Py学习  »  机器学习算法

煤地质|机器学习预测烃源岩

石油地质学 • 6 月前 • 171 次点击  


一、研究背景与目的

  • 问题:传统源岩评价依赖实验室分析(如Rock-Eval热解),存在成本高、耗时长、数据稀疏等问题。

  • 目标:利用机器学习(ML)和可解释人工智能(XAI)技术,基于测井数据预测源岩关键参数(TOC、Tmax、S1、S2),解决数据稀缺和成本高的问题,提升预测精度与透明度。


二、研究区域与地质背景


  • 研究区:坦桑尼亚东南部Mandawa盆地,发育侏罗纪-三叠纪地层。

  • 源岩特征

    • 主要源岩:Mbuo组和Nondwa组(上三叠统-下侏罗统)。

    • TOC:1-2.5 wt%(局部更高)。

    • Tmax:430-438°C(未成熟-成熟阶段)。

    • 干酪根类型:II型、II/III混合型、III型(生油/气潜力)。


三、数据与方法


3.1 数据来源

  • 样本:3口井(Mita Gamma、Mbate、Mbuo),共65个岩屑和18个岩心样品。

  • 数据类型

    • 测井数据:GR、RHOB、DT、LLD、NPHI、SP(0.15 m分辨率)。

    • 地球化学数据:TOC、S1、S2、Tmax(Rock-Eval 6分析)。

3.2 模型方法

  • 对比模型

  1. GMDH-DE(差分进化优化的数据分组处理法,创新方法)。

  2. GMDH(传统数据分组处理法)。

  3. RF(随机森林)。

  • XAI工具:SHAP(解释模型预测的关键变量)。

  • 3.3 技术流程

    1. 数据预处理:归一化(0-1范围)、3 m平均匹配岩屑深度。

    2. 特征选择:Pearson相关性分析(图6),筛选强相关测井参数。

    3. 训练/测试划分:70%训练集(56点),30%测试集(27点)。



    四、实验结果

    4.1 模型性能对比(R² & RMSE)


    参数
    GMDH-DE(训练/测试)
    GMDH(训练/测试)
    RF(训练/测试)
    TOC
    0.9932 / 0.9794
    0.9489 / 0.9486
    0.9212 / 0.9194
    Tmax
    0.9926 / 0.9802
    0.9559 / 0.9383
    0.9255 / 0.9173
    S1
    0.9918 / 0.9822
    0.9374 / 0.9349
    0.8886 / 0.8584
    S2
    0.9854 / 0.9708
    0.9683 / 0.9398
    0.9444 / 0.9082
    • 结论:GMDH-DE在所有参数上均显著优于其他模型,R²接近1,RMSE最低。

    4.2 源岩评价结果

    • TOC分布:82%样品TOC>1%(好-极好源岩)。

    • 生烃潜力:55%样品S1+S2>6 mg/g(好-极好)。

    • 干酪根类型:90%为II/III型和III型(油/气兼生),10%为I/II型(偏油)。

    • 成熟度:Tmax 419-463°C(未成熟-成熟阶段)。

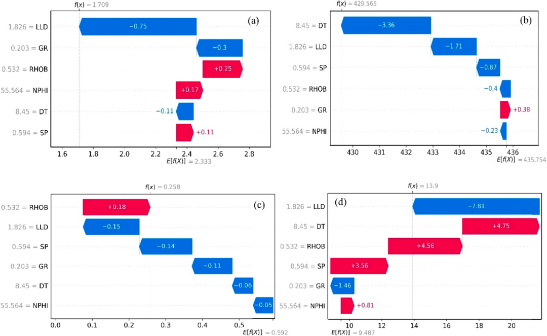
    4.3 SHAP可解释性分析

    • 关键变量

      • TOC/S1/S2:LLD(深电阻率)和RHOB(体积密度)影响最大。

      • Tmax:DT(声波时差)主导,其次为LLD和NPHI(中子孔隙度)。

    • 变量交互:RHOB和LLD对TOC/S2有正向贡献,DT对Tmax有负向影响(图21-22)。


    五、讨论与优势


    5.1 与前人研究对比

    • TOC预测:GMDH-DE(R²=0.9794)优于GBDT(0.92)、CNN(0.92)等方法。

    • Tmax预测:优于ANN(0.93)和SVM(0.90)。

    • S1/S2预测:显著优于SVM、LR等传统ML模型(R²<0.90)。

    5.2 技术优势

    • 数据效率:在稀疏数据下仍保持高精度。

    • 成本效益:减少岩心依赖,降低勘探成本。

    • 可解释性:SHAP揭示关键变量,增强模型可信度。

    5.3 应用潜力

    • 适用性:方法可推广至其他数据稀缺盆地。

    • 互补性:ML与传统地球化学方法结合,提升评价可靠性。



    六、结论

    1. GMDH-DE模型在TOC、Tmax、S1、S2预测中表现最优,R²>0.97,RMSE最低。

    2. Mandawa盆地具备混合生油/气潜力,源岩以II/III型干酪根为主,成熟度适中。

    3. LLD、RHOB、DT是核心测井参数,SHAP分析明确了其权重与交互机制。

    4. 研究意义:提供了一种低成本、高分辨率的源岩评价新范式,支持实时勘探决策。


    Python社区是高质量的Python/Django开发社区
    本文地址:http://www.python88.com/topic/186061