Py学习  »  区块链

高喊去中心化的区块链世界,可能只是一座极度不平等的动物庄园

碳链价值 • 7 年前 • 557 次点击  


令我们难以置信的是,比特币的基尼系数高达0.96832,这放在人类历史任何一个社会中,都足以形成暴动。机制上的去中心化,最后形成的是财富分配上的极度中心化。我们如何能指望,比特币将成为未来世界通用的货币?


作者∕碳14、白鱼

编辑∕秦晋


在昨天碳链价值的推送中,末日博士Nouriel Roubini写道:“加密货币宇宙里的财富集中程度,比北朝鲜还要厉害。基尼系数1.0意为单独一个人控制了整个国家100%的收入/财富。北朝鲜是0.86,美国(西方世界中被视为相当不平等的国家)是0.41,比特币却达到了惊人的0.88。”


随后碳链价值追溯这些数据的来源,发现该数据来自于花旗分析师Steven Englander在2014年前撰文。Englander当时这样写道:


“在比特币的世界中,0.1%的人拥有50%的比特币,1%的人拥有80%的比特币。估计全球共有100万人持有比特币。其中最富的47个人拥有30%,另外900个人拥有20%,另外的1万人拥有25%,剩下的约100万人拥有20%,还有5%不知去向。”


时隔4年,区块链世界的不平等程度是否有所缓解?除了比特币外,其他加密货币的不平等程度又如何呢?


碳链价值试图依据每个地址的持有量做出测算。当然,由于存在各种偏差,这样的测算是非常粗浅,甚至令业内人士贻笑大方的。碳链价值期待业内更专业的人士进行计算,读者若有兴趣也欢迎与我们交流。欢迎指正!


基尼系数理论


在计算基尼系数之前,让我们来看看什么是基尼系数,以及它为什么重要。


根据百度百科定义,基尼系数是指国际上通用的、用以衡量一个国家或地区居民收入差距的常用指标。基尼系数介于0-1之间,基尼系数越大,表示不平等程度越高。


那么,我们应该如何计算基尼系数呢?


首先我们要知道什么是洛伦兹曲线。如果我们用横轴表示人口(按收入由低到高分组)的累积百分比,纵轴表示收入的累积百分比,样本点连成的弧线即为洛伦兹曲线。洛伦兹曲线描述了,在社会收入的金字塔中,底层样本可以占据社会的多少财富。


然后我们再来看看,如何根据这张图得出基尼系数。假设实际收入分配曲线和收入分配绝对平等曲线之间的面积为A(下图中灰色部分),实际收入分配曲线右下方的面积为B(下图中蓝色部分),并以A除以(A+B)的商表示不平等程度。这个数值就是我们所说的基尼系数。



如果A为零,基尼系数为零,表示收入分配完全平等;如果B为零则系数为1,收入分配绝对不平等。收入分配越是趋向平等,洛伦茨曲线的弧度越小,基尼系数也越小,反之,收入分配越是趋向不平等,洛伦茨曲线的弧度越大,那么基尼系数也越大。


让我们来计算BTC的基尼系数!


1.找到地址余额分布数据


要计算比特币的基尼系数,第一步自然是寻找数据样本。不过,考虑到比特币全网的地址数量达几千万个,这样的计算量实在不是我们这样的媒体人士所能处理的(当然也期待技术大牛们亲自爬取计算),因此我们退而求其次,选择了一些专业网站已经公布的数据计算。


来源:https://bitinfocharts.com/top-100-richest-bitcoin-addresses.html


如上图,我们选择了bitinfocharts网站的数据。该网站监督和记录着比特币全网交易的实时信息,并且给出了比特币在各个地址间的分布状态。


例如,根据该表描述,比特币全网49.39%的地址(超过一千万个)所拥有的比特币数量其实在0.001个以内。这一千万个地址的财富加起来也不过2300个比特币,占所有地址余额的比重仅为0.01328%。


如此以来,我们便得到一组数据:比特币网络中49.39%的地址所拥有的财富,仅占全网的0.01328%。显然,下图红框中正是我们做图所需要的数据。



2.计算百分比累积


现在,让我们把这两列数据放在一起。其实不用做图,我们也能发现比特币网络中,地址之间持有的比特币数量是高度不平等的。例如,96.7%的地址仅仅持有全网地址余额中不到4.2%的比特币。



不过,为了直观期间,还是让我们根据这些数据,画出比特币的洛伦兹曲线吧。


3.绘出散点图,拟合得到洛伦兹曲线


现在,我们得到比特币地址余额分布的的洛伦兹曲线了!(严格意义上,由于我们没有比特币地址和余额的全部样本,这并不能算作比特币的洛伦兹曲线,只能算是一个近似曲线。)



现在我们可以看到,比特币地址余额间的不平等程度确实相当高。曲线和横纵坐标轴围成的图形面积非常小,在整张图中只占据了右下角的小小一块儿。


当然,仅仅得到这条曲线仍然是不够的,现在我们需要做的是计算出曲线和横纵坐标轴围成的图形面积。于是我们根据已有的样本点得出样本的拟合函数,为



结果显示,该拟合函数的拟合优度R^2为0.8754,这说明拟合效果不错。(碳链价值注:R^2介于0~1之间,越接近1,回归拟合效果越好,一般认为超过0.8的模型拟合优度比较高。)


4.求解基尼系数


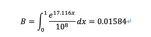
有了拟合函数,我们终于可以求解比特币地址余额的基尼系数了!


对于学过微积分的同学来说,求解过程并不困难,无非就是算一个定积分。我们可以计算得出,曲线和横纵坐标轴围成的图形面积B为0.01584。



还记得怎么计算基尼系数吗?“以A除以(A+B)的商表示不平等程度”!这是小学生都会的计算题。于是我们可以计算得出:


A+B=0.5

故 C=A/(A+B)=1-2B=0.96832


即比特币地址余额的基尼系数为0.96832。与花旗分析师Steven Englander四年前计算得出的0.88相比,这个数据又向前迈进了一步,比特币的财富分布变得更加中心化了。人类历史上恐怕没有哪个社会能有着如此悬殊的财富分配(放在现实社会简直是要暴动了)。


5.别忘了计算误差


然而我们不得不承认,我们只是做了一道不完美的高数题。——整个计算中充满着各种各样的计算误差。


首先,我们根本无法保证,每个持币者只拥有一个比特币地址。这无疑会引发两个问题。


据碳链价值所知,为了安全和不引人注目,不少比特币富豪会把自己手中的比特币拆分到几个不同的地址中。这将使得我们计算出来的值小于真实的比特币基尼系数(持币者-余额基尼系数)。


同时,比特币社区里的穷人也可能拥有多个比特币地址。有些地址可能就是被废弃掉的,或者根本无人使用的。将这样的样本纳入考量,将使得我们计算出来的值大于真实的比特币基尼系数(持币者-余额基尼系数)。


我们无从判断地址拆分带来的误差有多大。但我们能够确信的是,这种拆分应该不会跨越几个量级。例如,如果你手里有10000个比特币,你可能会拆成10个地址,一个地址中存1000个;却很少有人会拆分成100个地址,一个地址中存放100个;如果你手里只有1个比特币,你就更没有道理去拆分它了。因为这样非常不便于管理比特币资产,同时比特币网络的安全性也使得富豪们没有必要去做太过夸张的拆分。(至今还没听说哪个存放了十万比特币的地址被黑客攻击,盗走比特币。)


其次,我们没有剔除一些异常的地址。这里面最应该被考量到的,是交易所存放用户比特币资产的地址。这意味着数百万的小用户(持有较少比特币),他们的财产被汇聚到了一起,存在了一些数额庞大的地址中。


关于这一点将给计算值带来的偏差,我们倾向于认为是让比特币的基尼系数看起来更大了。但是,如何剔除这些异常的数据,这可能不是从技术方面就能解决的问题了。


此外还有一些死去的地址。碳链价值注意到,比特币网络中50%的地址拥有的比特币数量不到0.001个(少于44元人民币)。如果我们除去这部分数据,比特币的基尼系数将为0.93。虽然稍稍减少了一点,但比起正常的社会来说还是太大了。


再说一次,我们只是试图用比特币地址余额的基尼系数,来揣测比特币的持币者-余额基尼系数而已。


6.分析:比特币的不平等程度非常高


尽管笔者是去中心化概念的拥护者,也为比特币感到痴迷。但我不得不承认,比特币的不平等程度非常高,甚至是高到吓人。


联合国开发计划署等组织规定:

若低于0.2表示指数等级极低;

0.2-0.29表示指数等级低;

0.3-0.39表示指数等级中;

0.4-0.59表示指数等级高;

0.6以上表示指数等级极高。


一般发达国家(欧洲、加拿大,日本)的基尼指数在0.24到0.36之间;美国偏高,根据世界银行公布的数据,美国2016年的基尼系数仅为0.415。发展中国家的基尼系数要高一些,但高于0.6也是极少见的。例如,中国国家统计局公布,中国2016年基尼系数为0.465;世界银行数据显示,洪都拉斯2016年的基尼系数为0.50。


笔者也希望,之所以能计算出比特币的基尼系数高达0.96832,和样本误差脱不开干系,实际基尼系数并没有这么高。然而有一点我们不得不有所重视,那就是要成为比特币世界的富豪,实在比现实世界容易得多。


例如,只要趁比特币还在低价时大量买入,你就很容易在这个世界里占据大量份额。蔡文胜就趁熊市买入了1万个以上的比特币。你能想象在一个国家中,仅仅是熊市操作一波,就能取得全国2100万分之一的财富总量吗?(更不用说那些屯币上十万甚至上百万的大富翁们了!他们一个人就能占到比特币全网100分之一的财富总量!)


同时,比特币系统内根本就没有一个财政部,用于调节全网的财富分配。而在法币系统中,财政部和转移支付的存在,多少缓解了这种贫富差距,只是这种中心化的调节手段,恐怕也不会为那些去中心化主义者们所容。


让我们顺带看看其他币种的基尼系数


既然算完了比特币的基尼系数,那我们也不妨算算其他币种的基尼系数。说不定只是比特币网络的财富分配高度集中,其他币种要好一些呢?


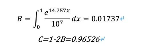
LTC:基尼系数与比特币类似


同样的,我们调用了bitinfocharts上关于莱特币的数据。计算方式与上面计算比特币基尼系数的过程完全相同。


 来源:https://bitinfocharts.com/top-100-richest-bitcoin-addresses.html



我们可以看到,LTC的函数拟合优度比BTC还要好


经计算可以得出,莱特币的基尼系数为0.96526,与比特币基本相同。



同样,如果我们剔除前面那些连0.1个莱特币都没有的地址(占莱特币全网地址数目大概50%),莱特币的基尼系数也为0.93。


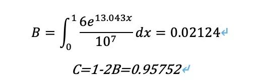
DASH:较比特币更加平等


以下是达世币的地址余额分布数据。达世币是一种注重保护隐私的币种,常常被用于黑市和暗网的交易中。


来源:https://bitinfocharts.com/top-100-richest-bitcoin-addresses.html



达世币的函数拟合优度也同样好于比特币


经计算得出,达世币的基尼系数为0.95752,略优于比特币。



如果剔除掉达世币中连0.01个都没有的地址(占达世币全网地址数量约30%),达世币的基尼系数约为0.94。


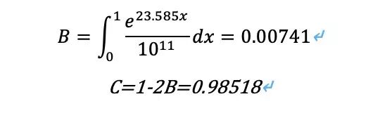
BCH:高度集中,基尼系数高达0.985


BCH是比特币的第一个分叉币,诞生于去年8月份。虽然BCH最开始诞生的时候也有自己的理想,但很不幸,经过我们的计算,最后发现BCH的基尼系数高于比特币,达0.98518。从图中也可以看到,BCH网络中,拥有该币数量达10万-100万的地址总共有7个;但无论是比特币、莱特币还是达世币网络中,这样的超级富豪地址都只有1个。


笔者认为,这些财富高度集中的地址可能与比特大陆、“澳洲中本聪”以及“比特币耶稣”有关。这些超级富豪的存在,对BCH整个生态都是很不利的。


来源:https://bitinfocharts.com/top-100-richest-bitcoin-addresses.html


 



如果剔除BCH网络中那些持币量不到0.001个的地址(占全网地址约60%),则BCH的基尼系数为0.963。


总结


在这样的数据面前,笔者多少是感到失落的。数字货币世界的不平等程度比我们想象中的还要大许多倍。需要注意的是,我们今天计算的还是使用POW币种的基尼系数,如果换成鼓励屯币的DPOS币种,那不平等程度岂不是更大?(想想EOS的21个超级节点,以及10%的EOS直接持有在block.one手中。)


这种骇人的不平等程度,是区块链体系中放任自流的自由主义思想形成的结果,还是什么别的原因导致的呢?同时,如果少部分人已经拿走了游戏中的大多数筹码,游戏将向什么方向发展呢?(基尼系数越大,庄家控盘越容易。只要这些巨头们随便卖掉一点点币种,都可以把这个币种的市场砸出一个窟窿。)


曾经还有人想象过,比特币日后作为未来网络世界的通用货币。但在比特币分布如此不均衡的情况下,我们究竟该用什么方式推广它,让它在全球范围内流动起来呢?同时,假使比特币未来真的成为了网络世界的通用货币,在如此不平等的生态环境中,我们甘心忍受大量资源被少数寡头们极度垄断的局面吗?


也许会有人说,这样的不平等程度是因为入场的人数太少而形成的。但事实可能刚好相反。2014年,比特币的基尼系数为0.88(测算方法类似,基于地址),而现在,比特币的基尼系数却上涨到了0.96(剔除死地址后的基尼系数为0.93)。入场的人数多了,但社区却越来越不平等了。这或许与庄家控制市场不断洗牌有关:入场的人越来越多,比特币的价格越来越高,但筹码却越来越被洗到少数人手里了。


作者为此感到不安。如果读者有类似的感受,或者有其他见解,欢迎在评论区交流。


END



小公告:

 

碳链价值官方微博账号“碳链价值-Tangent”正式上线了。

 

在那里,我们不但会同步微信公众号中深度文章,还会随时发布最前沿,最有价值,最热点的区块链讯息。


同时在微博上我们可以更灵活、更集中地沟通与互动,欢迎各种头脑风暴的来袭,欢迎各种意识观点的冲突,也欢迎各种余音绕梁的调侃,欢迎加入我们。

 

我们是碳链价值,我们专注于报道区块链,我们为高质内容代言。


长按识别二维码,关注碳链价值


今天看啥 - 高品质阅读平台
本文地址:http://www.jintiankansha.me/t/kTJlhppT3N
Python社区是高质量的Python/Django开发社区
本文地址:http://www.python88.com/topic/25486