Py学习  »  机器学习算法

(纯计算)香港大学Nat. Commun.: 一种具有可极化长程相互作用的基础机器学习势

科研任我行 • 6 天前 • 26 次点击  
2025年11月25日,Nat. Commun.在线发表了香港大学Ziyang Hu和GuanHua Chen课题组的研究论文,题目为《A foundation machine learning potential with polarizable long-range interactions for materials modelling》,论文的第一作者为Rongzhi Gao。

分子动力学(MD)模拟在化学、材料科学与生物学等领域对于描述原子尺度现象具有不可替代的作用。虽然从头算分子动力学(AIMD)模拟方法提供了无与伦比的精确度,但其巨大的计算需求限制了其只能应用于较小的时间尺度和空间尺度。另一方面,经典分子动力学(CMD)模拟计算效率高,但其准确性依赖于经验参数。

机器学习原子间势(MLIPs)提供了一种平衡精度与计算效率的解决方案。特别是基于等变图神经网络的机器学习原子间势,如NequIP、DimeNet和MACE,通过引入等变与不变对称性实现了卓越的性能。此外,基于元素周期表训练的通用基础模型,如M3GNet、CHGNet、GNoME、MACE-MP-0、MatterSim、SevenNet和ORB等已经涌现,展现出材料发现的巨大前景。

长程相互作用是决定化学系统在不同环境中行为的关键因素。尽管现有截断半径约为5 Å的局部机器学习原子间势在模拟局域化学环境内的相互作用方面表现良好,但其可能无法有效捕捉长程现象。这限制了它们理解和阐明复杂材料行为的能力。

在此研究中,作者提出了一种基础框架,将显式的可极化长程物理作用与等变图神经网络势相结合。该框架采用基于物理原理的可极化电荷平衡方案,直接优化静电相互作用能而非部分电荷。这一在元素周期表上至钚(Pu)范围内训练的基础模型,在应对关键材料建模挑战中展现出卓越性能。它有效捕捉了传统消息传递机制难以处理的长程相互作用,并能精确复现外电场下的极化效应。将该模型应用于力学性能、固态电解质中的离子扩散率、铁电相变以及电极-电解质界面反应动力学等研究,凸显了其在精度与计算效率间的平衡能力。此外,作为基础模型,它能够通过高效微调,在特定复杂系统中实现高精度模拟。


图1 框架概述


图2 基础模型的基准测试


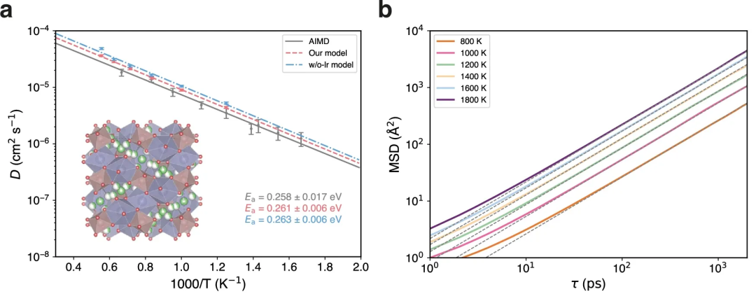
图3 立方相Li7La3Zr2O12的离子扩散率

图4 BaTiO3的相变

图5 Li负极和Li3PS4电解质之间固体电解质界面的可视化

图6 Li/Li3PS4固体电解质界面层的形成机理

论文链接
Gao, R., Yam, C., Mao, J. et al. A foundation machine learning potential with polarizable long-range interactions for materials modelling. Nat. Commun.2025, 16, 10484. https://doi.org/10.1038/s41467-025-65496-3
投稿日期:2024年12月29日
接收日期:2025年10月15日

【相关文献】

(纯计算)上海交通大学徐振礼/梁久阳团队Phys. Rev. Lett.: 面向长程体系的机器学习原子间势
(纯计算)加州大学伯克利分校Nat. Commun.: 基于能量与力的电荷和长程相互作用机器学习势

【注】:小编水平有限,若有误,请联系修改;若侵权,请联系删除!

Python社区是高质量的Python/Django开发社区
本文地址:http://www.python88.com/topic/189922