将 ScienceAI 设为星标
第一时间掌握
新鲜的 AI for Science 资讯


编辑 | 2049
在聚变能源研究领域,等离子体动力学模拟扮演着关键角色。然而,非线性 Fokker-Planck-Landau(FPL)碰撞算子的计算成本极高,尤其在全托卡马克体积建模中,其计算时间随等离子体粒子种类数量 n 呈 O(n²) 增长,严重制约了模拟效率。
为突破这一瓶颈,来自蔚山国立科学技术院(UNIST)的研究人员开发了一种全新的深度学习框架
——FPL-net,利用人工智能技术加速求解这一复杂问题。
FPL-net 获得结果的速度比以前的方法快 1,000 倍,误差幅度仅为十万分之一,表现出卓越的准确性。
该研究以「FPL-net: A deep learning framework for solving the nonlinear Fokker-Planck-Landau collision operator for anisotropic temperature relaxation」为题,于 2025 年 2 月 15 日发布在《Journal of Computational Physics》上。
论文链接:https://doi.org/10.1016/j.jcp.2024.113665
相关报道:https://phys.org/news/2025-02-deep-boosts-plasma-nuclear-fusion.html
研究背景
在托卡马克聚变装置中,非线性 Fokker-Planck 方程是描述等离子体碰撞过程的关键数学工具。传统上,这一方程可表示为 Landau 形式或 Rosenbluth 形式的积分微分方程,两种形式都需要复杂的数值方法求解。
尽管研究人员开发了多种数值方法以确保质量、动量和能量守恒,但由于碰撞算子的非线性特性,其计算速度依然远低于线性算子,成为等离子体模拟中的计算瓶颈。
FPL-net:突破性的深度学习解决方案
FPL-net 的核心是一个经过优化的全卷积神经网络,采用了 U-Net 架构作为骨干网络。
U-Net 最初为生物医学图像分割领域设计,由一个捕获输入图像上下文的编码器和一个负责精确定位和高分辨率的解码器组成。
这种编码器-解码器架构能够保持输入输出尺寸一致,保留高分辨率局部信息,并且在相对较小的模型规模下实现强大性能。
图示:以二维速度网格信息作为输入的任意 PDF fN 的 FPL-net 示意图。(来源:论文)
FPL 方程可以用以下形式表示:
其中,a 和 b 代表不同粒子种类,f 表示概率分布函数,C_ab 表示 a 和 b 之间的碰撞算子(在各自 v 和 v' 坐标系中),e、
m、ε₀ 和 lnΛ 分别是电荷、质量、真空介电常数和库仑对数。张量 U 定义为:
其中 u = v - v' 是相对速度矢量,I 为单位张量。
图示:训练过程概述。(来源:论文)
研究团队使用传统 FPL 求解器生成训练数据,该求解器采用有限体积法和 Picard 迭代方案,在二维速度网格上实现电子等离子体模拟,网格尺寸为垂直轴(N⊥)和平行轴(N∥)均为 N⊥×N∥=40×60。
为确保模型的泛化能力,研究人员准备了 115 种不同的各向异性初始温度条件数据,平行轴温度(T∥)与垂直轴温度(T⊥)的比值范围从 0.71 到 2.19
,密度固定为 ne = 1.0×10¹⁹/m³,垂直温度 T⊥ = 100 eV。每个时间步长设置为碰撞时间的十分之一,每种条件下的模拟执行了 200 个时间步长。
FPL-net 的输入是一个三通道张量,由任意初始条件下的分布函数 fN 和二维速度网格(v⊥ 和 v∥)组成,尺寸为 40×60×3。通过堆叠分布函数和速度网格,模型能够学习与分布函数相关的速度几何信息,从而保持动量和能量守恒。
模型输出库仑碰撞导致的分布函数变化 ΔfML_N,这是一个尺寸为 40×60 的单通道张量。通过将输入 fN 和输出 ΔfML_N 相加,可以预测下一时间步的分布函数 fML_N+1。
物理守恒约束与训练过程
FPL-net 的独特之处在于如何处理物理守恒定律。研究团队实现了基于动力学理论统计物理中分布函数矩的物理守恒约束:
基于这些定义,团队使用三个守恒损失函数:
总体物理信息损失函数为:
其中 λ 是可变超参数,代表守恒损失在总损失函数中的权重,初始值为 0,在 600 个 epoch 内线性增加到 0.5,之后保持固定。
图示:模型评估过程的流程图。(来源:论文)
更重要的是,FPL-net 被训练为递归预测两个未来时间步,通过使用前一输出作为后续输入,显著提高了长期模拟的稳定性。最终损失为这两个时间步损失之和:L = L^{N+1} + L^{N+2}。这种训练策略确保了模型在连续时间序列模拟中的鲁棒性。
实验结果与性能突破
经过测试,FPL-net 在保持误差控制在 10⁻⁵ 量级的同时,展现出卓越的计算效率。在测试数据集上的 2189 个测试案例中,密度误差平均为 9.82×10⁻⁶,中位数为 7.81×10⁻⁶;动量误差平均为 5.46×10⁻⁶,中位数为 4.27×10⁻⁶;能量误差平均为 2.85×10⁻⁵
,中位数为 2.13×10⁻⁵。
图示:来自总共 2189 个测试用例的密度(左)、动量(中)和能量(右)误差分布的直方图。(来源:论文)
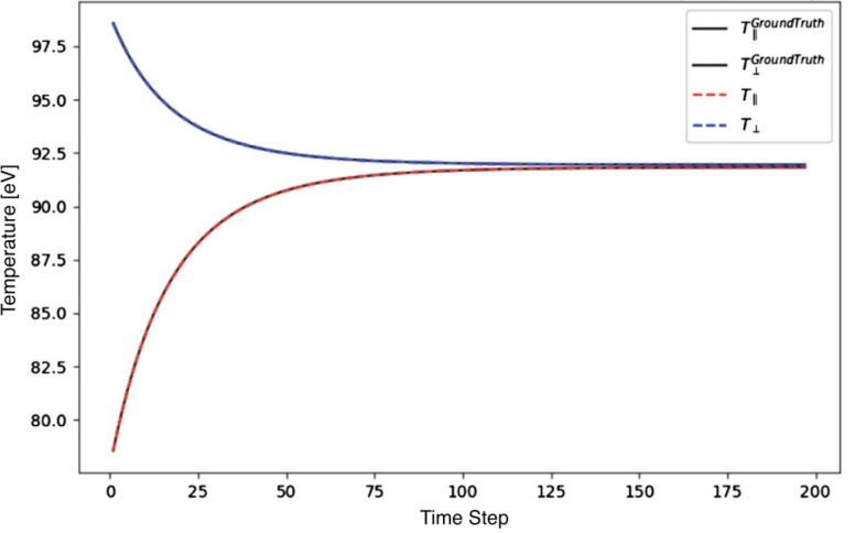
FPL-net 成功实现了完整的温度松弛,这是深度学习模型首次在此领域取得的突破。在初始条件 T∥/T⊥=0.795 的温度松弛实验中,与基于 Picard 迭代碰撞代码得出的真实数据相比,双麦克斯韦松弛展现出显著一致性,在 199 个时间步内差异最大仅为 3.3%。
图示:在 T∥/T⊥ = 0.795 的初始温度条件下,温度弛豫实验在 199 个时间步长中的结果。黑色实线对应于真实数据,而红色(蓝色)虚线表示从 FPL-net 结果得出的 v∥ (v⊥) 温度。(来源:论文)
研究团队还进行了两项额外实验验证模型的稳健性。
在延长推演测试中,模型预测长度扩展至 1200 个时间步(训练长度的六倍),结果表明误差在 1000
个时间步内保持在可接受范围,温度与真实值紧密匹配。
在高斯噪声测试中,向输入添加了相当于输入标准差 1%、2.5% 和 5% 的噪声,结果显示噪声水平不超过 2.5% 时,误差不会随时间步增长而发散,温度松弛能够成功实现。
图示:使用随机噪声的 FPL-net 预测。(来源:论文)
在计算效率方面,FPL-net 在单个 NVIDIA RTX A5000 GPU 上,每个时间步的平均推理时间为 3.56 毫秒,内存占用为 63.82 MB。
而用于数据生成的 Picard 迭代碰撞算子在 Intel Xeon Silver 4112 CPU 上,每个时间步平均需要 4135 毫秒,使用 1017 MB 内存。
这意味着 FPL-net 相比传统数值方法实现了 1000 倍以上的加速。
未来展望与挑战
FPL-net 作为应用深度学习于等离子体碰撞模拟的典范,证明了如何在保持高精度的同时显著降低计算成本。这种计算加速使研究人员能更高效地利用有限资源,加速等离子体研究进程,同时为数字孪生托卡马克和全装置建模提供了必要支持。
然而,该研究仍存在明显局限性:FPL-net 目前仅能模拟电子等离子体,不包含主要离子;初始分布函数仅限于双麦克斯韦分布。未来研究将致力于发展包含多粒子种类的碰撞算子,并扩展至各种初始分布函数,以增强其在聚变领域的实际应用价值。
人工智能 × [ 生物 神经科学 数学 物理 化学 材料 ]
「ScienceAI」关注人工智能与其他前沿技术及基础科学的交叉研究与融合发展。
欢迎关注标星,并点击右下角点赞和在看。
点击阅读原文,加入专业从业者社区,以获得更多交流合作机会及服务。