Py学习  »  机器学习算法

中国环科院吴丰昌院士团队马瑾课题组JHM:基于垂直土壤细菌群落结合机器学习实现生态指示新方法——以中国南方污染场地为例

环境人Environmentor • 3 月前 • 203 次点击  
图片
第一作者:陈颖
通讯作者:马瑾
通讯单位:中国环境科学研究院
论文DOI: 10.1016/j.jhazmat.2025.138483
图文摘要
图片
成果简介
近日,中国环境科学研究院吴丰昌院士团队马瑾课题组联合海南省环境科学研究院在环境领域著名学术期刊Journal of Hazardous Materials上发表了题为“A novel method for achieving ecological indicator based on vertical soil bacterial communities coupled with machine learning: A case study of a typical tropical site in China”的研究论文。本研究在解析重金属污染场地土壤细菌群落垂直结构的基础上,结合机器学习模型,建立了基于细菌指标的重金属生态阈值评估新方法,为重金属生态安全土壤标准的制定提供了科学依据。
全文速览
全球工业化导致土壤重金属污染严重,已成为土壤健康的重大威胁。细菌对土壤变化状况反应灵敏,是评价土壤健康的关键指示因子。然而,土壤中深度分解的细菌群落对重金属污染的响应尚不明确。基于此,本文从某重金属污染场地采集了不同深度的土壤样本,通过高通量测序技术确定了土壤细菌群落垂直结构的差异,同时结合机器学习模型评估了重金属的生态影响及阈值。研究发现,土壤重金属含量沿深度显著降低,上层土壤细菌群落表现出更高的多样性以及更加复杂稳定的生态网络结构。随着深度增加,生态网络中负相互作用的比例逐渐升高,细菌种间竞争行为更加激烈。将指示物种输入随机森林模型,采用广义加性模型拟合SHAP算法特征值,阈值分析表明砷和铜对生态系统产生非线性影响。其中铜表现出低阈值效应,其生态危害在浓度极低时就会显现。研究结果凸显了微生物监测在评估重金属对土壤健康不利影响方面的作用,为环境管理和生态恢复提供了支持。
引言
重金属污染已成为土壤污染的突出问题,严重影响了土壤生态环境和功能的稳定。细菌作为土壤的重要组成部分,是评价土壤重金属污染生态影响的有效指标。工业活动过程中释放的重金属不可避免地影响了垂直土壤细菌多样性及其生态功能。然而,研究通常集中在表层土壤,重金属污染对底土细菌群的影响尚未得到很好的描述,限制了我们土壤细菌群落的全面了解。
目前,基于建设用地的土壤环境质量标准GB36600—2018侧重于人类健康保护,缺乏土壤生态风险的相关规定。因此,迫切需要明确污染物的生态阈值水平,为进一步的生态风险评估提供依据。机器学习提供了处理高维和包含复杂交互作用数据的算法,不仅可以识别影响野外实际土壤污染生态效应的环境主控因子,还能够用来解析污染物在环境中分布的时空变化,被广泛应用于环境污染物风险研究领域中。然而,由于真实土壤环境的高空间异质性和不可控干扰,机器学习模型的生物学机制解释率往往很低。因此,将生态学模型和机器学习模型结合,构建细菌指示的土壤污染生态阈值推导框架,能够提高模型的复杂模式识别能力与生物学机制解释力,为精准生态修复奠定方法论基础。
图文导读
图片
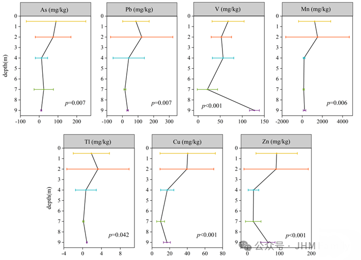
图1. 土壤重金属的垂直分布(平均值±标准差)。
土壤重金属分布具有较强的空间异质性。随着土壤深度的增加,重金属含量逐渐减少。深度1(0-50cm)土壤主要受砷和铊污染,深度2(50-200cm)土壤主要受砷、锰和铊的污染。深度1和深度2污染情况类似,都以砷污染最严重。深度3(200-400cm)和深度4(400-700cm)则只存在一定程度的砷污染,而底层土壤(700-900cm)仍然存在低浓度的重金属。
图片
图2. 土壤细菌群落的垂直分布。a.土壤剖面中共享OTU的UpSet图。垂直条形图显示了每组土壤中的OTU总数。水平条形图显示了一组或多组土壤中的共享OTU数量。b.每组土壤细菌在门水平的分布。c.不同深度土壤细菌在门水平的差异物种(***: p < 0.001)。
图片
图3 不同深度土壤细菌群落的Shannon指数(a)和Pielou指数(b)。c.PCoA图显示了土壤剖面的细菌群落结构。图中显示了ANOSIM检验组间相似性。d.不同深度土壤细菌群落的嵌套组分和更替组分。
如图2所示,深度1和深度2的OTU数目最多,随着深度增加,土壤中OTU总数迅速减少。表层土壤拥有最多的特有OTU,特有OTU数目沿剖面同样逐渐减少,污染状况更相近的深度1和深度2共享了更多的OTU。深度1、深度2和深度3的优势物种一致,分别为变形菌门、厚壁菌门和放线菌门。而在深度4和深度5,变形菌门则占据了绝对的优势地位。同时,深度显著改变了土壤中一些类群的相对丰度。图3a, b显示表层土壤细菌群落多样性最高,随着深度压力的增强,群落多样性逐渐降低,同时物种分布愈发不均匀。群落生态位宽度表现出一致的趋势,群落所能利用的资源随深度增加逐渐减少。PCoA图显示,不同深度土壤细菌群落空间差异显著。随着土壤深度增加,更替组分占比越来越高。说明物种丰富度主导了表层土壤细菌群落的空间变异,而随着深度增加,物种更替发挥了更重要的作用。
图片
图4. 不同深度土壤细菌共现网络。节点之间的边(连接)表示两个节点之间存在明显的强相关性。每个节点的大小与连接数成正比。节点根据门类群(a)和模块(b)着色。
网络分析表明,随着土层深度增加,细菌群落生态网络复杂性和稳定性降低。物种共生模式在上层土壤中展示出更高的正相互作用,物种之间密切合作,网络结构复杂稳定。然而,深层土壤物种之间的负相互作用逐渐增强,网络结构简单且不稳健,暗示了细菌类群之间可能存在更多的潜在竞争。此外,网络的模块化程度随着深度的增加而减少,意味着深层土壤细菌共享相似的生态位,从而导致更强的物种竞争和低下的资源利用效率。重要的是,网络稳定性指标和复杂性参数具有高度相关性,这表明网络的稳定性可能与它们对网络复杂性的直接或潜在的相互作用有关。
图片
图5. 各深度土壤(a、b、c、d、e)和污染场地土壤(f)的环境参数与细菌群落的Mantel检验。颜色梯度代表环境参数之间的Spearman相关值。连接宽度与Mantel相关系数对应,连接颜色表示统计显著性。
Mantel检验表明深度1细菌群落与环境因子的相关性最高,尤其是重金属砷和pH值。在深度2和深度3,环境因子与细菌群落的相关性逐渐减弱。但是砷对深度2细菌群落仍然具有关键影响。随着深度增加,深度3细菌群落越来越受到土壤质地的影响。然而,在深度4和深度5,环境因子与细菌群落已经没有显著相关关系。同时,从整个场地来看,土壤深度和pH值是影响细菌群落的重要环境变量,砷和铜是影响细菌群落的关键重金属。
图片
图6. 机器学习模型识别出的砷和铜的生态影响及阈值。
基于上述结果,利用机器学习进一步研究了重金属砷和铜对生态系统的非线性影响模式及阈值。当土壤砷浓度低于21.06 mg/kg时,对指示物种丰度产生负面影响,而超过这一阈值时,对指示物种丰度产生正向影响。同样,Cu浓度的变化也表现出类似的阈值效应。当Cu的浓度低于6.97 mg/kg时,对指示物种丰度有负面影响,但随着Cu浓度的增加,开始对指示物种产生正向影响但逐渐减弱,直到浓度超过22.6 mg/kg时,又会对指示物种产生负向影响。与现行的以人体健康为导向的土壤环境质量标准(GB36600—2018)相比,砷的生态阈值略高于筛选值(20 mg/kg),可能意味着在某些环境条件下,尽管环境中砷的浓度较高,但对生态系统的影响尚在可接受范围内,而对人体健康的影响则需要更加严格的控制。相反,铜的生态阈值远低于筛选值(1800 mg/kg)。这表明尽管土壤中铜的浓度在标准允许的范围内,但其对土壤生态系统的影响可能在更低的浓度下就开始显现。因此,在环境管理中要综合考虑生态保护和人类健康的需求,制定相应的管理措施,以实现可持续发展。
小结
本研究揭示了在重金属污染下不同深度土壤细菌群落结构及生态网络的差异。土壤中重金属浓度和养分含量从表层到底土显著降低,在这个过程中,重金属胁迫使耐性物种获得生存优势。同时,土壤细菌群落更倾向相互合作去抵抗重金属胁迫,但是会竞争性的获取土壤养分。此外,重金属刺激了网络复杂性的动态响应,这可能导致了更高的群落稳定性。土壤细菌对重金属的高度敏感性说明其是指示重金属生态效应的理想物种。最后,建立了细菌指示的评估重金属生态阈值推导方法,发现极低浓度的铜就足以对生态系统产生影响,具有低阈值效应。因此,相比人体健康风险,更应该重视铜的生态风险。基于该方法推导出的重金属阈值对于未来建立生态安全的土壤环境标准具有重要的参考价值。
作者介绍
图片
第一作者:陈颖,中国环境科学研究院,硕士研究生,研究方向为环境微生物,以第一作者在Science of The Total Environment和Journal of Hazardous Materials发表论文2篇。
联系方式:chenyingg_cn@qq.com

通讯作者:马瑾,博士,研究员,博士生导师,入选国家“万人计划”科技创新领军人才,环境基准标准与风险管控全国重点实验室PI,国家重点研发计划首席科学家,国家生态环境基准专家委员会委员,中国环境科学学会地球环境系统科学观测专业委员会副主任委员。主要从事土壤环境基准和土壤环境地球化学研究,连续主持“十三五”“十四五”国家重点研发计划项目两项,以及国家自然科学基金面上项目、专项项目等国家级科研项目。以第一/通讯作者在Environmental Science & Technology、Journal of Hazardous Materials、《中国科学:地球科学》、等国内外期刊发表论文170余篇,主编专著两部(科学出版社),授权专利20余项,获2022年度环境保护科学技术二等奖(1/9),2024年度环境保护科学技术奖科技创新团体奖(2/15)。
图片
JHM家族期刊包括Journal of Hazardous Materials (JHM),Journal of Hazardous Materials Letters (JHM Letters), 和Journal of Hazardous Materials Advances (JHMA)。三本期刊拥有相同的scope,侧重在环境危险物质的迁移,影响,检测,和去除。旗舰期刊JHM发表高水平科研和综述文章,JHM Letters完全开放获取,发表Letter-type科研和前沿综述文章(3000字限制,4副图/表),JHMA定位为中档开放获取期刊。

图片

来源:JHM Family投稿、合作、转载、进群,请添加小编微信Environmentor2020!环境人Environmentor是环境领 最大的学术公号,拥有20W+活跃读者。由于微信修改了推送规则,请大家将环境人Environmentor加为星标,或每次看完后点击页面下端的“在看”,这样可以第一时间收到我们每日的推文!环境人Environmentor现有综合群、期刊投稿群、基金申请群、留学申请群、各研究领域群等共20余个,欢迎大家加小编微信Environmentor2020,我们会尽快拉您进入对应的群。


图片

往期推荐

年度热点文章Top10(2024年)
中科大俞汉青院士、陈洁洁教授、华中科大黄明杰Nat. Commun.:精准定制高价金属氧化物的d带中心实现污染物完全聚合去除
香港城市大学袁志国院士、新南威尔士大学郑敏Nature Sustainability综述:污水资源化前沿路径
Nature:全球塑料垃圾中的“潜行者”
中国科学院生态环境研究中心俞文正课题组Nature Water:三价金属混凝去除天然有机物的分子尺度理论
清华大学曲久辉院士团队刘锐平、中国科学技术大学陈洁洁Angew:纳米-生物杂合体界面间电子定向转移实现硝酸盐选择性转化
浙江大学环境纳米技术研究团队Nature Water:晶格工程实现纳米零价铁的高效选择性还原反应
山大刘建、港理工金灵等ES&T封面:联合提出“微塑料组”呼吁以整体视角研究微塑料以捕获其在真实世界中的生态与健康影响
哈工大(深圳)任南琪院士团队陈以頔、阿德莱德大学段晓光ES&T补充封面:聚焦微污染物聚合转化研究
大连理工陈景文团队、哈工大姜杰团队、宾大Joseph S. Francisco教授JACS:全多氟烷基化合物在微液滴表面自发降解
ESE专栏 | 《中国碳中和与清洁空气协同路径年度报告》工作组:2022年中国碳中和与清洁空气协同路径报告——提速重点部门转型
学术招聘
美国范德堡大学环境工程研究生项目招生 (博士硕士)
加州大学河滨分校化学与环境工程系门玉洁课题组招收博士生(或博士后)
香港城市大学能源与环境学院Dr. Sam H. Y. HSU课题组招聘博士
美国圣母大学环境分子与合成生物学实验室拟招收2名全奖博士生
瑞典斯德哥尔摩大学和瑞士Eawag联合招聘全奖博士生(环境方向)
北京大学环境科学与工程学院赵华章教授团队招聘博士
学术资讯
耶鲁大学Julie B. Zimmerman教授出任ES&T主编
贝勒大学Bryan W. Brooks教授出任ES&T Letters主编
韩国科学院院士Wonyong Choi将出任ACS ES&T Engineering创刊主编
CEJ Advances创刊 | 潘丙才教授任主编,四位华人学者任副主编
ACS对话 | ACS ES&T Engineering创刊副主编马军院士
专访:Environmental Science & Ecotechnology 主编团队

图片

图片
图片

扫描二维码,快速入群~

Python社区是高质量的Python/Django开发社区
本文地址:http://www.python88.com/topic/183516