Py学习  »  机器学习算法

Nat. Commun. | 使用机器学习预测欧洲城市的气候缓解绩效

气象学家 • 3 年前 • 406 次点击  

0

1

文章导读

近年来,随着研究人员和政策制定者越来越多地将城市管辖权视为其自身的强大政策参与者,城市在全球可持续发展政策议程中的地位日益突出。世界上有10000多个城市承诺采取各种形式的气候缓解、适应和融资行动,在许多情况下,这些城市参与了多项自愿跨国气候倡议。作为这些举措要求的一部分,根据国家政府的指示,或根据城市自身的意愿,城市阐述了应对气候变化缓解和适应的战略和政策,但频率较低。城市主要提出以温室气体减排目标为中心的缓解战略,通常通过以下政策实现:增加可持续交通的使用、提高公共和市政建筑的照明效率、采用能效标准、提高气候意识以鼓励公民行动,以及其他领域。

学者们认为,城市参与跨国气候治理“可以在一定条件下加快其遏制温室气体排放的行动”。支持这一说法的证据很少,因此很难准确预测什么条件会产生这种影响。跨国气候举措通常要求报告气候行动计划,并以排放清单的形式进行定期监测,以评估是否实现了缓解目标,但实际上只有一小部分国家以下行为者符合这些要求。Hsu等人发现,在9000多个签署了《欧盟气候与能源市长公约》(EUCoM)倡议的城市中,只有约15%的城市报告了任何排放数据,更少的城市(约11%)报告了基线排放清单和额外一年的清单排放数据,以跟踪自愿减排目标的进展。当排放数据可用时,由于数据点的可用性有限,基本方法普遍缺乏透明度,以及缺乏标准化的会计方法,这些数据往往无法比较。Ibrahim等人评估了七个不同城市规模的温室气体排放清单协议和方法,并得出结论,城市需要一个共同的报告标准或方法。必须解决各种标准定义的差异,例如,排放范围,特别是范围供应链排放,以便参与者的排放数据可以进行适当比较。

机器学习(ML)是一类通用的非参数、非线性统计建模方法和计算算法,通常应用于大规模数据集以模拟人类学习,机器学习的最新进展可以帮助我们克服这些棘手的排放数据挑战。在本研究中,我们采用ML驱动的方法来估计和评估2001年至2018年欧盟和英国几乎所有地方和市政行为者的缓解绩效。我们的方法开发了一个过程,用于识别参与EUCoM(最大的自愿跨国气候治理举措之一)的每个地方和市政府的空间边界和地理空间预测因子,然后将来自约6000个EUCoM城市的自报告碳排放清单数据用作极端梯度提升模型中的训练数据。据我们所知,我们得到的数据集是用于评估城市碳排放和缓解绩效的最全面的时间序列数据集。我们使用这些数据来评估三组欧洲城市的绩效:“报告”至少一年排放数据的城市;承诺采取自愿气候行动但未报告任何排放数据的“参与”城市;最后,代表非参与者的地方行政单位(LAU)的“外部”城市。

0

2

文章摘要

尽管城市已成为气候参与者,但排放数据的稀缺性一直是评估其绩效的主要挑战。在这里,我们开发了一种可扩展、可复制的机器学习方法,用于评估2001-2018年欧洲几乎所有地方行政区域的缓解绩效。通过将公开的、空间明确的环境和社会经济数据与来自欧洲城市的自报告排放数据相结合,我们预测了每年的二氧化碳排放量,以探索城市规模缓解绩效的趋势。我们发现,自2001年以来,参与跨国气候举措的欧洲城市很可能减少了排放量,略多于一半的城市可能实现了2020年的减排目标。报告排放数据的城市比未报告任何数据的城市更可能实现更大的减排。尽管存在局限性,我们的模型为理解城市级气候减排绩效提供了一个可复制、可扩展的起点。

0

3

研究结果

3.1 城市级气候排放预测指标

图1a显示了城市水平相关(即自我报告的“排放量”)和独立变量(即供暖天数、化石燃料CO2、人均GDP等)之间的相关性(r2=0.81),以及排放量和人口之间的关系(r2=0.89)。人口和固定化石燃料CO2排放量也高度相关(r2=0.79),证实了先前的研究,通过使用夜间灯光强度,这些数据与能源消耗、经济活动和化石燃料排放之间的关系。我们的分析没有显示自我报告的排放数据与人均GDP(r2=0.03)或与细颗粒空气污染(PM2.5;r2=0)之间的密切关系。我们确定,固定化石燃料CO2排放量和人口是城市自我报告排放数据的主要预测因素,对我们的排放模型的贡献或重要性最高(图1b)。图1b显示了我们考虑的前六个特性中每一个的重要性的增益值。增益值由每个属性分割提高模型性能的量决定,并由节点的观察数量加权。有关网格搜索过程和参数调整以确定最终模型的更多描述,请参见方法。

图1 | 欧洲城市排放预测。(a.显示城市气候排放各种预测因素之间关系的相关矩阵。b.各种预测变量对排放预测模型的重要性。)

我们预测了大约92636个城市或地方行政单位(LAU)的排放量,其中我们有基础空间数据。图2显示了与我们模型预测的排放数据相比,城市自我报告的排放数据的散点图。得出的r2=0.91表明,我们的模型对城市自报告排放清单的总体预测能力很强。我们进一步验证了我们的预测排放量与其他报告欧洲城市排放数据的研究,包括Moran等人,他们估计了超过10万个欧洲城市的2018年直接(范围1)排放量,Nangini等人,他们将自我报告的清单与343个全球城市的其他数据相结合。我们发现,我们的预测数据与这些其他研究之间存在良好的相关性(Moran等人15的r2=0.57;Nangini等人16的r2=0.62)。图2b还显示了各国自行报告的排放数据与预测的排放数据,这允许更仔细地检查我们的模型或预测数据中的潜在偏差。对于一些国家,如乌克兰,我们的模型表现不佳(r2=0.02),而对于某些特定城市,预测的排放量高于城市本身的报告。例如,我们的模型预测,年排放量几乎是里昂自报排放量的三倍。里昂是法国一个拥有445000人口的城市,对其中一个异常值进行进一步检查后,报告的排放量约为22000吨,换算成人均排放量<0.05吨,远低于全国平均每人5.4吨。

图2 | 预测排放量与自我报告排放量的比较。a.所有行为者的所有自我报告排放量清单(单位:log吨CO2)与预测排放量数据(单位:log吨CO2);b.在数据点超过1个的情况下,自我报告与预测排放量的国家层面

3.2 性能趋势

利用潜在预测因子的可用时间序列数据,我们生成了2001年至2018年数据可用的所有城市和地方行政单位的可能年排放范围。为了说明我们模型的输出,图3显示了三个不同人口规模的选定城市的时间序列:比利时的威姆斯(人口:8932)、西班牙的托洛萨(人口:17575)和英国的伦敦(人口:890万)。然后,对这些数据进行分析,以了解2001年至2018年期间参与EUCoM报告排放数据的城市(报告城市)、未报告的城市(参与城市)以及欧洲所有LAU(外部城市)的年人均减排趋势。

图3 | 三个不同人口规模城市的预测、自我报告排放量和主要预测变量。比利时的威姆斯、西班牙的托洛萨和英国的伦敦被选为不同人口的城市

总体而言,我们发现,与外部城市相比,EUCoM城市在2001年至2018年(−0.96±1.88%)和2005年至2018年间(−0.53±3.3%)的平均年人均排放量可能有所减少,而外部城市的平均年排放量可能没有太大变化(2001年至18年为0.18±2.5%,2005年至18年间为0.18±3.2%;表1)。尽管74%的EUCoM城市可能减少了排放,但只有53%的外部城市可能出现了排放减少的负面趋势。我们谨慎地解释EUCoM城市和外部LAU之间的排放趋势差异,但注意到EUCoM(报告城市的居民为32720±181348人;参与城市为35318±171人)与外部LAU的人口差异最为显著,平均而言,这些居民数量要小得多(4433±16870名居民)。描述我们分析中三组城市的描述性统计数据和分布表明,EUCoM城市往往具有更大的静态化石燃料二氧化碳排放量,人口和人口密度比外部城市更大,这可以解释其排放趋势的差异,因为人均GDP水平较高的大城市已被证明有更宏伟的气候计划。

表1 | 不同比较组之间的年人均减排趋势差异

在EUCoM城市中,我们发现,与未报告基线或监测排放清单的参与城市相比,自行报告排放清单数据的城市(EUCoM的75%)可能实现了更大的平均排放量减少(2001年至2018年期间,−1.3±1.7 vs.0.2±1.9年人均排放量减少;表1)。这些结果表明,参与EUCoM的城市很可能取得了与外部城市相同的缓解绩效。与减排目标相对较低的城市相比,承诺了相对更为雄心勃勃的减排目标(2001年至2018年为−1.4±1.7,而非−0.6±.20;表1)的EUCoM城市可能实现了更大的年化人均减排目标,超过了欧盟2020年的减排目标,即从1990年的水平减少20%。最后,为实现2020年减排目标(EUCoM城市的52%),可能在轨道上(例如,根据要求的排放量充分减少排放量,以达到其宣布的2020年减排指标,详见方法)的EUCoM城市可能经历了最大的减排(2001-2008年为-1.8±2.5,而不是0.5±1.6;表1)。未步入正轨的EUCoM城市(占EUCoM的48%)的年人均排放量可能略有增长。

表2 | 中断时间序列分析结果

虽然我们缺乏足够的控制和数据来因果隔离EUCoM的参与是否导致了这些排放缓解趋势,但中断的时间序列(ITS)分析模拟了政策干预或计划在实施后是否可能导致结果变量的可测量变化,可以说明EUCoM城市的减排是否主要发生在他们加入该倡议后,考虑到人口密度、人均GDP等方面的差异。我们发现,一个城市加入EUCoM倡议后,每年人均排放量都会发生轻微的−0.164(标准误差,或se:0.039)年百分比变化(图4)。ITS回归进一步证实了我们在城市群之间的比较(表1),表明了排放清单的重要性(p<0.01),其中报告城市的人均排放量可能实现了−1.24(se:0.396)年百分比变化(表2)。2020年减排目标的水平虽然略有显著(p<0.05),但似乎对人均排放量的年度百分比变化没有太大的额外影响(表2)。

图4 | 参加《欧盟气候与能源市长公约》的影响

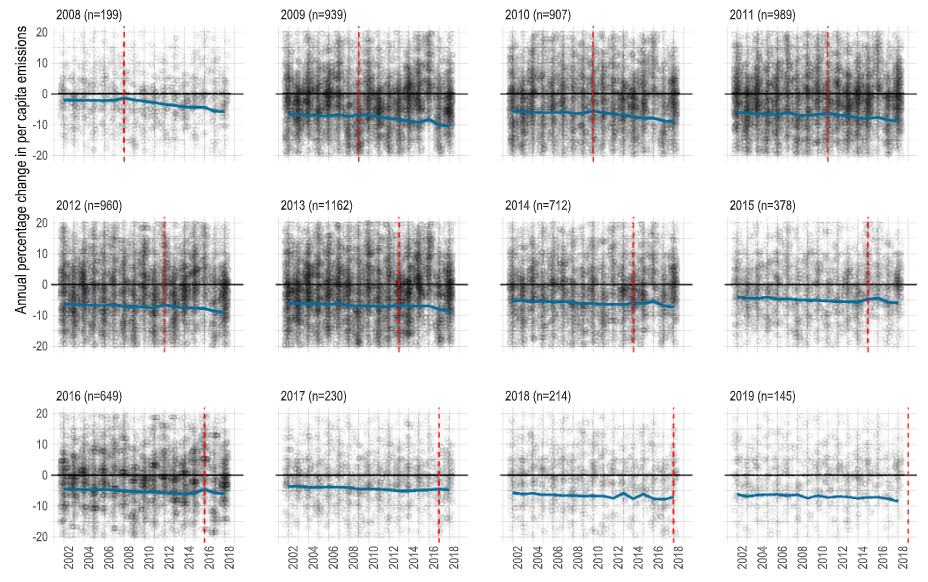
我们观察到各国的表现差异。图5和图6按国家比较了参与EUCoM城市与所有其他LAU的绩效。在一些国家,EUCoM城市,如瑞典和丹麦的城市,平均而言,人均年减少趋势高于外部城市。在其他国家,如荷兰和英国,EUCoM城市与其他城市相比表现不佳(图4),通过比较两组城市的年人均减排分布可以证明这一点。这一结果可能反映了一个事实,即丹麦和英国的国家政府要求市政当局制定当地气候行动计划,这表明这些国家的外部城市可能正在减少排放,以满足国家法规和要求。大多数EUCoM城市所在的意大利和西班牙,这两个群体的表现似乎相对可比(意大利=64%;西班牙=50%)。在城市比例最高的国家中,斯堪的纳维亚国家领先(丹麦占80%,芬兰占53%,挪威占70%)。西班牙也以68%的城市在轨道上运行而自豪。城市表现相似的国家更接近补充图8中的对角线,这表明EUCoM和外部城市的平均年人均减排趋势相似。对角线上方的国家是EUCoM城市比非EUCoM国家实现了更大的年人均排放量减少的国家,包括芬兰、斯洛伐克、法国、德国、意大利等国家。

图5 | 欧洲城市排放趋势图

图6 | 比较城市群之间的减排情况

0

4

讨论

尽管在过去十年中,城市气候治理学者人数显著增加,但在理解跨国气候举措的成果方面仍存在差距,特别是在小城市,而且是在系统基础上。这种差距的一部分是由于数据的可用性和可比性,这限制了研究人员追踪跨国城市气候治理举措的过程和机构之间的因果影响或联系的能力,从而得出结果。为了解决这一缺点,这项研究开发了一个基于机器学习(ML)的框架,以预测2001年至2018年每年超过90000个欧洲城市的排放量,以检查可能的缓解绩效趋势。通过利用全球网格化的、空间明确的预测变量,这些预测变量是一致和规则地测量的,以及可用的自报告排放清单,我们基于ML的模型能够解释来自记录EUCoM城市的自报告的排放清单数据与预测排放值之间90%的差异(r2=0.90),通过与其他研究的比较,验证了这一点。我们的模型并非没有局限性(参见局限性),它为理解城市级气候减排绩效提供了一个可复制、可扩展的起点。它还提供了一种评估和验证城市自我报告排放量的方法。由于一些城市可能会错误地报告清单或选择选择性地报告排放源,我们的方法可以帮助发现异常值或潜在的报告问题。

虽然我们的研究没有涉及预测排放趋势的因果机制,也没有说明是否存在内生条件可以解释为什么EUCoM城市的平均年人均减排量略高于其外部非EUCoM对应城市,但它确实提出了一些与城市气候治理和跨国气候举措相关的见解。首先,由于排放清单和监测协议被认为是有效的地方政府气候缓解计划的标志,监测和报告排放的能力可能是能力和成就的指标。我们测量了报告城市和未报告任何排放数据的参与城市之间的年人均减排量的显著差异,与报告城市相比,这些城市的排放轨迹可能更接近欧盟外部城市。第二,虽然将排放趋势作为一个结果变量进行评估并不能提供“努力的衡量标准”,也不能描述导致特定结果的无数投入和因素,但监测和报告排放清单表明了一种“执行手段”,可用于评估一个实体在气候缓解等政策成果方面的进展。这些关于监测与绩效之间联系的研究结果有助于推动国家以下气候缓解的改善,这表明监测投资可能是成功的一个预测因素。Rivas等人发现,当地方当局为气候计划的实施提供财政支持时,排放监测的可能性要高出2.24倍。

描述缓解结果的数据可以识别“成功实施的一般条件”,并对导致排放减少的因果路径进行逆向工程。我们的数据集和可复制、可扩展的ML框架随后可以为解开哪些具体措施(或根本没有)导致了观测到的减排提供第一步。由于我们仅限于城市人口、GDP、空气污染和化石燃料CO2排放的数据,我们的分析无法解释可能进一步阐明排放结果差异的其他潜在结构性差异(例如,治理机构的变化等),因为气候变化行动和政策“与其他政策议程紧密相连”。此外,基于我们使用的有限的、可用的预测指标,我们的模型产生了城市可能经历的许多可能的排放途径之一。

0

5

未来工作

由于国家以下一级的自我报告排放清单数据的可用性主要局限于欧洲,未来的研究必须扩大对可填补这一空白的相关数据集和代理的搜索,特别是对全球南部的能力和资源受限实体。这些国家的行为体在产生排放方面面临着限制(例如,专业知识、相关政府机构在编制清单方面缺乏明确指定的角色、文件和档案系统不足)和技术问题(例如,活动数据不完整或不存在,或缺乏发展中国家的实验数据或技术特定排放因素)清单。我们的下一步是将我们的方法扩展到欧洲以外的一组国家以下管辖区,为参与跨国气候举措的城市生成一个全球数据集,如Hsu等人的1个数据集所记录的那样,该数据集包含10000多个城市和地区政府。我们发现了令人信服的证据,即大规模的地理空间数据集可以用于估计城市层面的二氧化碳排放量,即使是对EUCoM中大多数参与者的小城市参与者来说也是如此,尽管更多的数据和扩大的范围可以更好地对模型在欧洲以外的适用性进行压力测试。我们的方法弥补了这些全球可用的遥感衍生地理空间数据集与城市规模行为者之间的差距,Pan等人在化石燃料CO2数据集(如ODIAC清单)中指出,ODIAC主要基于光输出强度的卫星测量在空间上分布国家化石燃料CO2排放量,这可能不能正确地将排放归因于国家以下行为者。最后,需要进行更多的研究,深入评估不同城市群体为实现减排而采取的缓解政策和缓解结果,以指导城市规划和未来气候政策的制定。

0

6

原文信息

原文题目:

Predicting European cities’ climate mitigation performance using machine learning

原文作者:

Hsu et al.

期刊名:

Nature Communications

发表时间:

2022.12

原文链接:

https://www.nature.com/articles/s41467-022-35108-5

    编       辑:张孟斐

    审       核:郭纳良

    指导老师:吴   锋

来源:发展地理学








声明:欢迎转载、转发本号原创内容,可留言区留言或者后台联系小编(微信:gavin7675)进行授权。气象学家公众号转载信息旨在传播交流,其内容由作者负责,不代表本号观点。文中部分图片来源于网络,如涉及作品内容、版权和其他问题,请后台联系小编处理。

   欢迎加入气象学家交流群   

请备注:姓名/昵称-单位/学校-研究方向



往期推荐

 ERA5-Land陆面高分辨率再分析数据(32TB)

★ NASA最新版本CMIP6降尺度数据集30TB

★ ERA5常用变量再分析数据(26TB)

 EC数据商店推出Python在线处理工具箱

★ EC打造实用气象Python工具Metview

 TRMM 3B42降水数据(Daily/3h)

 科研数据免费共享: GPM卫星降水数据

 气象圈子有人就有江湖,不要德不配位!

 请某气象公众号不要 “以小人之心,度君子之腹”!

★ 机器学习简介及在短临天气预警中的应用

★ AMS推荐|气象学家-海洋学家的Python教程

★ Nature-地球系统科学领域的深度学习及理解

★ 采用神经网络与深度学习来预报降水、温度

Python社区是高质量的Python/Django开发社区
本文地址:http://www.python88.com/topic/151029