要是针对IDW 的缺点进行了改进,考虑了样本点与预测点的位置,即方向和距离,具体见下图:


2 改进

IDW 公式:


从IDW算法可看出,插值点的估算值仅与插值样本距插值点的远近相关,并未考虑样本点的方位性(即样本点被表示为各向同性)。

IDW 插值的基本假设是样点在插值区呈均匀分布。但众多情况下,样点在各向分布并非均匀,甚至会出现样点集中于某一方向的现象,违背了基本假设,其插值合理性就难被保证。针对 IDW 这一插值局限,作者提出了调和反距离权重(AIDW)插值算法。

AIDW 增加了可反映插值点与样本点方位关系的调和权重系数 K,其基本假设是:距插值点近的样本点,对其后方的样本点有遮蔽效应,当两样本点与插值点的连线夹角 (n 为插值搜索邻域内的样点个数)时,遮蔽效应存在 ,当 时,遮蔽效应消失。在 AIDW 插值过程中,受遮蔽影响的样本点,其插值权重将被削弱,削弱的程度取决于该样点 K 值的大小。

按上述假设:

  • 图1(a) 所示的 5 个样点在方向上均匀地分布在插值点(中心点)周围,任意两样点与插值点的连线夹角均大于或等于 72°(即α ),即认为该5个样点间相互不存在遮蔽效应
  • 在图1(c)中,任意两样点与插值点的连线夹角均小于72°,即认为距插值点的近样点,对其后的样点均具有遮蔽效应;在大多情况下,样点在插值点周围的分布应类似图1(b),既不像图1(a)均匀分布,也不像图1(c)集中分布。
  • 图1(b)中 对任一样点均无遮蔽, 有遮蔽, 也有遮蔽。

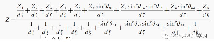
将 IDW 传统的算法思想与本文的基本假设结合,提出了 AIDW 算法:


的理解:

  • 从下图(a)可以看出, 逐渐移向 的过程中 逐渐增大,当三者形成等腰三角形时,,此时最大,即 不会对 产生遮蔽影响
  • 从下图(b)可以看出, 保持与 相同的距离向 移动,当两者位于同一条线时,的影响完全被遮蔽,即 

计算样例:

按AIDW算法,在图3(b)中因有遮蔽影响,这些受遮蔽样点的插值权重被削减,分别被 完全遮蔽,它们的插值权重降至为0。依照式(2)和式(3),最终插值点估算值的计算式为:


  • 插值点(中心点)估算值
  • 样点观测值
  • 为样点与插值点的欧氏距离
  • p 是幂指数
  • 角如图3(b)所示

3 程序设计流程

AIDW 的插值程序可分为插值前准备插值计算两个过程:

  • 插值前准备主要是用于搜索合适的插值样点,并为下一步的插值计算提供 值;
  • 插值计算过程主要是求算反映样点遮蔽程度 值,并结合 值求算插值点的Z值。

  • 插值搜索邻域的大小以格点数(k×k)表示
  • m 是搜索邻域内的样点数
  • n 是插值所需的样点数
  • d、f 分别为样点与插值点的欧氏距离和两样点间的欧氏距离
  • i、j、u、v 均为插值样点的序号

4 插值结果


  • 对比 M 点(黑色框),IDW 出现孤立圆现象(站点集中于一侧),AIDW 消除了孤立圆现象
  • 对比 C 点(红色框),IDW 出现同心圆现象,AIDW 消除了同心圆现象
  • 对比 K 点(黄色框),两者均出现孤立圆,通过分析,K 点周围的站点分布均匀。

从上图可以看出 AIDW 有效改进了 IDW 的缺点,同时又能保留 IDW 的插值思想,但 AIDW 需要计算 ,因此在插值时间上要比 IDW

5 python 实现

from sklearn.neighbors import NearestNeighbors

"""类函数"""
class AIDW:
    def __init__(self, x, y, m,p=2):
        self.m = m # 搜索邻域内的样点数
        self.nbrs = NearestNeighbors(n_neighbors=m, algorithm='ball_tree').fit(x)
        self.thresh = 360/m
        self.p = p
        self.y = y
        self.x = x
        
    def fit(self, x_new):
        indices = self.nbrs.kneighbors(x_new, return_distance=False)
        x_sample = self.x[indices[0]]
        y_sample = self.y[indices[0]]
        x_ = x_sample-x_new
        zi = []
        ki = 1
        for i in range(1, self.m-1):
            for j in range(i):
                cos_ = np.sum(x_[i]*x_[j])/((np.sum(x_[i]**2)**(1/2))*(np.sum(x_[j]**2)**(1/2)))
                radian = np.arccos(cos_)
                angle = radian*180/np.pi 
                if angle>=self.thresh:continue
                else:
                    ki*=np.sin(radian)**self.p
            di = np.sum(x_[i]**2)**(1/2)
            zi.append(ki/(di**self.p))
        z = np.sum(np.array(zi)*y_sample[1:-1])/np.sum(zi)
        return z

"""demo"""
import numpy as np
import matplotlib.pyplot as plt

# create sample points with structured scores
X1 = 10 * np.random.rand(10002-5

def func(x, y):
    return np.sin(x**2 + y**2) / (x**2 + y**2 )

z1 = func(X1[:,0], X1[:,1])

# 'train'
aidw = AIDW(X1, z1, m=15)

# 'test'
spacing = np.linspace(-5.5.100)
X2 = np.meshgrid(spacing, spacing)
grid_shape = X2[0].shape
X2 = np.reshape(X2, (2-1)).T
z2 = []
for x2 in X2:
    z2.append(aidw.fit(x2.reshape(1,-1 )))
z2 = np.array(z2)

# plot
fig, (ax1, ax2, ax3) = plt.subplots(13, sharex=True, sharey=True, figsize=(10,3))
ax1.contourf(spacing, spacing, func(*np.meshgrid(spacing, spacing)))
ax1.set_title('Ground truth')
ax2.scatter(X1[:,0], X1[:,1], c=z1, linewidths=0)
ax2.set_title('Samples')
ax3.contourf(spacing, spacing, z2.reshape(grid_shape))
ax3.set_title('Reconstruction')
plt.show()

参考:

顾及方向遮蔽性的反距离权重插值法.李正泉. 

An Adjusted Inverse Distance Weighted Spatial Interpolation Method.






声明:欢迎转载、转发本号原创内容,可留言区留言或者后台联系小编(微信:gavin7675)进行授权。气象学家公众号转载信息旨在传播交流,其内容由作者负责,不代表本号观点。文中部分图片来源于网络,如涉及作品内容、版权和其他问题,请后台联系小编处理。


往期推荐

 获取ERA5-Land陆面高分辨率再分析数据(32TB)

 1942-2022年中国地面气象站观测数据免费分享

 获取全球GPM降水数据,半小时/逐日(4TB)

 获取1998-2019 TRMM 3B42逐日降水数据

★ 获取最新版本CMIP6降尺度数据集30TB

★ 获取ERA5常用变量再分析数据26TB

 EC数据商店推出Python在线处理工具箱

★ EC打造实用气象Python工具Metview

★ 机器学习简介及在短临天气预警中的应用

★ Nature-地球系统科学领域的深度学习及理解

★  采用神经网络与深度学习来预报降水、温度

★ 灵魂拷问:ChatGPT对气象人的饭碗是福是祸?

★ 气象局是做啥的?气象局的薪水多少?

★ 一位气象学家尝试ChatGPT复现Nature子刊的研究,他真的会面临失业吗?!

Python社区是高质量的Python/Django开发社区
本文地址:http://www.python88.com/topic/165094
 
363 次点击