Py学习  »  机器学习算法

JAG最新成果|北京师范大学刘素红团队利用深度学习 + 去噪技术进行低纬度丘陵地区高分辨率(0.9米)梯田测绘

GEE遥感训练营 • 3 天前 • 12 次点击  

论文摘要



梯田建设是改善坡地生产力和防止土壤侵蚀的一项关键人为干预措施,特别是在降雨量大且集中的低纬度丘陵地区。然而,现有的梯田测绘方法在这些地区表现不佳。在本研究中,我们通过将深度学习与坡地面积阈值去噪相结合,生成了低纬度丘陵地区的首张高分辨率(0.9米)梯田分布图。以广东省为例,我们结合了谷歌地球影像、SRTM数字高程模型和全球10米土地覆盖数据。结果表明,在我们的广东梯田数据集上,最佳的0.9米分辨率实现了93.34%的总体精度(OA)、79.18%的F1分数和65.53%的交并比(IoU),在89分钟内处理了400平方公里,显示出优异的精度-速度权衡。统计分析表明,广东的梯田主要面积较小(平均4725平方米)且坡度较缓(8.85°)。省级验证证实了其卓越性能,生产者精度为80.38%。在空间上,梯田主要集中在内陆丘陵地区,特别是粤北地区,在珠江三角洲周边地区以及东西部地区也有其他集群。梯田覆盖面积最大的城市是清远(801.98平方公里)、肇庆(733.11平方公里)和韶关(701.53平方公里)。这个高精度数据集支持农业管理、土壤侵蚀风险评估、生态保护和乡村振兴,同时还为利用遥感影像绘制全球复杂景观中的地形特征提供了一个可转移的框架。

关键图表



图 1.梯田采样点。(a)采样点分布;(b)选定的实地位置及对应照片

图 2.梯田分析流程技术路线图。
图 3. 边界平滑处理。(a)25% 重叠率裁剪;(b)无缝融合的镶嵌拼接。
图 4.NLDF-Net 网络框架。

图 5.不同分辨率下的评估指标。

图 6. 广东省梯田面积与坡度的统计分布。(a)面积分布;(b)坡度分布。

图 7.不同梯田分布图产品在选定验证点的梯田检测结果可视化对比。

图 8.广东省梯田空间分布图。

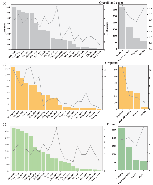
图 9.中国广东省梯田的量化分布。(a)各市及各区域梯田总面积;(b)各市及各区域耕地型梯田面积;(c)各市及各区域林地型梯田面积。

图 10.不同土地覆盖类型下的梯田分布。

版权声明

声明:本推文仅用于学习交流,不做其他任何目的。若有侵权,请联系微信号:GeeStudy_2020删除或修改!论文doi链接:https://doi.org/10.1016/j.jag.2026.105126点赞、收藏、关注!后台回复:GEE遥感训练营260202,免费获取原文。

更多阅读



RSE最新成果|南京农业大学程涛团队整合物候知识+双阶段 SAR 指数!实现10米分辨率单/双季水稻自动精准测绘

2026-02-01

2026寒假特训 | GEE(Python版本)深度学习与全球制图分析实战特训教学

2026-02-01

2026寒假培训 | Google  Earth Engine(GEE)遥感+AI大模型科研实战特训教学

2026-01-31

Python社区是高质量的Python/Django开发社区
本文地址:http://www.python88.com/topic/192531