Py学习  »  机器学习算法

两篇Nature Medicine 解读机器学习+特征筛选+模型解释

BioArt • 3 周前 • 46 次点击  
利用机器学习模型,提高了对闭塞性心肌梗死(OMI)的诊断准确性

采用混合数据驱动和领域专家知识的方法,选择73个ECG特征,训练10个分类器,包括随机森林(RF)模型等。使用内部测试集和外部验证集评估模型的性能

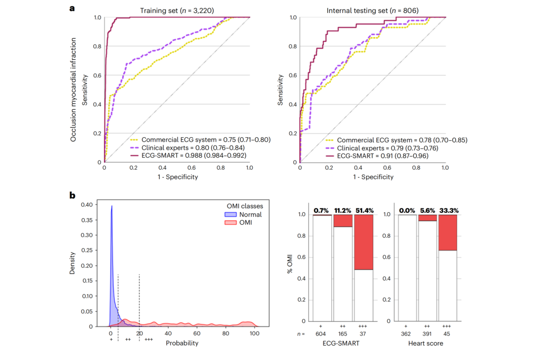
使用随机森林(RF)模型进行OMI的分类。RF模型在训练和内部测试中表现出最佳的偏差-方差权衡,AUROC值为0.91,显著优于临床医生(AUROC0.79)和商业ECG系统(AUROC0.78)


TreeSHAP算法生成了RF模型输出的特征重要性排名。影响分类结果的主要ECG特征包括V1、V2、I和aVL导联的轻微ST压低,III和V4-V6导联的轻微ST抬高,以及T波的变化等。这些特征与心肌缺血有明确的机制联系,表明其在OMI检测中的临床价值

第二篇文章也是使用机器学习筛选胰腺癌的生物标志物

通过机器学习基于上述32个功能模块中识别的3,906种蛋白质,研究者通过LASSO-Cox回归分析建立了PDAC的预后风险模型


文章的数据和代码已经全部整理好!

如果群二维码过期

可扫描左侧二维码单独添加进群

华 哥 生 信

如果想系统复现Nature Medicine文章的机器学习,可以参加我们一对一指导和包教包会的培训班

AI助力多组学与机器学习联合分析课题特色

1.零基础无压力,R语言编程从入门到实战,快速打造你的生信分析基本功

2.AI赋能+CNS文献精读,带你高效拆解多组学科研的经典范式与创新思路

3.全面覆盖代谢组、蛋白组、微生物组(宏基因组和16s)转录组等热门方向,紧跟科研前沿

4.集成xgboost、lasso、随机森林等多种 机器学习模型,打造智能化分析能力

5.每节课精选CNS文章源代码,手把手复现高水平研究,提升实战经验

6.独家“一对一指导+包教包会”教学模式,让你真正学得会、用得上、发得出

7.直播授课+课后录屏反复回看,搭配完整资料包,学习节奏灵活自由

8.课后持续答疑服务,课程结束答疑不结束,真正做到全程陪学、包教包会

9.系统教学,一次报班学会多组学,不用东拼西凑反复报名各类组学培训班

机器学习分析多组学课程安排

第一节课 AI+多组学CNS文思路解读

1.基于Deepseek高效阅读多组学的CNS生信文章

2.AI整理代谢组、蛋白组、宏基因组等多组学数据分析流程

3.Deepseek从多篇生信文献中快速总结提炼多组学数据分析方法

4.Deepseek评价多组学生信文章思路的创新性和数据分析可行性

第二节课  Deepseek辅助多组学生信课题设计

1.Deepseek辅助代谢组、蛋白组、宏基因组联合分析策略

2.AI指导代谢组、蛋白组、宏基因组、转录组交叉验证的思路

3.Deepseek汇总生信论文模板设计的层次和逻辑要点

4.Deeoseek辅助生信多组学数据研究热点挖掘

5.Deeoseek构建多个公共数据库联合验证有效策略

第三节:编程基础学习--R语言 

1.R和Rstudio的安装、环境配置

2.R语言简单语法及常见命令

3.以Cell文章方法描述学习R包的安装及使用

4.以Nature文章源代码学习重点函数基础代码

5.向量、矩阵、数据框和列表的创建和索引

6.自定义Function函数构建

7.for循环、字符型数据的处理【Cell】

8.云服务器的使用方法

第四节:机器学习代谢组数据分析

1.deepseek对CNS文章代谢组学系统解读 

2.三大常见代谢物库:HMDB 、METLIN 和 KEGG;

代谢组学原始数据库:Metabolomics Workbench 和 Metabolights

3.无监督式机器学习在代谢组学数据处理中的应用

4.三种回归用于代谢组学数据分析:线性回归、Logistic 回归与 Cox 回归

5.PLS-DA 算法:决策树,随机森林和贝叶斯网络模型

6.多尺度嵌入式代谢物共表达网络分析 

7.TDEseq:识别不同分组条件下基因表达趋势的变化

8.Nature子刊代谢分析的源代码复现

第五节:机器学习蛋白组学数据分析

1.蛋白组无监督聚一致性聚类(Consensus Clustering)

2,PPI蛋白互作网络构建

3.构建通路富集网络:通路基因集之间的相似性,将富集的通路表示为一个相互连接的簇网络 

4.蛋白组加权基因共表达网络分析WGCNA

5.主成分分析不同分组变量差异结果展示

6.Mfuzz识别基因、代谢或蛋白质表达的时间趋势

7.Nature Medicine文章源代码复现

第六节:机器学习宏基因组数据分析

1.物种相关性网络分析

2.基于序列相似性定义的分类单元在不同组间的丰度差异

3.Alpha和Beta多样性分析(PCoA)

4.非线性最小二乘法识别物种丰度与环境变量之间的关系

5.随机森林筛选群落Biomarker

6.物种组成三元图展示相对丰度

7.Science文章源代码复现

第七节:机器学习16s测序数据分析

1.meconetcomp:微生物共生网络比较

2.进化树揭示物种间亲缘关系

3.微生物组的扩增子测序分析

4.不同条件下的微生物群落差异

5.Mantel检验群落距离矩阵和不同处理组之间的相关性

6.微生物群落和环境数据机器学习分析

7.Anova进行微生物功能丰度差异检验

8.Nature Microbiology文章源代码复现

第八节:机器学习转录组数据分析

1.随机效应模型(REM)方法对差异基因进行 meta 分析

2.差异基因的转录因子富集构建调控网络

3.富集分析:GSEA、GSVA分析

4.相关性聚类热图识别转录因子共表达模块

5.CIBERSORT免疫浸润

6.调控网络图展示细胞动静状态--Regulatory network

7.TO-GCN时序基因共表达网络

8.CELL主刊文章源代码复现

第九节:机器学习应用于多种组学筛选重要特征 

1.图神经网络预后模型构建进行预后基因挖掘

2.xgboost模型:基于梯度增强的决策树算法

2.随机森林模型

3.lasso回归等模型:线性回归的另一种正则化形式

4.弹性网络回归:结合了岭回归和Lasso

5. 朴素贝叶斯和支持向量机 

7,多种机器学习算法用于各组学筛选重要的特征:代谢物、肠道微生物、mRNA、蛋白质

8.Nature Medicine文章源代码复现

第十节:网络药理学分析

1.deepseek解读网络药理学的研究思路

2.药物靶点的查询,复方、单体网络靶标定位

3.药物成分与疾病的关联分析,构建疾病与中药成分的网络

4.网络分析(如PPI互作、模块挖掘) 

5.拓扑特征(度中心性、介数中心性)预测关键靶点

6.基于AI的组学数据网络关系挖掘

第十一节:分子对接

1.AIDD人工智能药物发现与设计的基本介绍

2.配体小分子和受体白蛋大分子的前处理

3.建立和运行Grid格点文件,建立对接格点空间文件

4.使用Pymol软件查看详细的结合位点,相互作用的氢键

5.结合能的计算,结合位点的确定

第十二节:代谢组学与转录组学、蛋白组学联合分析

1.主成分分析代谢组学和蛋白组学变量差异

2.基于共表达网络(GCN)和调控网络(GRN)探索多组学数据的拓扑特性

3.多组学3D数据可视化:整合分析

4.Metscape的使用

5.crosslink转录-蛋白-代谢 多组学相关性可视化

6.多组学联合分析三维多层网络:一个级别基因互作关系,第二层是蛋白/代谢物,层间边缘(连线)是基因和代谢物的生物学关系

7.使用Deepseek设计分析基于蛋白组+代谢组的多器官视角揭示脓毒症早期的能量代谢适应性,并生成初步代码框架

8.Nature Aging 文章源代码复现

第十三节课:Deepseek解读肠道微生物组学与代谢组学、蛋白组、转录组联合分析课题思路设计

1.Deepseek设计网络毒理学和多组学的综合分析揭示肝毒性的潜在机制,并生成初步课题思路框架

2.Deepseek设计微生物+代谢组的小鼠下丘脑回路对肠道微生物群组成的快速调节,并生成课题思路框架

3.Deepseek设计微生物+转录,肠道细菌促结直肠癌新机制,并生成课题思路框架

4.Deepseek设计微生物+蛋白,灵芝多糖对阿尔茨海默病预防作用的机制,并生成课题思路框架

第十四节课:AI辅助生信论文投稿与发表

1.Deepseek辅助科研论文选刊(实操+指令)

2.GPT辅助文本的润色、改写与扩写

3.AI自动摘要、删减与提炼关键词句

4.Deepseek辅助拒稿处理、推荐更适合期刊,提供投稿建议(实操+指令)




01

主讲老师




主讲老师华哥华哥,中山大学博士,目前在东京大学从事医学人工智能研究。深耕单细胞多组学、空间转录组与机器学习领域6年,培养学员3万余人 ;  指导学员发表CNS主刊文章8篇、一区及子刊90余篇 ; 参与国自然重点、国家重大专项、孔雀计划等项目申报;合作院士团队及国际顶尖实验室,发表SCI论文21篇(PNAS、Cell Rep Med、JACS、Mol Cancer、EMBO Mol Med等顶刊)



02

华哥科研平台介绍




授课理念:将生信内容全部学懂(理解)、学会(会敲代码分析)、学透彻(站在课题顶层设计角度理解)、学以致用(用到自己的标书申请和文章发表中)。

1.从19年开始到现在,我们在生信教育领域深耕六年之久 时间是最好的证明

2.一对一指导、包教包会是我们开培训班五年来一贯的宗旨。我们敢承诺包教会的底气是来自多年的讲课经验和认真负责的态度。课程结束,答疑不结束!

3.六年来华哥培训班的学员发表Cell、Nature、Science主刊文章10篇,子刊及一区文章累计超过90篇!部分学员成果展示如下:
4.深入剖析二十多篇CNS文章分析思路和分析方法,按照CNS文章源代码讲解,以文章的fig为例进行代码演示和复现学习,个性化分析。


03

华哥生信线下往期回顾




1.中国抗癌协会举办的肿瘤标志物学术大会,开设华哥生信团队CNS文章空间多组学公益培训专场 

官方链接: 【2025CCTB亮点活动】CNS文章肿瘤研究中空间多组学测序数据分析系统培训班
2.广东省生信学会、寻因生物、中科院广州健康院和广州医科大学在粤港澳大湾区生信年会设立华哥生信培训专场
官方链接:第六届广东省生物信息学会年会暨粤港澳大湾区生物信息学学术大会圆满落幕
3.广东省中医院承办的“生物信息学与组学技术理论培训班”,在广东省中医院大学城医院举办,华哥生信创始人张振华博士则从方法学角度深入剖析了人工智能在生物信息学数据挖掘中的创新应用与实践经验。
官方链接:第六届广东省生物信息学会年会暨粤港澳大湾区生物信息学学术大会圆满落幕
4.广东省人民医院赣州医院举办“两生两谈”医学讲座,华哥生信创始人张振华博士讲解“AI+生信数据挖掘:如何让医生在AI技术的加持下挖掘公共数据库做出高质量科研成果?”
课程相关问题


1

中间没时间咋办

不用担心,我们已经考虑到这个问题了,基本上我们都会给您两轮机会学习,而且还配备往期视频给您预习直到您学会为止,不行免费再来一次,我们一直承诺包教包会。

2

课程售后服务怎样

再好的课程没有完善的后续服务只能让你摸不着脑袋,所以我们课后有完善的一对一指导服务,解决每个学员的所有问题。有问题及时一对一解决,把所有问题解决就学会了

3

两个月后老师还指导我吗

我们的指导暂时没有时间限制,课程结束答疑不结束。复习视频也不会限制时间,甚至六年前的老学员还在保持联系,我们的目标是推动医学进步,希望大家生信问题多多交流。

课程安排
会议时间:
具体开课时间联系招生老师
授课方式线上线下结合,同步进行

线上:腾讯会议线上直播

线下:在广州举办
人数限制
为了保证培训质量和一对一指导服务,每一批只招三十人!
主办单位
华哥生信科研平台
承办单位
广州百奥信息科技有限公司
广州华哥信息科技有限公司
会议费用:

多人报名有优惠,具体优惠价格可以单独联系招生老师 可开会务费 、培训费、数据分析费、测试费、测序技术服务费等发票

招生老师联系方式
同期举办:单细胞多组学班和空间转录组班连报优惠待议优惠价格联系招生老师
汇款账号:
A:对公汇款:
户     名:广州华哥信息科技有限公司
账 户 号:3602 0244 0920 1397 301
开 户 行:工行广州华南支行  
B:信用卡或公务卡支付
扫描二维码支付,通过信用卡/公务卡扣款
同期举办:单细胞多组学班和空间转录组班连报优惠待议优惠价格联系招生老师
CNS文章单细胞数据分析内容汇总(基础--进阶--python分析)
空间转录组课程,看👇

最详尽的CNS文章空间转录组数据分析教程

关注下方公众号获取更多信息!

Python社区是高质量的Python/Django开发社区
本文地址:http://www.python88.com/topic/189009