Py学习  »  机器学习算法

机器学习走进农业!中国农科院:机器学习赋能温室黄瓜高产株型设计

iPlants • 2 周前 • 76 次点击  

图片近日,Plant Biotechnology Journal杂志在线发表了由中国农业科学院蔬菜花卉研究所无土栽培团队撰写的“Machine Learning‐Driven Construction of High‐Yielding Cucumber Plant Architectures in Greenhouse Environments”论文。该研究整合深度学习与机器学习技术,解析了263份黄瓜品种地上部与根系的表型特征,构建了高精度产量预测模型,设计出适配温室环境的高产黄瓜理想株型,并系统解析了地上与根系表型对产量的协同调控机制,不仅为黄瓜高产育种提供了理论依据,也为智慧农业中表型预测与结构设计提供了新思路。


黄瓜是我国重要的设施蔬菜作物,其产量受地上部光合结构与根系吸收能力的共同调控。传统育种多依赖经验选择,难以系统量化多表型间的互作效应。为此,该研究团队收集了263份黄瓜品种的地上表型(叶片、茎秆、开花节位等)、幼苗根系表型(长度、角度、直径等)及最终产量数据。通过U-Net模型对根系图像进行自动分割与特征提取,结合多种机器学习算法构建产量预测模型,并利用大规模表型组合模拟(15万+虚拟组合)寻找最优结构配置,首次在黄瓜中实现了基于早期表型的高产结构预测与优化,主要研究结果如下:

1、深度学习实现根系表型精准提取,解决高通量鉴定难题

根系作为作物吸收水分和养分的核心器官,其表型特征与产量密切相关。研究团队基于U-Net深度学习模型,构建了黄瓜根系图像语义分割算法。该模型对不同背景、不同拍摄条件下的根系图像均具有极高的分割精度,平均交并比(mIoU)达0.885,精确率0.9601,根系表面积预测值与真实值的R²高达0.9605。借助该模型,团队高效提取了263份黄瓜品种苗期根系的29个核心性状,包括根长、根径、根角、根深等,并进一步计算得到35个衍生表型指标,为后续产量关联分析奠定了坚实的数据基础。

图1 U-Net模型根系分割结果


2、机器学习构建产量预测模型,锁定关键高产性状

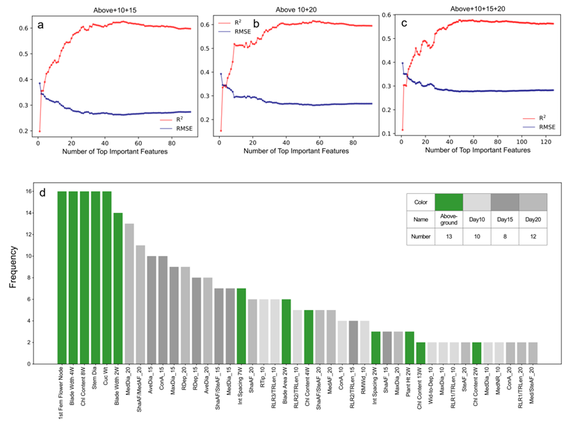
研究团队整合黄瓜地上部表型(如第一雌花节位、叶宽、茎粗等)和不同生育期的根系表型数据,分别采用支持向量机(SVM)、随机森林(RF)、梯度提升决策树(GBDT)等机器学习算法构建产量预测模型。研究发现,仅依靠根系或地上部单一性状的模型预测精度有限,而整合地上部与多时期根系性状的模型性能显著提升。其中,GBDT+SVM组合模型表现最优,在“地上部+苗期+成株期根系”性状组合下,预测R²达0.6155,均方根误差(RMSE)低至0.2601。特征重要性分析进一步锁定了第一雌花节位、4周龄叶宽、茎粗、浅层根角频率等关键高产性状,明确了这些性状是决定黄瓜产量的核心因子。

图2 机器学习模型结合分析与重要特征频率统计


3、模拟表型组合揭示互作规律,设计温室高产理想株型

为挖掘最优株型组合,研究团队选取12个核心高产性状,构建了157,464种虚拟表型组合,并利用最优预测模型进行产量模拟,最终提出温室黄瓜高产株型参考范围。结果表明:高产黄瓜株型呈现“紧凑健壮地上部+窄幅粗根浅根系”的特征;高产表型组合的产量提升主要源于性状间的累加效应,而非协同效应;地上部构型决定产量上限,根系构型则决定地上部潜力的发挥程度;健壮地上部与纤细根系组合会产生拮抗效应,导致产量下降;而弱势地上部与宽幅粗根组合则可通过协同效应部分弥补产量损失。

图3 黄瓜模拟表型组合相互作用分析


该研究首次将深度学习与机器学习技术全面应用于黄瓜地上部-根系表型整合分析与产量预测,突破了传统育种中“经验选种”的局限,为作物株型优化提供了可量化、可预测的新方法。研究提出的温室黄瓜高产株型参考范围,可指导育种家开展定向选择,加速优良品种的培育进程;同时,为设施黄瓜的精准栽培(如水肥调控、株型调控)提供了理论依据,助力实现“资源高效、产量优质”的绿色农业目标。

图4 机器学习助力高产黄瓜株型构建示意图


中国农科院蔬菜花卉所已毕业博士朱翠芳(上海农科院)、余宏军研究员为论文共同第一作者,蒋卫杰研究员和李强副研究员为该论文共同通讯作者。该研究得到了国家重点研发计划、国家大宗蔬菜产业技术体系、上海市农科院智慧农业研究中心等项目的支持。


论文链接:https://onlinelibrary.wiley.com/doi/10.1111/pbi.70539

 
图片
为了不让您最关心的内容被湮没

防止我们一不小心失散

快把“iPlants”设置为星标吧★

只需三步↓↓

文章顶部点击「iPlants」名称进入公众号主页,点击右上角「三个小点」,点击「设为星标」,iPlants名称旁边出现一个黄色的五角星,就设置成功啦~

微信加群
iPlants专注于全球植物科学前沿研究报道,已有四十万多学者关注。现已组建了50个500人/群的植物科学研究的 研究生/教授的实名认证交流群,全都来自全球各大高校和研究所的同学和老师。欢迎从事植物科学相关研究的同学和老师加入我们,一起讨论学术和梦想。温馨提示:长按下面二维码进群,请备注一下学校+专业+学生/老师,以便我们能拉你进相应的交流群,否则不予通过)
图片
投稿、商务合作、转载开白名单等事宜请联系微信ID:18321328797 或邮箱:703131029@qq.com

图片
点在看

Python社区是高质量的Python/Django开发社区
本文地址:http://www.python88.com/topic/192040