机器学习力场在分子动力学模拟中具有革命性意义。传统分子动力学依赖经验势函数或量子力学计算,前者计算高效但精度受限,后者精度高却计算成本巨大。
机器学习原子势通过从量子力学数据中学习势能面,实现了精度与效率的平衡:其既能捕捉复杂的原子间相互作用,又能将计算速度提升数个数量级。
这种突破使得研究者能够模拟更大体系和更长时程,为材料设计、生物分子构象分析等前沿领域提供了关键技术支持,显著加速了从原子尺度理解物质行为的研究进程。
机器学习力场在化学研究中可模拟化学体系的势能面,从而得到体系的各种信息
然而,对于刚接触该领域的同学,机器学习力场的学习并不容易。机器学习力场主要难点在于交叉学科的壁垒,学习者需要掌握量子化学、分子动力学、机器学习等方向的基础知识,此外学习者还需要了解大量代码与软件的使用,学习成本较高。
机器学习力场的构建与使用
为了帮助大家快速入门机器学习力场领域,华算科技开设了“机器学习力场”课程,从数据采集到力场构建细致讲解了机器学习力场的构建方法。课程提供无限次回放,建立永不解散的课程群,及时答疑。这样,大家可以更好地实现自己的研究目标,并为未来的科学研究中做出更有特色的成果。
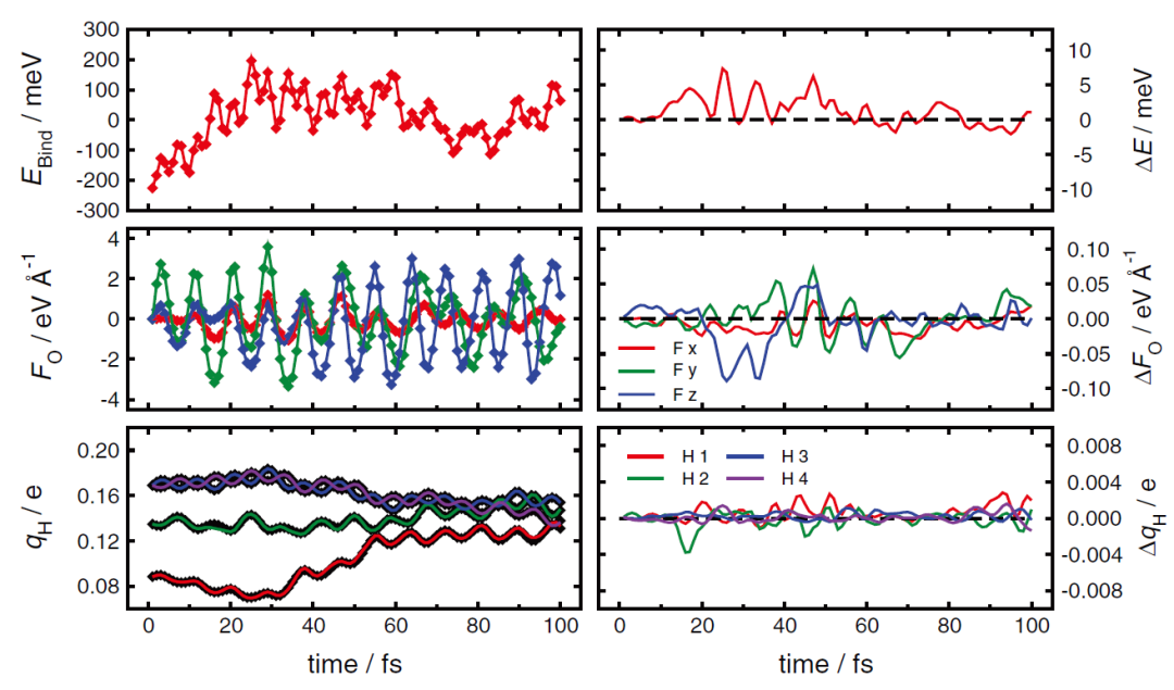
机器学习力场模拟结果
👇👇扫描二维码,立即报名👇👇

👆👆电话:136-0961-7837👆👆
黄博士:华算科技全职技术专家,武汉大学本科,北京大学博士,新加坡国立大学访问学者。目前已发表SCI文章共20篇,其中第一作者文章5篇,单篇最高影响因子>40。从事理论计算与实验化学研究工作十五年,擅长使用机器学习进行化学理论的研究及实验数据的处理,曾获华中地区数学建模邀请赛三等奖,北京大学游戏AI对抗全国邀请赛第四名等相关奖项。该课程深受学员欢迎,往期学员评价节选如下:
介绍机器学习力场的基本优点,机器学习力场的发展历史,以及构建机器学习力场的关键步骤。讲解各种机器学习力场的数据生成方法,实操讲解如何使用VASP、Gaussian、CASTEP、Dmol3、CP2K软件运行AIMD生成数据,并讲解如何将得到的数据结果进行提取与处理。
讲解原子中心对称函数与权重原子中心对称函数的基本原理,讲解n2p2软件的基本使用。
通过Cu2S、CuCl势能面的拟合案例讲解如何利用n2p2拟合材料的势能面信息。讲解如何使用LAMMPS将拟合得到的势能面作为力场进行分子动力学模拟。
讲解图神经网络以及它与传统全连接神经网络的不同,图神经网络在机器学习力场构建过程的发展,SchNet与PAINN的基本结构。
讲解SchNetPack包的基本使用,包括如何利用SchNetPack创建数据集,加载数据,设置与训练模型,使用模型进行预测,使用模型进行分子动力学模拟。
主办单位:深圳华算科技有限公司(拥有VASP、Materials Studio、Gaussian、LAMMPS商业版权)
培训形式:线上课程,课程群永不解散,随时提问,及时解答。课程费用:3980元,提供增值税普通发票及邀请函。请提前报名,我们会根据学员课前反馈,适当增加课程内容。老客户有优惠,请联系华算科技-邵丹咨询。报名方式:识别下方二维码报名,或者联系手机13609617837。