如何看待物理和机器学习的结合?我只能说大有可为!相比现有技术,这种结合在灵活性、通用性和计算成本方面都很出色,必将在未来引起广泛关注!
这其中,PIML作为物理和机器学习结合的重要方向,解决了数据稀缺、物理约束和可解释性等问题。它的核心在于利用机器学习从历史数据中总结规律,这方面已经有少量工作,如果能有所突破,发顶会顶刊(比如Nature Reviews)不成问题。
目前这方向发展不久,还不是主流,创新空间还比较大。建议着眼于 “轻量级” 问题,探索网络结构优化、训练效率提升及跨学科应用等切入点。为方便大家找参考,我整理了11篇PIML前沿论文,需要可自取~
扫码添加小享,回复“物理机器”
免费获取
全部论文+开源代码

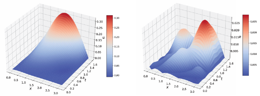
Physics-informed machine learning for moving load problems
方法:论文通过物理信息机器学习(PIML)方法,利用PINNs结合高斯函数近似狄拉克δ函数,解决了移动荷载问题的正问题(预测结构变形)和反问题(估计荷载大小),无需大量数据,直接利用物理方程进行训练。

创新点:
- 提出用高斯函数近似狄拉克δ函数,解决了PINNs在训练中的收敛难题。
- 有效预测了移动荷载下的结构变形和荷载大小,提升了计算效率。

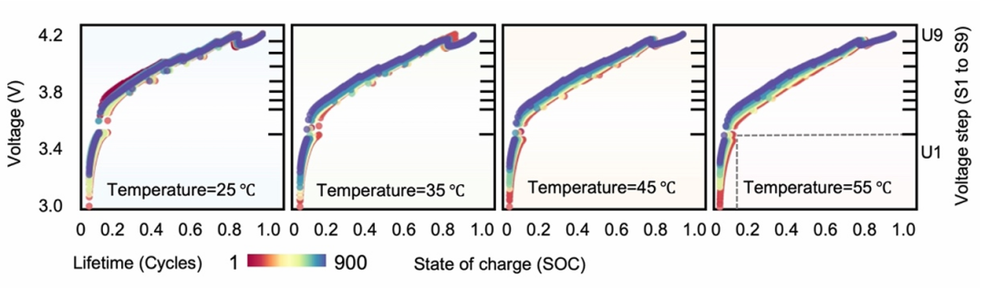
Non-destructive Degradation Pattern Decoupling for Ultra-early Battery Prototype Verification Using Physics-informed Machine Learning
方法:论文用物理信息机器学习(PIML)快速预测电池寿命,通过早期数据和初始制造变异性(IMVs),结合多步充电特征,实现不同温度下的电池寿命预测,方法非破坏性且高效。

创新点:
- 提出超早期电池验证方法,仅用4%的早期数据就能预测完整寿命轨迹,验证速度快25倍。
- 利用多步充电方案提取初始制造变异性(IMVs)作为特征,实现非破坏性监测。
- 设计基于Arrhenius方程的转移性指标,无需额外实验数据即可准确预测不同温度下的电池性能。
扫码添加小享,回复“物理机器”
免费获取全部论文+开源代码
Evaluation of GlassNet for physics-informed machine learning of glass stability and glass-forming ability
方法:论文利用物理信息机器学习方法,通过开源的 GlassNet 模型预测玻璃的特征温度,进而估算玻璃的稳定性和形成能力。但研究发现预测误差较大,需要更多数据来提高准确性。

创新点:
- 用开源 GlassNet 模型机器学习预测玻璃特征温度,助力估算玻璃稳定性和形成能力。
- GlassNet 预测单个特征温度不错,但组合预测玻璃稳定性时误差大,随机森林模型表现与之相近。
- 分析不同玻璃家族预测情况,发现玻璃稳定性预测误差与结晶峰温度预测误差有关,可据此改进模型。

Kolmogorov n-Widths for Multitask Physics-Informed Machine Learning (PIML) Methods: Towards Robust Metrics
方法:论文提出了一种新方法,用Kolmogorov n-宽度来分析和比较PIML模型在解决多任务偏微分方程问题时的表现。这种方法可以帮助评估模型在“最坏情况”下的泛化能力,并通过正则化提高模型的鲁棒性。

创新点:
- 提出用Kolmogorov n-宽度作新指标,衡量多任务PIML模型在未见任务上的泛化能力。
- 设计基于该宽度的正则化法,优化模型基函数,提升多任务PDE问题的鲁棒性。
- 实验证明此法对不同PIML架构和PDE问题有效,为模型比较和改进提供客观依据。

扫码添加小享,回复“
物理机器”
免费获取全部论文+开源代码
