Py学习  »  Python

什么是折线图?怎样用Python绘制?怎么用?终于有人讲明白了(附代码)

数据派THU • 5 年前 • 668 次点击  


来源:大数据DT


本文约5400字,建议阅读10分钟

本文为你介绍数据分析时经常用到的折线图,可以用来呈现哪些数据关系?在数据分析过程中可以解决哪些问题?怎样用Python绘制折线图?


01 概述

折线图(Line)是将排列在工作表的列或行中的数据进行绘制后形成的线状图形。折线图可以显示随时间(根据常用比例设置)而变化的连续数据,非常适用于显示在相等时间间隔下数据的趋势。

在折线图中,数据是递增还是递减、增减的速率、增减的规律(周期性、螺旋性等)、峰值等特征都可以清晰地反映出来。所以,折线图常用来分析数据随时间的变化趋势,也可用来分析多组数据随时间变化的相互作用和相互影响。

例如,可用来分析某类商品或是某几类相关的商品随时间变化的销售情况,从而进一步预测未来的销售情况。在折线图中,一般水平轴(x轴)用来表示时间的推移,并且间隔相同;而垂直轴(y轴)代表不同时刻的数据的大小。如图0所示。

▲图0 折线图

02 实例

折线图代码示例如下所示。

  • 代码示例①

1# 数据  
2x = [1 234567]  
3y = [67245104]  
4# 画布:坐标轴标签,画布大小  
5p = figure(title="line example", x_axis_label='x', y_axis_label='y', width=400, height=400)  
6# 绘图:数据、图例、线宽  
7p.line(x, y, legend="Temp.", line_width=2)  # 折线  
8# 显示
9show(p)


运行结果如图1所示。


▲图1 代码示例①运行结果


代码示例①仍以最简单的方式绘制第一张折线图。line()方法的参数说明如下。

  • p.line(x, y, **kwargs)参数说明

  • x(:class:`~bokeh.core.properties.NumberSpec` ) : x坐标。

  • y(:class:`~bokeh.core.properties.NumberSpec` ) : y坐标。

  • line_alpha (:class:`~bokeh.core.properties.NumberSpec` ) : (default: 1.0) 轮廓线透明度。

  • line_cap ( :class:`~bokeh.core.enums.LineCap` ) : (default: 'butt') 线端。

  • line_color (:class:`~bokeh.core.properties.ColorSpec` ) : (default: 'black') 轮廓线颜色,默认:黑色。

  • line_dash (:class:`~bokeh.core.properties.DashPattern` ) : (default: []) 虚线,类型可以是序列,也可以是字符串('solid', 'dashed', 'dotted', 'dotdash', 'dashdot')。

  • line_dash_offset (:class:`~bokeh.core.properties.Int` ) : (default: 0) 虚线偏移。

  • line_join (:class:`~bokeh.core.enums.LineJoin` ) : (default: 'bevel')。

  • line_width (:class:`~bokeh.core.properties.NumberSpec` ) : (default: 1) 线宽。

  • name (:class:`~bokeh.core.properties.String` ) : 图元名称。

  • tags (:class:`~bokeh.core.properties.Any` ) :图元标签。

  • alpha (float) : 一次性设置所有线条的透明度。

  • color (Color) : 一次性设置所有线条的颜色。

  • source (ColumnDataSource) : Bokeh特有数据格式(类似于Pandas Dataframe)。

  • legend (str) : 图元的图例。

  • x_range_name (str) : x轴范围名称。

  • y_range_name (str) : y轴范围名称。

  • level (Enum) : 图元渲染级别。


  • 代码示例②

1p = figure(plot_width=400, plot_height=400)  
2# 线段x、y位置点均为列表;两段线的颜色、透明度、线宽  
3p.multi_line([[132], [3466]], [[214], [4785]],  
4color=["firebrick""navy"], alpha=[0.80.3], line_width=4)  # 多条折(曲)线
5show(p)


运行结果如图2所示。

▲图2 代码示例②运行结果


代码示例②第3行使用multi_line()方法,实现一次性绘制两条折线,同时,在参数中定义不同折线的颜色。如果使用Pandas Dataframe,则可以同时绘制不同列的数据。multi_line()方法的参数说明如下。

  • p.multi_line(xs, ys, **kwargs)参数说明

  • xs (:class:`~bokeh.core.properties.NumberSpec` ) :x坐标,列表。
  • ys (:class:`~bokeh.core.properties.NumberSpec` ) :y坐标,列表。

其他参数同line。

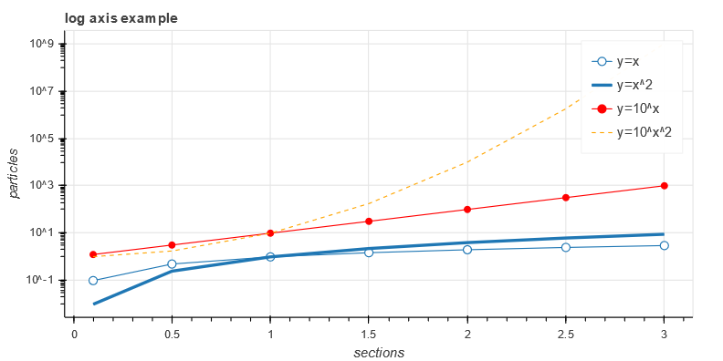
  • 代码示例③

 1# 准备数据  
2x = [0.10.51.01.52.02.53.0]  
3y0 = [i**2 for i in x]  
4y1 = [10**i for i in x]  
5y2 = [10**(i**2for i in x]  
6# 创建画布  
7p = figure(  
8      tools="pan,box_zoom,reset,save" ,  
9      y_axis_type="log", title="log axis example",  
10      x_axis_label='sections', y_axis_label='particles',  
11      width=700, height=350)  
12# 增加图层,绘图  
13p.line(x, x, legend="y=x")  
14p.circle(x, x, legend="y=x", fill_color="white", size=8)  
15p.line(x, y0, legend="y=x^2", line_width=3)  
16p.line(x, y1, legend="y=10^x", line_color="red")  
17p.circle(x, y1, legend="y=10^x", fill_color="red", line_color="red", size=6
18p.line(x, y2, legend="y=10^x^2", line_color="orange", line_dash="4 4")  
19# 显示  
20show(p)


行结果如图3所示。


▲图3 代码示例③运行结果


代码示例③第13、15、16行使用line()方法逐一绘制折线,该方法的优点是基本数据清晰,可在不同线条绘制过程中直接定义图例。读者也可以使用multi_line()方法一次性绘制三条折线,然后再绘制折线上的数据点。同样,既可以在函数中预定义图例,也可以用Lengend方法单独进行定义,在后面会对图例进行详细说明。

  • 代码示例④

1p.legend.location = "top_left"  # 图例位于左上  
2p.legend.click_policy="hide" # 点击图例显示、隐藏图形  
3show(p)  # 自行测试效果


行结果如图4所示。


▲图4 代码示例④运行结果

代码示例④在代码示例③的基础上增加了图例的位置、显示或隐藏图形属性;通过点击图例,可实现图形的显示或隐藏,当折线数目较多或者颜色干扰阅读时,可以通过该方法实现对某一条折线数据的重点关注。这种通过图例、工具条、控件实现数据人机交互的可视化方式,正是Bokeh得以在GitHub火热的原因,建议在工作实践中予以借鉴。

  • 代码示例⑤

 1# 数据  
2import numpy as np  
3x = np.linspace(04*np.pi, 200)  
4y1 = np.sin(x)  
5y2 = np.cos(x)  
6# 将y1+—0.9范围外的数据设置为无穷大  
7y1[y1>+0.9] = +np.inf  
8y1[y1<-0.9] = -np.inf  
9# 将y2+—0.9范围外的数据采用掩码数组或NAN值替换  
10y2 = np.ma.masked_array(y2, y2<-0.9)  
11y2[y2>0.9] = np.nan  
12# 图层  
13p = figure(title="lines with missing/inf values")  
14# 绘图x,y1  
15p.line(x, y1, color="firebrick", line_width=2)  # 砖红色  
16# 绘图x,y2  
17p.line(x, y2, color="blue", line_width=2)  # 蓝色  
18show(p)  


行结果如图5所示。


▲图5 代码示例⑤运行结果


代码示例⑤第15、16行使用line()方法绘制两组不同颜色的曲线。

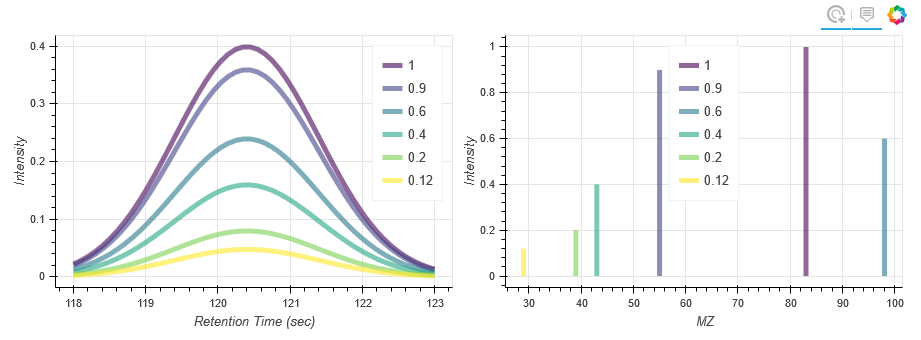
  • 代码示例⑥

 1import numpy as np  
2from collections import defaultdict  
3from scipy.stats import norm  
4from bokeh.models import HoverTool, TapTool  
5from bokeh.layouts import gridplot  
6from bokeh.palettes import Viridis6  
7# 数据  
8mass_spec = defaultdict(list)  #defaultdict类的初始化函数接受一个list类型作为参数,当所访问的键不存在时,可以实例化一个值作为默认值  
9RT_x = np.linspace(118123, num=50)  
10norm_dist = norm(loc=120.4).pdf(RT_x)  # loc均值;pdf输入x,返回概率密度函数  
11
12# 生成6组高斯分布的曲线  
13for scale, mz in  [(1.083), (0.955), (0.698), (0.443), (0.239), (0.1229)]:  
14       mass_spec["RT"].append(RT_x)  
15       mass_spec["RT_intensity"].append(norm_dist * scale)   
16       mass_spec["MZ"].append([mz, mz])  
17       mass_spec["MZ_intensity"].append([0, scale])  
18       mass_spec['MZ_tip'].append(mz)  
19       mass_spec['Intensity_tip'].append(scale)  
20# 线条颜色  
21mass_spec['color'] = Viridis6  
22# 画布参数  
23figure_opts = dict(plot_width=450, plot_height=300)  
24hover_opts = dict(  
25    tooltips=[('MZ''@MZ_tip'), ('Rel Intensity''@Intensity_tip' )],  # 鼠标悬停在曲线上动态显示数据  
26    show_arrow=False,  
27    line_policy='next'  
28)  
29line_opts = dict(  
30    line_width=5, line_color='color', line_alpha=0.6,  
31    hover_line_color='color', hover_line_alpha=1.0,  
32    source=mass_spec  # 线条数据  
33)  
34# 画布1  
35rt_plot = figure(tools=[HoverTool(**hover_opts), TapTool()], **figure_opts)  
36# 同时绘制多条折(曲)线  
37rt_plot.multi_line(xs='RT', ys='RT_intensity', legend="Intensity_tip", **line_opts)  
38# x,y轴标签  
39rt_plot.xaxis.axis_label = "Retention Time (sec)"  
40rt_plot.yaxis.axis_label = "Intensity"  
41# 画布2  
42mz_plot = figure(tools=[HoverTool(**hover_opts), TapTool()], **figure_opts)  
43mz_plot.multi_line(xs='MZ', ys='MZ_intensity', legend="Intensity_tip", **line_opts)  
44mz_plot.legend.location = "top_center"  
45mz_plot.xaxis.axis_label = "MZ"  
46mz_plot.yaxis.axis_label = "Intensity"  
47# 显示  
48show(gridplot([[rt_plot, mz_plot]]))  


行结果如图6所示。


▲图6 代码示例⑥运行结果


代码示例⑥第19行中,生成绘图数据时,同时生成图例名称列表;第37、43行使用multi_line()方法一次性绘制6条曲线,并预定义图例。

  • 代码示例⑦

 1from bokeh.models import ColumnDataSource, NumeralTickFormatter, SingleIntervalTicker
2from bokeh.sampledata.us_marriages_divorces import data  
3# 数据  
4data = data.interpolate(method='linear', axis=0 ).ffill().bfill()  
5source = ColumnDataSource(data=dict(  
6       year=data.Year.values,  
7       marriages=data.Marriages_per_1000.values,  
8       divorces=data.Divorces_per_1000.values,  
9))  
10# 工具条  
11TOOLS = 'pan,wheel_zoom,box_zoom,reset,save'  
12# 画布  
13p = figure(tools=TOOLS, plot_width=800, plot_height=500,  
14              tooltips='@$name{0.0} $name per 1,000 people in @year')  
15# 其他自定义属性  
16p.hover.mode = 'vline'  
17p.xaxis.ticker = SingleIntervalTicker(interval=10, num_minor_ticks=0)  
18p.yaxis.formatter = NumeralTickFormatter(format='0.0a')  
19p.yaxis.axis_label = '# per 1,000 people'  
20p.title.text = '144 years of marriage and divorce in the U.S.'  
21# 绘图  
22p.line('year''marriages', color='#1f77b4' , line_width=3, source=source, name="marriages")  
23p.line('year''divorces', color='#ff7f0e', line_width=3, source=source, name="divorces")  
24# 显示  
25show(p)  


行结果如图7所示。


▲图7 代码示例⑦运行结果


代码示例⑦与代码示例③相似,第10、19、21行对曲线的属性进行自定义,注意虚线的几种形式('solid', 'dashed', 'dotted', 'dotdash', 'dashdot'),读者可以自行替换测试。

  • 代码示例⑧

 1from bokeh.models import ColumnDataSource, NumeralTickFormatter, SingleIntervalTicker
2from bokeh.sampledata.us_marriages_divorces import data  
3# 数据  
4data = data.interpolate(method='linear', axis=0).ffill().bfill()  
5source = ColumnDataSource(data=dict(  
6       year=data.Year.values,  
7       marriages=data.Marriages_per_1000.values,  
8       divorces=data.Divorces_per_1000.values,  
9))  
10# 工具条  
11TOOLS = 'pan,wheel_zoom,box_zoom,reset,save'  
12# 画布  
13p = figure(tools=TOOLS, plot_width=800, plot_height=500,  
14              tooltips='@$name{0.0} $name per 1,000 people in @year')  
15# 其他自定义属性  
16p.hover.mode = 'vline'  
17p.xaxis.ticker = SingleIntervalTicker(interval=10, num_minor_ticks=0)  
18p.yaxis.formatter = NumeralTickFormatter(format='0.0a')  
19p.yaxis.axis_label = '# per 1,000 people'  
20p.title.text = '144 years of marriage and divorce in the U.S.'  
21# 绘图  
22p.line('year''marriages', color='#1f77b4', line_width=3, source=source, name="marriages")  
23 p.line('year''divorces', color='#ff7f0e', line_width=3, source=source, name="divorces")  
24# 显示  
25show(p)  


行结果如图8所示。


▲图8 代码示例⑧运行结果


代码示例⑧第22、23行通过line()方法绘制两条曲线,严格上讲这两条曲线并不是Bokeh时间序列的标准绘制方法。第17行定义了x轴刻度的间隔以及中间刻度数,读者可以尝试将num_minor_ticks=10的显示效果与图8进行对比;第18行定义了y轴的数据显示格式。

  • 代码示例⑨

 1import numpy as np  
2from scipy.integrate import odeint  
3# 数据  
4sigma = 10  
5rho = 28  
6beta = 8.0/3  
7theta = 3  * np.pi / 4  
8# 洛伦兹空间向量点生成函数  
9def lorenz(xyz, t):  
10      x, y, z = xyz  
11      x_dot = sigma * (y - x)  
12      y_dot = x * rho - x * z - y  
13      z_dot = x * y - beta* z  
14      return [x_dot, y_dot, z_dot]  
15initial = (-10-735)  
16t = np.arange(01000.006)  
17solution = odeint(lorenz, initial, t)  
18x = solution[:, 0]  
19y = solution[:, 1]  
20z = solution[:, 2]  
21xprime = np.cos(theta) * x - np.sin(theta) * y  
22# 调色  
23colors = ["#C6DBEF""#9ECAE1""#6BAED6""#4292C6""#2171B5" "#08519C""#08306B",]  
24# 画布  
25p = figure(title="Lorenz attractor example", background_fill_color="#fafafa")  
26# 绘图 洛伦兹空间向量 
27p.multi_line(np.array_split(xprime, 7), np.array_split(z, 7),  
28             line_color=colors, line_alpha=0.8, line_width=1.5)  
29# 显示  
30show(p)  


行结果如图9所示。


▲图9 代码示例⑨运行结果


代码示例⑨使用multi_line()方法在二维空间展示洛伦兹空间向量,示例中的数据生成稍微有点复杂,可以直观感受可视化之下的数据之美,有兴趣的读者可以深入了解。

  • 代码示例⑩

 1import numpy as np  
2from bokeh.layouts import row  
3from bokeh.palettes import Viridis3  
4from bokeh.models import CheckboxGroup, CustomJS  
5# 数据  
6x = np.linspace(04 * np.pi, 100)  
7# 画布  
8p = figure()  
9# 折线属性  
10props = dict(line_width=4, line_alpha=0.7)  
11# 绘图  
12l0 = p.line(x, np.sin(x), color=Viridis3[0], legend="Line 0", **props)  
13l1 = p.line(x, 4 * np.cos(x), color=Viridis3[1], legend="Line 1", **props)  
14l2 = p.line(x, np.tan(x), color=Viridis3[2], legend="Line 2", **props)  
15# 复选框激活显示  
16checkbox = CheckboxGroup(labels=["Line 0""Line 1""Line 2"],  
17                         active=[012], width=100)  
18checkbox.callback = CustomJS(args=dict(l0=l0, l1=l1, l2=l2, checkbox=checkbox), code=""" 
19l0.visible = 0 in checkbox.active; 
20l1.visible = 1 in checkbox.active; 
21l2.visible = 2 in checkbox.active; 
22"""
)  
23# 添加图层  
24layout = row(checkbox, p)  
25# 显示  
26show(layout)  


行结果如图10所示。


▲图10 代码示例⑩运行结果


代码示例⑩增加了Bokeh控件复选框,第12、13、14行使用line()方法绘制3条曲线;第16行定义复选框,并在18行定义回调函数,通过该回调函数控制3条曲线的可视状态;第24行将复选框、绘图并在一行进行显示。

  • 代码示例⑪

 1from bokeh.models import


    
 TapTool, CustomJS, ColumnDataSource  
2# 数据  
3t = np.linspace(00.1100)  
4# 回调函数  
5code = """ 
6// cb_data = {geometries: ..., source: ...} 
7const view = cb_data.source.selected.get_view(); 
8const data = source.data; 
9if (view) { 
10      const color = view.model.line_color; 
11      data['text'] = ['Selected the ' + color + ' line']; 
12      data['text_color'] = [color]; 
13      source.change.emit(); 
14
15"""
  
16source = ColumnDataSource(data=dict(text=['No line selected'], text_color=['black']))  
17# 画布  
18p = figure(width=600, height=500)  
19# 绘图  
20l1 = p.line(t, 100*np.sin(t*50), color='goldenrod', line_width=30 )  
21l2 = p.line(t, 100*np.sin(t*50+1), color='lightcoral', line_width=20)  
22l3 = p.line(t, 100*np.sin(t*50+2), color='royalblue', line_width=10)  
23# 文本,注意选择线条时候的文字变化  
24p.text(0-100, text_color='text_color', source=source)  
25# 调用回调函数进行动态交互  
26p.add_tools(TapTool(callback=CustomJS(code=code, args=dict(source=source))))  
27# 显示  
28show(p)  


行结果如图11所示。


▲图11 代码示例⑪运行结果


代码示例⑪增加点击曲线的交互效果,第20、21、22行使用line()方法绘制3条曲线;第26行定义曲线再次被点击时的效果:图11中左下方会动态显示当前选中的是哪条颜色的曲线。

  • 代码示例⑫




    
 1import numpy as np  
2from bokeh.models import ColumnDataSource, Plot, LinearAxis, Grid  
3from bokeh.models.glyphs import Line  
4# 数据  
5N = 30  
6x = np.linspace(-22, N)  
7y = x**2  
8source = ColumnDataSource(dict(x=x, y=y))  
9# 画布  
10plot = Plot(  
11       title=None, plot_width=300, plot_height=300,  
12#         min_border=0,   
13#         toolbar_location=None  
14)  
15# 绘图  
16glyph = Line(x="x", y="y", line_color="#f46d43", line_width=6 , line_alpha=0.6)
17plot.add_glyph(source, glyph)  
18# x轴单独设置(默认)  
19xaxis = LinearAxis()  
20plot.add_layout(xaxis, 'below')  
21# y轴单独设置(默认)  
22yaxis = LinearAxis()  
23plot.add_layout(yaxis, 'left')  
24# 坐标轴刻度  
25plot.add_layout(Grid(dimension=0, ticker=xaxis.ticker))  
26plot.add_layout(Grid(dimension=1, ticker=yaxis.ticker))  
27# 显示  
28show(plot)


行结果如图12所示。


▲图12 代码示例⑫运行结果


代码示例⑫使用models接口进行曲线绘制,注意第10、17、20行的绘制方法,这种绘图方式在实践中基本很少用到,仅作了解。

关于作者:

屈希峰,资深Python工程师,Bokeh领域的实践者和布道者,对Bokeh有深入的研究。擅长Flask、MongoDB、Sklearn等技术,实践经验丰富。知乎多个专栏(Python中文社区、Python程序员、大数据分析挖掘)作者,专栏累计关注用户十余万人。

本文摘编自《Python数据可视化:基于Bokeh的可视化绘图》,经出版方授权发布。


编辑:于腾凯
校对:吕艳琴
Python社区是高质量的Python/Django开发社区
本文地址:http://www.python88.com/topic/55467