Py学习  »  机器学习算法

基于增殖型肝细胞癌动脉内治疗生存获益评估的深度学习模型构建

良医汇肿瘤资讯 • 1 周前 • 40 次点击  
整理:肿瘤资讯
来源:肿瘤资讯

肝细胞癌(HCC)是全球第六大常见恶性肿瘤,也是导致癌症相关死亡的第三大原因。对于不可切除的肝细胞癌(uHCC)患者,动脉内治疗(IAT)包括经动脉化疗栓塞术(TACE)和肝动脉灌注化疗(HAIC)是主要的局部治疗手段。然而,HCC在分子和组织学水平上表现出显著的异质性,导致不同患者对IAT的反应存在巨大差异。增殖型HCC亚型约占所有病例的30%—50%,具有侵袭性强、预后差的特点,但临床上缺乏有效的非侵入性识别方法。一项最新研究开发了多任务深度学习系统,通过分析对比增强CT影像特征,实现了增殖型HCC的精准识别和个体化治疗选择,为改善uHCC患者预后提供了创新解决方案。

研究背景

HCC可根据分子和组织学特征分为增殖型和非增殖型两大类。增殖型HCC包括肉瘤样、巨梁型-团块状(MTM-HCC)、中性粒细胞富集型(如G-CSF分泌型)和CK19阳性祖细胞型等多种变异型,其特征是染色体不稳定性、TP53突变、增殖信号通路激活以及分化不良。尽管这些分子和组织学关联已明确,但临床诊断仍主要依赖影像学标准而非病理学确认,导致许多增殖型HCC在未经验证的情况下被识别,限制了亚型特异性管理策略的应用。

近期研究表明,增殖型HCC对TACE和手术切除的反应较差。一项随机III期研究显示,对于直径大于7cm的肿瘤,HAIC的客观缓解率(ORR)和总生存期(OS)均优于TACE。然而,肿瘤组织学、影像学表型及其他肿瘤特异性生物学因素对治疗效果的影响仍不清楚。影像组学研究主要集中于肿瘤本身,但在大HCC中观察者间差异显著。结合肿瘤及周围肝组织的影像特征可提供更准确的预测。深度学习(DL)在医学影像分析中展现出超越专家水平的预测能力,但尚无专门针对uHCC预后建模或评估HAIC与TACE优选方案的转化框架。因此,开发基于影像特征的深度学习模型,实现增殖型HCC的非侵入性诊断和个体化IAT选择,具有重要的临床价值。

研究方法

这是一项回顾性多中心研究,符合TRIPOD报告规范,获中山大学肿瘤防治中心伦理委员会批准(批准号:B2023-511-01)。研究纳入两个独立队列:队列1为2018年6月至2022年10月期间接受根治性切除术的398例HCC患者;队列2为2009年1月至2022年5月期间首次接受HAIC或TACE治疗的1749例uHCC患者。所有患者在治疗前2周内接受标准化对比增强CT检查,使用64排CT扫描仪完成动脉期和门静脉期成像。

纳入与排除标准:纳入标准包括年龄18-75岁、ECOG体能状态评分≤1、Child-Pugh A或B级肝功能;排除标准包括既往抗癌治疗史、合并活动性第二恶性肿瘤、最大肿瘤直径<5cm、同时接受TACE和HAIC治疗等。

增殖型HCC判定:基于特定组织学标准,包括巨梁型-团块状(MTM-HCC,肿瘤细胞索>6个细胞厚度且占据肿瘤面积>50%)、硬化型HCC、肉瘤样HCC、中性粒细胞富集型HCC以及CK19阳性HCC(免疫组化CK19表达>5%肿瘤细胞)。由两名资深病理医师(从业>10年)独立评估,评估时隐藏临床和影像信息。

IAT治疗流程:TACE采用超选择性插管,缓慢注射含10—20mL碘化油、30—50mg铂类药物和20—40mg表柔比星的乳化剂,必要时使用明胶海绵微球栓塞。HAIC采用FOLFOX方案(奥沙利铂85/130mg/m²、亚叶酸钙200mg/m²、氟尿嘧啶400mg/m²静脉推注后2400mg/m²持续输注23/46小时),每3周重复一次,直至疾病进展或不可耐受毒性。

深度学习模型构建:采用nnUNet预训练模型自动分割全肝和肿瘤区域,选择全分辨率3D U-Net配置。开发新型PMN架构,输入3D CT图像(H×W×D),通过patch embedding投影为(H/3×W/3×D/3)。PMN由卷积分支(提取局部特征)和状态空间模型(SSM)分支(提取全局特征)构成,结合增殖型/非增殖型原型、HAIC/TACE疗效原型进行多任务学习。损失函数采用距离交叉熵和交叉熵联合优化,使用Adam优化器(学习率0.00001,batch size 32),训练800个epoch。

统计分析:使用R软件(v3.6.3)进行统计分析。连续变量以均值±标准差或中位数(四分位间距)表示,组间比较采用Mann-Whitney U检验或卡方检验。采用DeLong法比较模型AUC差异。通过时间依赖性ROC曲线评估OS预测性能,计算12-60个月随访期的td-AUC值。整合Brier评分(IBS)评估预测准确性。使用X-tile软件确定风险分层最佳截断值。双侧P<0.05认为差异有统计学意义。

图1 研究设计

研究结果

队列基线特征:队列1中398例患者经病理学评估,187例(47.0%)为增殖型HCC。与非增殖型肿瘤患者相比,增殖型患者女性比例更高(18.7% vs 10.9%,P=0.039)、病灶数量更多(>3个:57.8% vs 46.4%,P=0.031)、AFP水平≥400ng/mL比例更高(50.8% vs 38.4%,P=0.017)。队列2共1749例uHCC患者,其中1070例接受HAIC,679例接受TACE。HBV感染是最主要病因(90.2%),52.0%患者为ALBI分级2-3级。

模型诊断性能:基于动脉期和门静脉期联合图像训练的PMN模型性能最优。在训练集中,检测增殖型HCC的AUC为0.825(95%CI 0.781~0.884),测试集AUC为0.792(95%CI 0.732~0.841)。训练集风险评分显著区分增殖型与非增殖型肿瘤(0.65±0.07 vs 0.43±0.07,P<0.001),测试集同样显示良好区分度(0.59±0.09 vs 0.49±0.08,P<0.001)。与8种2D模型(MobileNetV2、VGG19等)和5种3D模型相比,PMN架构在特征提取和分类准确性上均表现优越。

图2 PMN模型在训练集和测试集中使用射线图的性能表现
图3 PMN与临床因素的AUC ROC用于预测不同模型间的增殖亚型

模型可解释性:PMN生成的特征热图显示,预测增殖型HCC的病例在门静脉期呈现更高信号强度,而非增殖型肿瘤在门静脉期较动脉期增强减弱。这种时相特异性信号差异可能反映了潜在的代谢重编程和免疫微环境改变。预测生存期较长患者的特征图显示更高信号强度,提示增殖型肿瘤相关特征对生存预测具有重要价值。

图4 PMN网络的特征学习图

预后列线图构建:在TACE队列中,多变量Cox分析显示,肝内病灶数量(HR=1.26,95%CI 0.99~1.60)、HBV感染(HR=1.66,95%CI 1.08~1.56)和最大肿瘤直径(HR=1.07,95%CI 1.04~1.11)是OS的独立危险因素。HAIC队列中,性别(HR=0.76,95%CI 0.56~1.01)、AST水平(HR=1.00,95%CI 1.00~1.00)、病灶数(HR =1.28,95%CI 1.02~1.62)和门静脉癌栓(HR=1.57,95%CI 1.26~1.96)为显著负性预后因素。整合DL风险评分和增殖型HCC分类结果,构建了TACE特异性列线图和HAIC特异性列线图。

预测准确性评估:与传统分期系统(BCLC、JSH、CNLC、EASL、HKLC)相比,定制列线图表现显著优越。TACE组训练集td-AUC为0.83(95%CI 0.64~1.00),测试集为0.87(95%CI 0.75~0.98);HAIC组训练集td-AUC为0.87(95%CI 0.68~1.00),测试集为0.88(95%CI 0.81~0.95)。DeLong检验显示差异均具有统计学意义(P<0.001)。IBS分析显示,TACE列线图为0.146,HAIC列线图为0.106,均优于传统分期框架(0.165~0.227)。

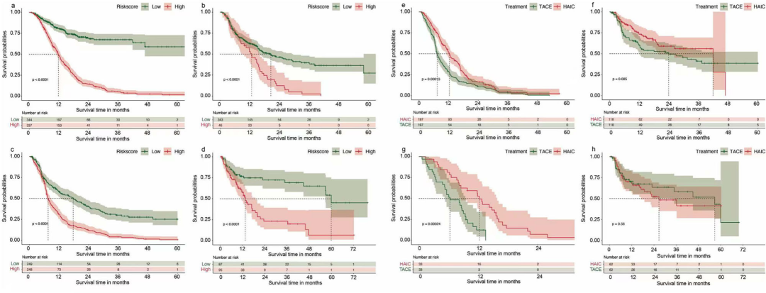
风险分层与生存获益:基于列线图评分,HAIC队列截断值为-22.34,TACE队列截断值为-26.25。HAIC组中,低风险组1、3、5年OS率分别为87.8%、62.1%、49.1%,高风险组为63.2%、33.4%、25.4%(训练集,P<0.001);测试集结果一致(低风险组53.6%、25.8%、5.6% vs 高风险组24.8%、6.2%、5.8%,P<0.001)。TACE组同样显示显著生存差异(训练集:低风险组62.7%、42.3%、25.2% vs 高风险组51.2%、4.4%、3.8%,P<0.001;测试集:低风险组87.8%、62.1%、49.1% vs 高风险组63.2%、33.4%、25.4%,P<0.001)。

图5 多模态深度学习模型的开发及其与其他分期系统的比较

治疗选择优化:经过1:1倾向评分匹配后,高风险患者中HAIC组中位OS显著优于TACE组(训练集:12.2个月 vs 7.8个月,P<0.001;测试集:12.1个月 vs 6.6个月,P<0.001)。然而,在低危患者中,两组OS差异无统计学意义(训练集:42.2个月 vs 24.1个月,P=0.085;测试集:57.6个月 vs 25.2个月,P=0.560)。这表明基于DL的风险分层可有效识别从HAIC中获益的优势人群。

图6 接受动脉内治疗的uHCC患者的Kaplan-Meier生存曲线
图7 PNM模型开发的架构

结论

本研究开发的基于PMN架构的多模态深度学习系统,能够从对比增强CT图像中准确识别增殖型HCC(测试集AUC达0.792),并构建了个体化预后列线图,显著优于传统分期系统。关键创新在于实现了两大临床转化价值:其一,非侵入性诊断增殖型HCC,避免了有创活检的局限性;其二,精准指导IAT选择,证实高风险患者从HAIC中获得4.4个月OS优势,而低风险患者两种治疗疗效相当。

该研究为uHCC的精准医疗提供了决策支持工具,有助于优化治疗策略、减少过度治疗相关毒性和费用。公开的在线应用平台和代码资源将促进该模型的临床测试和应用。未来需在更广泛人群和多维度参数模型中验证该模型能否切实改善患者生存结局。总体而言,这项研究代表了AI驱动的HCC个体化治疗的重要进步,通过整合影像特征、病理生物学和治疗反应数据,为实现精准肝脏肿瘤学提供了新范式。

参考文献

Cao F, An C, Li S, et al. Deep learning model for assessing survival benefits in hepatocellular carcinoma patients undergoing intra-arterial therapies based on proliferative subtype. NPJ Digit Med. 2025;8(1):692. Published 2025 Nov 19. doi:10.1038/s41746-025-02100-4


审批编号:CN-173515

过期日期:2026-12-01

声明:本材料由阿斯利康提供支持,仅供医疗卫生专业人士参考

责任编辑:肿瘤资讯-Skye
 排版编辑:肿瘤资讯-JYX
版权声明
版权归肿瘤资讯所有。欢迎个人转发分享,其他任何媒体、网站如需转载或引用本网版权所有内容,须获得授权,且在醒目位置处注明“转自:良医汇-肿瘤医生APP”。

Python社区是高质量的Python/Django开发社区
本文地址:http://www.python88.com/topic/190029