Py学习  »  机器学习算法

超越仿真,精准预测推理性能!上交与阿里提出SynPerf:一种混合分析与机器学习的 GPU 性能预测框架,实现 6.1%内核误差与 1.7 倍加速!

NeuralTalk • 1 周前 • 71 次点击  

关键词:GPU 性能建模混合建模、大语言模型、硬件泛化性、性能优化

让 AI 学会“自我审视”:在真实硬件运行前,精准预测每一行代码的执行时间。

2025 年的今天,从 Gemini 到 Llama-3,从 Qwen 到 DeepSeek,大型语言模型(LLMs)正在以前所未有的速度重塑我们的生活。这些动辄百亿、千亿参数的“数字大脑”,背后依赖的是成千上万块高性能 GPU 的昼夜运转。

然而,一个棘手的问题正摆在系统架构师面前:面对层出不穷的 GPU 架构(NVIDIA 四年内发布了四代架构、数十款型号),如何在硬件到手之前,就准确预测它运行某个模型的速度?

表 I | A100 显卡上 Qwen2.5-32B 模型推理的运行时占比拆解。该表揭示了 LLM 推理中核心核函数的耗时分布规律,GEMM 在预填充和解码阶段均占绝对主导,Attention 在解码阶段占比显著提升,四类核心核函数合计占比超 95%。这是 SYNPERF 选定建模核心的关键依据,聚焦高占比核函数确保模型对实际推理场景的实用性,也为后续管线级分析划定了重点范围。
表 I | A100 显卡上 Qwen2.5-32B 模型推理的运行时占比拆解。该表揭示了 LLM 推理中核心核函数的耗时分布规律,GEMM 在预填充和解码阶段均占绝对主导,Attention 在解码阶段占比显著提升,四类核心核函数合计占比超 95%。这是 SYNPERF 选定建模核心的关键依据,聚焦高占比核函数确保模型对实际推理场景的实用性,也为后续管线级分析划定了重点范围。

为什么要做这种“预言”?

  • 硬件选型困难:数据中心采购时,面对 A100、H100、H200、Blackwell 等众多选项,不可能把每种 GPU 都买回来实测一遍。
  • 设计空间探索:开发下一代 AI 系统时,需要评估不同并行策略(张量并行、流水线并行)的性能收益。
  • 成本考量:在云上大规模部署模型前,精确的成本/性能预估至关重要。

传统的性能预测方法各有短板:

方法类型与代表工具
优势
劣势
时钟级模拟器:Accel-Sim
精度高,能精确建模硬件时序与微架构行为
执行极慢(模拟几秒需数小时),难以适配新GPU架构,可扩展性差
解析模型:Roofline 模型
计算速度快,理论简洁,便于快速性能上界分析
过于简化,将GPU视为“黑盒”,无法刻画多流水线、内存层次、指令级并行等复杂交互
数据驱动方法:Habitat、Neusight
基于实测数据拟合,对已知架构预测效果较好
高度依赖历史训练数据,泛化能力弱;面对新型GPU架构时预测误差常超40%
  • SynPerf: A Hybrid Analytical-ML Framework for GPU Performance Prediction
  • https://arxiv.org/pdf/2601.14910
  • 7000 字,阅读 25 分钟, 播客 41 分钟

相关推荐

正是在这样的背景下,上海交通大学与阿里巴巴团队联合提出了 SynPerf——一个融合了解析模型(Analytical) 与机器学习(ML) 的混合框架,为 GPU 性能预测装上了一双“透视眼”。

本文将对 SynPerf 进行深度解读,带你理解它的核心创新、方法细节以及超越模拟的实用价值。

unset unset本文目录unsetunset

  • 一、背景:GPU 内部的“交响乐团”
  • 二、SynPerf 的三大核心创新
  • 三、SynPerf 方法论:四步走,看透内核执行
    • 模块 1:内核分解器(Kernel Decomposer)
    • 模块 2:调度模拟器(Scheduling Simulator)
    • 模块 3:特征分析器(Feature Analyzer)
    • 模块 4:性能估计器(Performance Estimator)
  • 四、实验评估:高精度与强泛化性的有力证明
    • 1. 内核级预测精度
    • 2. 端到端推理精度
  • 五、相关工作开展
  • 六、超越模拟:用“性能天花板”指导优化
    • 6.1 验证:通过调参缩小差距
  • 七、结语与展望
交流加群请在 NeuralTalk 公众号后台回复:加群

unsetunset一、背景:GPU 内部的“交响乐团”unset unset

要理解 SynPerf 的创新,首先需要了解现代 GPU 的内部运作机制。

以 NVIDIA Ampere 及后续架构为例,一个 GPU 的流式多处理器(SM,Streaming Multiprocessor) 就像一个微型的“交响乐团”,拥有多个专门的“声部”——指令流水线:

表 III | 核心数学管线执行的主要操作。该表明确了 Tensor、FMA、XU 三大核心数学管线的专属操作,均为 LLM 推理的关键计算操作,其中 Tensor 管线的 MMA 操作是 GEMM、Attention 的核心计算逻辑。SYNPERF 针对性量化这三类管线的需求,忽略 ALU 等低利用率管线,在保证建模完整性的同时提升解析效率,是分析模型轻量化设计的关键。
表 III | 核心数学管线执行的主要操作。该表明确了 Tensor、FMA、XU 三大核心数学管线的专属操作,均为 LLM 推理的关键计算操作,其中 Tensor 管线的 MMA 操作是 GEMM、Attention 的核心计算逻辑。SYNPERF 针对性量化这三类管线的需求,忽略 ALU 等低利用率管线,在保证建模完整性的同时提升解析效率,是分析模型轻量化设计的关键。
  • 张量流水线(Tensor Pipe):负责执行 MMA(矩阵乘累加)指令,是处理 FP8、FP16、BF16 矩阵运算的核心,大模型 GEMM(通用矩阵乘法)算力的主力。
  • FMA 流水线:处理 FP32 浮点运算,如加、乘、融合乘加。
  • XU 流水线:处理特殊函数,如指数、对数、倒数等。
  • MIO 单元:负责数据搬运,包含加载存储单元(LSU,Load Store Unit)、共享内存、L1 缓存等。
图 1 | 软件层级与物理 GPU 硬件之间的映射关系,清晰呈现了从服务器工作负载(如 GEMM、All-Reduce)到 GPU 硬件执行的完整链路。软件层面通过 Grid、CTA 等结构定义执行配置,硬件层面则通过 SM、SMSP 及各类功能 pipeline(Tensor、FMA、LSU 等)响应执行需求。这种映射是 SYNPERF 实现跨硬件泛化的基础,其核心在于将抽象的软件逻辑与具体的硬件资源调度对应,为后续任务分解和性能建模提供了架构层面的支撑。
图 1 | 软件层级与物理 GPU 硬件之间的映射关系,清晰呈现了从服务器工作负载(如 GEMM、All-Reduce)到 GPU 硬件执行的完整链路。软件层面通过 Grid、CTA 等结构定义执行配置,硬件层面则通过 SM、SMSP 及各类功能 pipeline(Tensor、FMA、LSU 等)响应执行需求。这种映射是 SYNPERF 实现跨硬件泛化的基础,其核心在于将抽象的软件逻辑与具体的硬件资源调度对应,为后续任务分解和性能建模提供了架构层面的支撑。

当一个内核(Kernel)在 GPU 上执行时,它经历两个阶段:

  1. 编译阶段:CUDA C++或 Triton 代码被编译为 SASS 指令,这是 SM 能原生执行的唯一语言。
  2. 运行阶段:内核启动时,会指定一个网格(Grid)和其包含的 CTA。GPU 的硬件工作分配器(GigaThread 引擎)将 CTA 动态调度到 SM 上。SM 内部的 warp 调度器再将指令分发到不同的执行流水线上。

【关键洞察】一个内核的执行时间,不是简单的“计算时间+访存时间”,而是多个流水线并发执行、相互等待、资源竞争的综合结果。任何单一维度的分析(如 Roofline 模型中的计算强度)都无法准确描述这种复杂性。

unsetunset二、SynPerf 的三大核心创新unset unset

SynPerf 之所以能实现高精度和高泛化性,源于其三个层次的创新:

创新方法
描述
知识驱动的层次化解构
不把内核当作一个整体,而是将其分解为任务(Task),再分析每个任务对各个指令流水线的需求(Demand)。
数据驱动的非线性建模
不依赖固定的公式来组合这些需求,而是用一个轻量级 MLP(多层感知机)来学习不同流水线需求之间的复杂交互和资源竞争。
超越平均的“性能天花板”诊断
不满足于预测平均性能,而是通过分位数回归(Quantile Regression)来估计内核在理想配置下的“性能潜力”,从而诊断实际实现的低效之处。

unsetunset三、SynPerf 方法论:四步走,看透内核执行unsetunset

SynPerf 的整体流程如图 2所示,包含四个核心模块:

图 2 | SYNPERF 建模框架概述,详细展示了从核函数分解到最终性能预测的流程。框架包含四大核心模块,形成 “输入 - 分解 - 模拟 - 分析 - 预测” 的闭环。Kernel Decomposer 将核函数转化为基础任务,Scheduling Simulator 模拟任务在 SM 上的分配,Feature Analyzer 提取多维度管线需求特征,最终由轻量 MLP 模型输出预测结果。这种设计既通过解析模型保证了可解释性,又借助 ML 捕捉复杂管线交互,实现了保真度与泛化性的平衡。
图 2 | SYNPERF 建模框架概述,详细展示了从核函数分解到最终性能预测的流程。框架包含四大核心模块,形成 “输入 - 分解 - 模拟 - 分析 - 预测” 的闭环。Kernel Decomposer 将核函数转化为基础任务,Scheduling Simulator 模拟任务在 SM 上的分配,Feature Analyzer 提取多维度管线需求特征,最终由轻量 MLP 模型输出预测结果。这种设计既通过解析模型保证了可解释性,又借助 ML 捕捉复杂管线交互,实现了保真度与泛化性的平衡。

模块 1:内核分解器(Kernel Decomposer)

目标:将一个复杂的内核,分解为一组任务(Tasks)的集合。

这一分解并非任意划分,而是需兼顾计算局部性、内存带宽利用率与硬件执行单元的调度特性。因此,任务的定义并非静态统一,而是随内核设计范式动态演化——这自然引出了对“任务”语义的精细化区分。

具体而言,这里的“任务”定义取决于内核的实现方式:

  • 对于常规内核如 FlashAttention-2,一个任务通常对应一个CTA(线程块),其职责边界清晰、生命周期短暂,与一次完整的子矩阵注意力计算强绑定;
  • 而对于持久化内核(Persistent Kernel)如 Ping-Pong GEMM,设计逻辑发生根本转变:一个 CTA 长期驻留在 SM 上,通过轮询全局工作队列动态获取更细粒度的计算包——此时,“任务”的粒度下沉至数据块级操作(如单次 tile-GEMM),而 CTA 仅作为执行载体存在。这种范式迁移,使得任务抽象从“静态分配”转向“动态调度”,也为后续映射函数的设计提出了更高要求。

分解过程由映射函数  实现:

其中  是输入参数, 是硬件规格, 是第  个任务,每个任务由维度参数向量  描述(例如 GEMM 任务的 )。 该函数本质上建模了软硬件协同的决策逻辑:既需适配算法结构,又须服从 SM 资源约束与访存模式。

实现方式亦需因“库而异”:

  • 开源库(如 FlashInfer)可直接阅读源代码,提取并行化策略和线程块映射逻辑;
  • 闭源库(如 cuBLAS)则需借助剖析(Profiling)工具,分析内核名称、CTA 启动规模与输入尺寸()的统计规律,在缺乏源码的前提下,通过可观测行为反推不可见的映射函数 

模块 2:调度模拟器(Scheduling Simulator)

目标是模拟任务如何被动态分配到具体的流式多处理器(SM)上,从而生成一个合理的任务分布(Task Distribution)。该分布由映射函数  显式建模:

其中  表示分配给第  个 SM 的全部任务集合, 为待调度的全局任务集, 为当前 SM 的资源状态(如寄存器、共享内存、活跃 warp 数等)。

为兼顾通用性与架构特异性,调度策略采用双模设计:

  • 硬件调度器(默认):面向绝大多数常规内核,采用贴近真实 GPU 硬件行为的轮询(Round-Robin)策略。它并非简单地“平均切分”,而是按 SM 顺序逐轮分配任务,每轮仅在目标 SM 资源充足(如 warp 槽位未满、寄存器余量足够)时才执行分配,直至所有任务耗尽或所有 SM 均达资源饱和。
  • 软件调度器(可选):专用于支持持久化执行(persistent kernel)的场景,例如 FlashAttention-3 在 Hopper 架构上的实现。该模式下,调度逻辑由内核自身控制,我们通过精确建模其软件调度器——如基于最小堆(MinHeap)的优先级队列——来动态选择下一个执行任务,从而复现其对计算与访存重叠的精细优化行为。

两种策略共享统一的映射接口 ,确保任务分布既符合硬件约束,又能反映高级调度语义,使模拟结果兼具真实性与可解释性。

模块 3:特征分析器(Feature Analyzer)

目标:将任务分布转换为一个多层次的、包含需求(Demand) 和理论周期(Theoretical Cycles) 的特征集。

这是 SynPerf 将领域知识注入模型的关键步骤。它将经典的 Roofline 模型扩展为多维分析,为每一个关键指令流水线计算一个理论性能上限。

图 3 | SYNPERF 针对 A100 上 FlashAttention-2 的多维分析示意图。随着需求增加,两种不同配置的实测性能逐渐接近理论 “上限” 并趋于平稳。该图是 SYNPERF 对经典 Roofline 模型的扩展应用,将单一计算 / 内存上限细化为各管线专属理论上限。横轴分别代表 Tensor 管线和内存管线的需求规模,纵轴为理论周期与实际周期的比值,反映执行效率。当需求达到一定阈值后,性能受限于硬件物理瓶颈进入平台期,这一规律为 Feature Analyzer 量化管线需求和理论周期提供了实证依据,确保特征提取的合理性。
图 3 | SYNPERF 针对 A100 上 FlashAttention-2 的多维分析示意图。随着需求增加,两种不同配置的实测性能逐渐接近理论 “上限” 并趋于平稳。该图是 SYNPERF 对经典 Roofline 模型的扩展应用,将单一计算 / 内存上限细化为各管线专属理论上限。横轴分别代表 Tensor 管线和内存管线的需求规模,纵轴为理论周期与实际周期的比值,反映执行效率。当需求达到一定阈值后,性能受限于硬件物理瓶颈进入平台期,这一规律为 Feature Analyzer 量化管线需求和理论周期提供了实证依据,确保特征提取的合理性。

图 3 展示了 FlashAttention-2 在 A100 上的多维性能分析示例。随着计算负载增加,不同配置下的实测吞吐量逐渐逼近各硬件流水线的理论性能上限,这一趋势直观反映了模型在不同瓶颈下的行为边界。

整个性能建模过程采用自底向上的分层聚合策略,依次从任务级、SM 级到 GPU 级逐层抽象关键特征:

任务级特征:聚焦单个计算单元的细粒度行为

  • 计算流水线上,针对张量核心(Tensor Core),依据实际 tile 尺寸(tile_M, tile_N, tile_K)与算子语义(如 FlashAttention 需两次矩阵乘,故系数 )推导 MMA 操作数;FMA 与 XU 流水线则通过解析内核的算术表达式与循环结构,直接统计总操作数;再结合硬件吞吐量 ,得到各流水线的理论执行周期 
  • 内存流水线(MIO)上,统计每个任务从各级缓存或全局内存中加载的总字节数 ,覆盖完整数据搬运路径。

SM 级特征:将任务分配结果纳入考量

对归属同一  的所有任务,聚合其操作数与内存需求,得到  和 ,并据此计算该 SM 上各流水线的理论周期 ;同时记录各 SM 中的最大操作数与最大周期,以刻画 SM 间负载不均衡性。

GPU 级特征:完成全局归一化

  • 汇总所有 SM 的指标,得到全局操作数  与总内存需求 
  • 计算整体理论周期 ,并分别基于 L2 带宽与全局内存带宽估算内存瓶颈周期 

最终,这些分层特征被拼接为统一的输入向量,送入后续 MLP 模型进行性能预测。表 IV 详细列出了该向量的具体组成。

表 IV | 输入至多层感知器(MLP)的解析特征向量。该表的特征按管线类型和分析粒度双层划分,涵盖 GPU 全局和 SM 级的计算、内存维度核心特征,是连接 SYNPERF 解析模型与 ML 模型的核心桥梁。框架刻意保留原始需求特征而非复合指标,将特征间复杂的非线性交互交由 MLP 学习,避免了人工定义指标的局限性,大幅提升预测精度。
表 IV | 输入至多层感知器(MLP)的解析特征向量。该表的特征按管线类型和分析粒度双层划分,涵盖 GPU 全局和 SM 级的计算、内存维度核心特征,是连接 SYNPERF 解析模型与 ML 模型的核心桥梁。框架刻意保留原始需求特征而非复合指标,将特征间复杂的非线性交互交由 MLP 学习,避免了人工定义指标的局限性,大幅提升预测精度。

模块 4:性能估计器(Performance Estimator)

目标:使用一个轻量级 MLP,将特征向量映射到最终的内核执行延迟。

  • 模型架构:3 层隐藏层(256, 128, 64 单元),ReLU 激活函数,Batch Normalization 和 Dropout(0.1)用于正则化。输出层使用 Sigmoid 激活函数,预测一个 0 到 1 之间的执行效率(Efficiency),定义为理论执行时间与实际延迟的比值,
  • 训练策略:为每个内核类别(如 GEMM, Attention)训练一个独立的 MLP。训练数据通过在多种 GPU 架构和输入参数上剖析(Profiling)内核的实际执行延迟来构建。表 V 总结了所选择的内核的关键特性。
表 V | 所选核函数的核心特征。该表的核函数均来自 vLLM、SGLang 两大主流 LLM 推理框架,覆盖不同源码类型、数据精度和调度方式,是 LLM 推理的核心计算组件。SYNPERF 采用按核函数单独训练 MLP的策略,适配不同核函数的管线需求和调度逻辑,针对性建模让框架能精准捕捉各类核函数的性能规律,提升核函数级预测的准确性。
表 V | 所选核函数的核心特征。该表的核函数均来自 vLLM、SGLang 两大主流 LLM 推理框架,覆盖不同源码类型、数据精度和调度方式,是 LLM 推理的核心计算组件。SYNPERF 采用按核函数单独训练 MLP的策略,适配不同核函数的管线需求和调度逻辑,针对性建模让框架能精准捕捉各类核函数的性能规律,提升核函数级预测的准确性。

unset unset四、实验评估:高精度与强泛化性的有力证明unsetunset

SynPerf 在 11 种不同 GPU 上进行了评估,涵盖四代架构(Ampere、Ada Lovelace、Hopper、Blackwell),并将其与 Roofline 模型、线性回归模型以及 SOTA 数据驱动方法 Neusight 进行了对比。

表 VI 列出了评估用 GPU 的关键规格,并将其分为“已见”和“未见”两组,用于测试泛化性。

表 VI | 所评估的 NVIDIA GPU 的核心规格参数。该表的 11 款 GPU 覆盖 Ampere、Ada、Hopper、Blackwell 四代 NVIDIA 架构,涵盖不同市场定位和硬件配置,且分训练、测试集划分。这是验证 SYNPERF 泛化性的核心硬件测试集,从 SM 数量、存储带宽到 Tensor 管线吞吐量的差异化配置,能全面测试模型在见过 / 未见过硬件上的预测表现,充分验证框架的跨架构能力。
表 VI | 所评估的 NVIDIA GPU 的核心规格参数。该表的 11 款 GPU 覆盖 Ampere、Ada、Hopper、Blackwell 四代 NVIDIA 架构,涵盖不同市场定位和硬件配置,且分训练、测试集划分。这是验证 SYNPERF 泛化性的核心硬件测试集,从 SM 数量、存储带宽到 Tensor 管线吞吐量的差异化配置,能全面测试模型在见过 / 未见过硬件上的预测表现,充分验证框架的跨架构能力。

1. 内核级预测精度

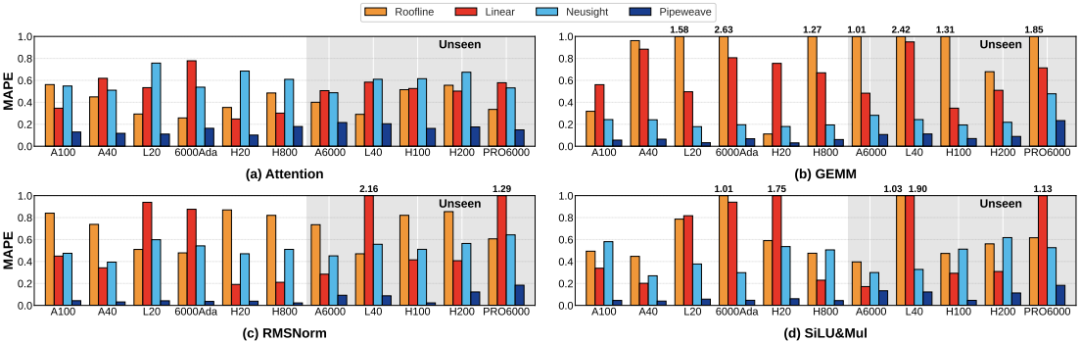
图 5 展示了四个典型内核(GEMM、Attention、RMSNorm、SiLU&Mul)在 BF16 精度下的预测误差(MAPE)。

图 5 | SYNPERF 与基准模型的核函数级预测精度(MAPE)对比。灰色背景标识未见过的硬件平台。该图聚焦 BF16 精度下四种典型 LLM 推理核函数(Attention、GEMM、RMSNorm、SiLU&Mul)的预测表现。SYNPERF 在 seen 和 unseen 硬件上均大幅优于 Roofline、Linear 和 Neusight 模型,峰值误差仅 23.4%,远低于基准模型的 75.7% 以上。尤其在未见过的硬件上,其泛化能力突出,证明通过管线级分析提取的特征具有硬件无关性,解决了传统数据驱动方法泛化性差的痛点。
图 5 | SYNPERF 与基准模型的核函数级预测精度(MAPE)对比。灰色背景标识未见过的硬件平台。该图聚焦 BF16 精度下四种典型 LLM 推理核函数(Attention、GEMM、RMSNorm、SiLU&Mul)的预测表现。SYNPERF 在 seen 和 unseen 硬件上均大幅优于 Roofline、Linear 和 Neusight 模型,峰值误差仅 23.4%,远低于基准模型的 75.7% 以上。尤其在未见过的硬件上,其泛化能力突出,证明通过管线级分析提取的特征具有硬件无关性,解决了传统数据驱动方法泛化性差的痛点。
  • 已见硬件:SynPerf 平均 MAPE 为6.0%,而 Neusight 为 42.6%。
  • 未见硬件:SynPerf 平均 MAPE 为11.5%,比 Neusight 的 45.1%提升了3.9 倍。
  • 线性回归和 Roofline 模型的最大误差分别高达215.6% 和263.5%,完全无法应对复杂场景。

对于 FP8 精度的 Scaled MM 内核,SynPerf 在未见硬件(H100、H200)上的 MAPE 仅为4.2%和 5.2%,比 Neusight 平均提升7.8 倍。

2. 端到端推理精度

SynPerf 的实用性不仅在于预测单个内核,更在于组合起来预测整个推理过程的延迟。图 6展示了 Qwen2.5-14B 模型在单 GPU 上运行时的端到端预测误差。

图 6 | SYNPERF 与基准模型在基于 SGLang 的单 GPU Qwen2.5-14B 推理任务中的端到端预测精度(MAPE)对比。灰色背景标识未见过的硬件平台。实验基于 arxiv_8 和 splitwise_32 两种不同输入特征的 workload,覆盖 11 种 GPU 型号。SYNPERF 平均 MAPE 仅 11.3%,较 SOTA 基准 Neusight(34.5%)提升 2.8 倍,且在未见过的硬件上仍保持 12.5% 的低误差。这验证了其从核函数级预测到端到端推理预测的扩展性,通过 Workload Generator 还原真实内核调用序列,确保预测结果能直接服务于实际 LLM 部署场景。
图 6 | SYNPERF 与基准模型在基于 SGLang 的单 GPU Qwen2.5-14B 推理任务中的端到端预测精度(MAPE)对比。灰色背景标识未见过的硬件平台。实验基于 arxiv_8 和 splitwise_32 两种不同输入特征的 workload,覆盖 11 种 GPU 型号。SYNPERF 平均 MAPE 仅 11.3%,较 SOTA 基准 Neusight(34.5%)提升 2.8 倍,且在未见过的硬件上仍保持 12.5% 的低误差。这验证了其从核函数级预测到端到端推理预测的扩展性,通过 Workload Generator 还原真实内核调用序列,确保预测结果能直接服务于实际 LLM 部署场景。
  • 已见硬件:SynPerf 平均 MAPE 为11.3%,Neusight 为 34.5%。
  • 未见硬件:SynPerf 平均 MAPE 为12.5%,比 Neusight 的 34.4%提升2.8 倍。

在更复杂的多 GPU 分布式推理场景中(表 VIII),SynPerf 的表现同样出色。在 20 个测试配置上,SynPerf 的平均 MAPE 为6.6%,而 Neusight 高达34.7%,实现了5.3 倍的平均精度提升。

表 VIII | 基于 SGLang 和 vLLM 的多 GPU 推理任务中,SYNPERF 与基准模型的端到端性能预测平均绝对百分比误差(MAPE,单位:%)。该表覆盖不同模型、并行策略、数据集和硬件的 20 种多 GPU 推理配置,SYNPERF 平均 MAPE 仅 6.6%,较 SOTA 基准 Neusight 提升 5.3 倍。结果验证了 SYNPERF 在分布式推理中的高精度,框架通过融合计算核函数预测与通信核函数的回归估计,完整建模多 GPU 推理的端到端延迟,适配实际的 LLM 分布式部署场景。
表 VIII | 基于 SGLang 和 vLLM 的多 GPU 推理任务中,SYNPERF 与基准模型的端到端性能预测平均绝对百分比误差(MAPE,单位:%)。该表覆盖不同模型、并行策略、数据集和硬件的 20 种多 GPU 推理配置,SYNPERF 平均 MAPE 仅 6.6%,较 SOTA 基准 Neusight 提升 5.3 倍。结果验证了 SYNPERF 在分布式推理中的高精度,框架通过融合计算核函数预测与通信核函数的回归估计,完整建模多 GPU 推理的端到端延迟,适配实际的 LLM 分布式部署场景。

unset unset五、相关工作开展unsetunset

SynPerf 的工作并非凭空出现,它与以下三大研究方向紧密相关,并弥补了它们的不足:

类别
方法/工具
特点与局限
GPU 性能建模
时钟级模拟器(如 Accel-Sim, Multi-GPU-Sim)
提供最高精度,但速度慢、难以移植到新硬件。SynPerf 采用解析+学习方法,避免昂贵模拟,实现快速预测
GPU 性能建模
解析模型(如 GPUMech, GCoM, Amali)
基于区间分析等理论快速估算性能,但依赖大量硬件特定微基准测试,泛化性受限。SynPerf 仅提取硬件规格参数,不依赖复杂微基准,通用性更强
GPU 性能建模
数据驱动方法(如 Habitat, Neusight)
学习延迟与输入特征关系;Neusight 虽引入任务分解,但硬件模型粗糙(SM 视为单体事件),对融合内核建模不足。SynPerf 通过流水线级特征分析克服上述限制
网络模拟
ns-3, OMNeT++, Astra-Sim, SimAI
专注数据中心互联模拟,评估 All-Reduce 等通信性能。SynPerf 当前聚焦计算内核,但可与其协同,构建完整系统模拟
系统级模拟
Vidur, LLMServingSim, VTrain
模拟 DNN 训练/推理中计算、通信、调度的复杂交互。SynPerf 可作为高性能计算模型插件,并以“超越模拟”能力为系统优化提供新视角

unset unset六、超越模拟:用“性能天花板”指导优化unsetunset

SynPerf 最令人兴奋的部分,是它展示了“超越模拟”的价值。它不仅能预测性能,还能诊断性能瓶颈并指导优化。

核心问题:对于一个给定的内核和输入,其理论上的“性能天花板”在哪里?我们不知道,因此也无法判断当前实现是接近最优还是存在巨大浪费。

SynPerf 的解决方案是分位数回归(Quantile Regression),从而定义天花板:不训练预测平均值的模型,而是训练一个预测80 分位数(P80)的模型。这个模型学会拟合性能最好的那 20%的数据点,从而输出一个统计意义上的“潜在性能天花板” ,它代表了一个内核在理想配置下能达到的高效率。

图 7 展示了在 Fused MoE 内核上的分析结果。

图 7 | 性能差距分析。折线图为差距分布的累积分布函数(CDF),柱状图为各硬件 “性能不佳点”(差距 > 0.1)的数量统计。该分析基于 P80 分位数回归模型定义的性能上限,通过计算实际效率与上限的差值定位优化空间。结果显示 80% 的配置性能差距小于 0.1,而 A40 GPU 存在 921 个性能不佳点(占其样本 30.4%),说明其核函数配置逻辑与硬件架构不匹配。这种硬件特异性问题的精准定位,为后续针对性优化提供了明确方向,体现 SYNPERF “超越模拟” 的实用价值。
图 7 | 性能差距分析。折线图为差距分布的累积分布函数(CDF),柱状图为各硬件 “性能不佳点”(差距 > 0.1)的数量统计。该分析基于 P80 分位数回归模型定义的性能上限,通过计算实际效率与上限的差值定位优化空间。结果显示 80% 的配置性能差距小于 0.1,而 A40 GPU 存在 921 个性能不佳点(占其样本 30.4%),说明其核函数配置逻辑与硬件架构不匹配。这种硬件特异性问题的精准定位,为后续针对性优化提供了明确方向,体现 SYNPERF “超越模拟” 的实用价值。
  • CDF 曲线显示,约 80%的配置点性能差距小于 0.1,但存在一个“长尾”。
  • 条形图揭示了一个惊人的事实:A40 GPU上有921 个(占其样本的 30.4%) 配置点的性能差距大于 0.1,说明该内核的配置逻辑在 A40 上完全不适用。相反,H20上零个这样的点,说明配置逻辑非常适合 H20。

6.1 验证:通过调参缩小差距

这是否真的有用?团队选取了 A40、L20、A100、H800 上的约 70 个“欠性能点”,通过调整三个参数(BLOCK_SIZE num_stagesnum_wraps)进行优化。图 8 显示,优化后所有平台上的平均性能差距都显著缩小。

图 8 | 四种 GPU 平台在模型引导优化前后的性能差距分布对比。优化针对各 GPU 的典型 “性能不佳点”,通过调整 BLOCK_SIZE、num_stages 和 num_warps 三个核心参数实现。结果显示,A40 和 L20 的平均性能差距分别从 0.187、0.274 降至 0.083、0.215,优化效果显著;而 A100 和 H800 因基线配置接近性能上限,提升相对有限。残留差距可能源于核函数设计或 Triton 语言固有局限,这为后续优化方向提供了参考,证明 SYNPERF 的性能上限模型能有效指导实际调优实践。
图 8 | 四种 GPU 平台在模型引导优化前后的性能差距分布对比。优化针对各 GPU 的典型 “性能不佳点”,通过调整 BLOCK_SIZE、num_stages 和 num_warps 三个核心参数实现。结果显示,A40 和 L20 的平均性能差距分别从 0.187、0.274 降至 0.083、0.215,优化效果显著;而 A100 和 H800 因基线配置接近性能上限,提升相对有限。残留差距可能源于核函数设计或 Triton 语言固有局限,这为后续优化方向提供了参考,证明 SYNPERF 的性能上限模型能有效指导实际调优实践。
  • A40 上的平均差距从 0.187 降至 0.083。
  • L20 上的平均差距从 0.274 降至 0.215。
  • A100 和 H800 由于初始配置已经接近最优,改进空间较小。

这强有力地证明,SynPerf 不仅仅是一个预测器,更是一个诊断工具,能够:

  • 精确定位哪些硬件、哪些配置下的内核实现是低效的。
  • 为优化提供明确的方向,缩小与 P80 天花板的差距。
  • 量化优化带来的收益。

unsetunset七、结语与展望unsetunset

SynPerf 为我们展示了一种全新的 GPU 性能建模范式。它不追求纯粹的解析,也不迷信纯粹的数据,而是巧妙地将领域知识(硬件流水线、调度机制) 与数据驱动的学习能力结合在一起。

  • 对研究人员,SynPerf 提供了一个高精度、高泛化性的性能模型,可以加速架构设计和系统仿真。
  • 对工程师,SynPerf 的“性能天花板”诊断能力,为优化生产级内核提供了前所未有的洞察力,如同有了一位经验丰富的导师,告诉你:“ 你的代码在 A40 上还可以快 1.7 倍,试试调这几个参数!

未来,SynPerf 的团队计划将其扩展到更复杂的分布式场景如多节点集群、专家并行等,并开发自动化工具,让模型不仅能诊断问题,还能自动搜索最优配置,真正实现“自我优化”的 AI 系统。

在这个算力即权力的时代,SynPerf 这样的工具,正在让我们对算力的理解和使用,从“黑盒的粗放式”走向“白盒的精细化”。这或许就是 AI 基础设施走向成熟的必经之路。

相关推荐

交流加群请在 NeuralTalk 公众号后台回复:加群

Python社区是高质量的Python/Django开发社区
本文地址:http://www.python88.com/topic/193186