社区所有版块导航
Python
python开源   Django   Python   DjangoApp   pycharm  
DATA
docker   Elasticsearch  
aigc
aigc   chatgpt  
WEB开发
linux   MongoDB   Redis   DATABASE   NGINX   其他Web框架   web工具   zookeeper   tornado   NoSql   Bootstrap   js   peewee   Git   bottle   IE   MQ   Jquery  
机器学习
机器学习算法  
Python88.com
反馈   公告   社区推广  
产品
短视频  
印度
印度  
Py学习  »  机器学习算法

深度学习优化算法:从SGD到AdamW原理和代码解读

机器学习研究组订阅 • 4 年前 • 433 次点击  
作者丨科技猛兽  
 

本文从源代码的角度理解深度学习各种优化器 (从SGD到AdamW) 的思路并对各种优化器使用统一的框架做一次整理。 

本文思想来自下面这篇大佬的文章:

Juliuszh:一个框架看懂优化算法之异同 SGD/AdaGrad/Adam

https://zhuanlan.zhihu.com/p/32230623

主要是对深度学习各种优化器 (从SGD到AdamW) 使用统一的框架做一次整理,本文相比于链接从源代码的角度理解这些优化器的思路。

代码来自 PyTorch1.7.0 官方教程:

https://pytorch.org/docs/1.7.0/optim.html

首先我们来回顾一下各类优化算法。

深度学习优化算法经历了 SGD -> SGDM -> NAG ->AdaGrad -> AdaDelta -> Adam -> Nadam -> AdamW 这样的发展历程。Google一下就可以看到很多的教程文章,详细告诉你这些算法是如何一步一步演变而来的。在这里,我们换一个思路,用一个框架来梳理所有的优化算法,做一个更加高屋建瓴的对比。

  • 统一框架:

首先定义:待优化参数: ,目标函数: ,初始学习率 

而后,开始进行迭代优化。在每个epoch  :

1 计算目标函数关于当前参数的梯度:

2 根据历史梯度计算一阶动量和二阶动量:

3 计算当前时刻的下降梯度:

4 根据下降梯度进行更新:

掌握了这个框架,你可以轻轻松松设计自己的优化算法。

我们拿着这个框架,来照一照各种玄乎其玄的优化算法的真身。步骤3, 4对于各个算法都是一致的,主要的差别就体现在1和2上,也就是计算一阶动量  和二阶动量  时采用不同的套路。当计算好二者之后,都是使用固定的学习率  与二者作用得到当前时刻的下降梯度  ,进而最后更新参数。

在所有优化器的代码里面有一些函数的作用是相通的:

共性的方法有:

  • add_param_group(param_group):把参数放进优化器中,这在 Fine-tune 预训练网络时很有用,因为可以使冻结层可训练并随着训练的进行添加到优化器中。
  • load_state_dict(state_dict):把优化器的状态加载进去。
  • state_dict():返回优化器的状态,以dict的形式返回。
  • step(closure=None):优化一步参数。
  • zero_grad(set_to_none=False):把所有的梯度值设为0。

使用方法:

for input, target in dataset:
def closure():
optimizer.zero_grad()
output = model(input)
loss = loss_fn(output, target)
loss.backward()
return loss
optimizer.step(closure)

下面正式开始。

SGD

先来看SGD。SGD没有动量的概念,也就是说:

代入步骤3,可以看到下降梯度就是最简单的

SGD最大的缺点是下降速度慢,而且可能会在沟壑的两边持续震荡,停留在一个局部最优点。

SGD with Momentum

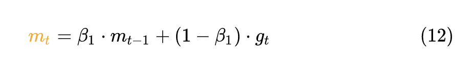
为了抑制SGD的震荡,SGDM认为梯度下降过程可以加入惯性。下坡的时候,如果发现是陡坡,那就利用惯性跑的快一些。SGDM全称是SGD with momentum,在SGD基础上引入了一阶动量:

一阶动量是各个时刻梯度方向的指数移动平均值,约等于最近  个时刻的梯度向量和的平均值。

也就是说,  时刻的下降方向,不仅由当前点的梯度方向决定,而且由此前累积的下降方向决定。 的经验值为0.9,这就意味着下降方向主要是此前累积的下降方向,并略微偏向当前时刻的下降方向。想象高速公路上汽车转弯,在高速向前的同时略微偏向,急转弯可是要出事的。

SGD with Nesterov Acceleration

SGD 还有一个问题是困在局部最优的沟壑里面震荡。想象一下你走到一个盆地,四周都是略高的小山,你觉得没有下坡的方向,那就只能待在这里了。可是如果你爬上高地,就会发现外面的世界还很广阔。因此,我们不能停留在当前位置去观察未来的方向,而要向前一步、多看一步、看远一些。

NAG全称Nesterov Accelerated Gradient,是在SGD、SGD-M的基础上的进一步改进,改进点在于步骤1。我们知道在时刻  的主要下降方向是由累积动量决定的,自己的梯度方向说了也不算,那与其看当前梯度方向,不如先看看如果跟着累积动量走了一步,那个时候再怎么走。因此,NAG在步骤1,不计算当前位置的梯度方向,而是计算如果按照累积动量走了一步,那个时候的下降方向:

然后用下一个点的梯度方向,与历史累积动量相结合,计算步骤2中当前时刻的累积动量。

定义优化器:

CLASS torch.optim.SGD(params, lr=, momentum=0, dampening=0, weight_decay=0, nesterov=False)

参数:

  • params (iterable) – 优化器作用的模型参数。
  • lr (float) – learning rate,相当于是统一框架中的  。
  • momentum (float, optional) – 动量参数。(默认值:0)
  • weight_decay (float, optional) – 权重衰减系数 weight decay (L2 penalty) (默认值:0)
  • dampening (float, optional) – dampening for momentum (默认值:0)
  • nesterov (bool, optional) – 允许 Nesterov momentum (默认值:False)
FLOAT:https://docs.python.org/3/library/functions.html#float
bool:https://docs.python.org/3/library/functions.html#bool

源码解读:

import torch
from .optimizer import Optimizer, required


[docs]class SGD(Optimizer):
r"""Implements stochastic gradient descent (optionally with momentum).

Nesterov momentum is based on the formula from
`On the importance of initialization and momentum in deep learning`__.

Args:
params (iterable): iterable of parameters to optimize or dicts defining
parameter groups
lr (float): learning rate
momentum (float, optional): momentum factor (default: 0)
weight_decay (float, optional): weight decay (L2 penalty) (default: 0)
dampening (float, optional): dampening for momentum (default: 0)
nesterov (bool, optional): enables Nesterov momentum (default: False)

Example:
>>> optimizer = torch.optim.SGD(model.parameters(), lr=0.1, momentum=0.9)
>>> optimizer.zero_grad()
>>> loss_fn(model(input), target).backward()
>>> optimizer.step()

__ http://www.cs.toronto.edu/%7Ehinton/absps/momentum.pdf

.. note::
The implementation of SGD with Momentum/Nesterov subtly differs from
Sutskever et. al. and implementations in some other frameworks.

Considering the specific case of Momentum, the update can be written as

.. math::
\begin{aligned}
v_{t+1} & = \mu * v_{t} + g_{t+1}, \\
p_{t+1} & = p_{t} - \text{lr} * v_{t+1},
\end{aligned}

where :math:`p`, :math:`g`, :math:`v` and :math:`\mu` denote the
parameters, gradient, velocity, and momentum respectively.

This is in contrast to Sutskever et. al. and
other frameworks which employ an update of the form

.. math::
\begin{aligned}
v_{t+1} & = \mu * v_{t} + \text{lr} * g_{t+1}, \\
p_{t+1} & = p_{t} - v_{t+1}.
\end{aligned}

The Nesterov version is analogously modified.
"""

def __init__(self, params, lr=required, momentum=0, dampening=0,
weight_decay=0, nesterov=False):
if lr is not required and lr < 0.0:
raise ValueError("Invalid learning rate: {}".format(lr))
if momentum < 0.0:
raise ValueError("Invalid momentum value: {}".format(momentum))
if weight_decay < 0.0:
raise ValueError("Invalid weight_decay value: {}".format(weight_decay))

defaults = dict(lr=lr, momentum=momentum, dampening=dampening,
weight_decay=weight_decay, nesterov=nesterov)
if nesterov and (momentum <= 0 or dampening != 0):
raise ValueError("Nesterov momentum requires a momentum and zero dampening")
super(SGD, self).__init__(params, defaults)

def __setstate__(self, state):
super(SGD, self).__setstate__(state)
for group in self.param_groups:
group.setdefault('nesterov', False)

[docs] @torch.no_grad()
def step(self, closure=None):
"""Performs a single optimization step.

Arguments:
closure (callable, optional): A closure that reevaluates the model
and returns the loss.
"""
loss = None
if closure is not None:
with torch.enable_grad():
loss = closure()

for group in self.param_groups:
weight_decay = group['weight_decay']
momentum = group['momentum']
dampening = group['dampening']
nesterov = group['nesterov']

for p in group['params']:
if p.grad is None:
continue
d_p = p.grad
if weight_decay != 0:
d_p = d_p.add(p, alpha=weight_decay)
if momentum != 0:
param_state = self.state[p]
if 'momentum_buffer' not in param_state:
buf = param_state['momentum_buffer'] = torch.clone(d_p).detach()
else:
buf = param_state['momentum_buffer']
buf.mul_(momentum).add_(d_p, alpha=1 - dampening)
if nesterov:
d_p = d_p.add(buf, alpha=momentum)
else:
d_p = buf

p.add_(d_p, alpha=-group['lr'])

return loss

这里通过 d_p=p.grad 得到每个参数的梯度,也就是1式的  。

如果使用 weight_decay 的话,那么相当于目标函数加上  ,所以相当于是梯度相当于要再加上  ,所以使用了 d_p = d_p.add(p, alpha=weight_decay)。

通过 buf.mul_(momentum).add_(d_p, alpha=1 - dampening) 来计算动量,momentum参数  一般取0.9,就相当于是之前的动量buf乘以  ,再加上此次的梯度d_p乘以   。

如果不通过nesterov方式更新参数,那么3式中的  就相当于是上一步计算出的动量  了。如果通过nesterov方式更新参数,那么3式中的  就相当于 ,和不用nesterov方式相比,相差了  。

最后通过 p.add_(d_p, alpha=-group['lr']) 更新梯度,相当于是上面的 3 式。

AdaGrad

此前我们都没有用到二阶动量。二阶动量的出现,才意味着“自适应学习率”优化算法时代的到来。SGD及其变种以同样的学习率更新每个参数,但深度神经网络往往包含大量的参数,这些参数并不是总会用得到(想想大规模的embedding)。对于经常更新的参数,我们已经积累了大量关于它的知识,不希望被单个样本影响太大,希望学习速率慢一些;对于偶尔更新的参数,我们了解的信息太少,希望能从每个偶然出现的样本身上多学一些,即学习速率大一些。

怎么样去度量历史更新频率呢?那就是二阶动量——该维度上,迄今为止所有梯度值的平方和:

我们再回顾一下步骤3中的下降梯度:

可以看出,此时实质上的学习率由  变成了  。一般为了避免分母为0,会在分母上加一个小的平滑项。因此 是恒大于0的,而且参数更新越频繁,二阶动量越大,学习率就越小。

这一方法在稀疏数据场景下表现非常好。但也存在一些问题:因为 是单调递增的,会使得学习率单调递减至0,可能会使得训练过程提前结束,即便后续还有数据也无法学到必要的知识。

定义优化器:

CLASS torch.optim.Adagrad(params,lr=0.01,lr_decay=0,weight_decay=0,initial_accumulator_value=0,eps=1e-10)

参数:

  • params (iterable) – 优化器作用的模型参数。
  • lr (float) – learning rate – 相当于是统一框架中的   。
  • lr_decay(float,optional) – 学习率衰减 (默认值:0)
  • weight_decay (float, optional) – 权重衰减系数 weight decay (L2 penalty) (默认值:0)
  • eps(float,optional):防止分母为0的一个小数 (默认值:1e-10)

源码解读:

[docs]class Adagrad(Optimizer):
"""Implements Adagrad algorithm.

It has been proposed in `Adaptive Subgradient Methods for Online Learning
and Stochastic Optimization`_.

Arguments:
params (iterable): iterable of parameters to optimize or dicts defining
parameter groups
lr (float, optional): learning rate (default: 1e-2)
lr_decay (float, optional): learning rate decay (default: 0)
weight_decay (float, optional): weight decay (L2 penalty) (default: 0)
eps (float, optional): term added to the denominator to improve
numerical stability (default: 1e-10)

.. _Adaptive Subgradient Methods for Online Learning and Stochastic
Optimization: http://jmlr.org/papers/v12/duchi11a.html
"""

def __init__(self, params, lr=1e-2, lr_decay=0, weight_decay=0, initial_accumulator_value=0, eps=1e-10):
if not 0.0 <= lr:
raise ValueError("Invalid learning rate: {}".format(lr))
if not 0.0 <= lr_decay:
raise ValueError("Invalid lr_decay value: {}".format(lr_decay))
if not 0.0 <= weight_decay:
raise ValueError("Invalid weight_decay value: {}".format(weight_decay))
if not 0.0 <= initial_accumulator_value:
raise ValueError("Invalid initial_accumulator_value value: {}".format(initial_accumulator_value))
if not 0.0 <= eps:
raise ValueError("Invalid epsilon value: {}".format(eps))

defaults = dict(lr=lr, lr_decay=lr_decay, eps=eps, weight_decay=weight_decay,
initial_accumulator_value=initial_accumulator_value)
super(Adagrad, self).__init__(params, defaults)

for group in self.param_groups:
for p in group['params']:
state = self.state[p]
state['step'] = 0
state['sum'] = torch.full_like(p, initial_accumulator_value, memory_format=torch.preserve_format)

def share_memory(self):
for group in self.param_groups:
for p in group['params']:
state = self.state[p]
state['sum'].share_memory_()

[docs] @torch.no_grad()
def step(self, closure=None):
"""Performs a single optimization step.

Arguments:
closure (callable, optional): A closure that reevaluates the model
and returns the loss.
"""
loss = None
if closure is not None:
with torch.enable_grad():
loss = closure()

for group in self.param_groups:
params_with_grad = []
grads = []
state_sums = []
state_steps = []

for p in group['params']:
if p.grad is not None:
params_with_grad.append(p)
grads.append(p.grad)
state = self.state[p]
state_sums.append(state['sum'])
# update the steps for each param group update
state['step'] += 1
# record the step after step update
state_steps.append(state['step'])

F.adagrad(params_with_grad,
grads,
state_sums,
state_steps,
group['lr'],
group['weight_decay'],
group['lr_decay'],
group['eps'])

return loss

AdaDelta / RMSProp

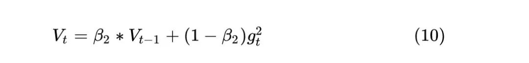
由于AdaGrad单调递减的学习率变化过于激进,我们考虑一个改变二阶动量计算方法的策略:不累积全部历史梯度,而只关注过去一段时间窗口的下降梯度。这也就是AdaDelta名称中Delta的来历。

修改的思路很简单。前面我们讲到,指数移动平均值大约就是过去一段时间的平均值,因此我们用这一方法来计算二阶累积动量:

接下来还是步骤3:

这就避免了二阶动量持续累积、导致训练过程提前结束的问题了。

RMSProp

定义优化器:

CLASS torch.optim.RMSprop(params, lr=0.01, alpha=0.99, eps=1e-08, weight_decay=0, momentum=0, centered=False)

参数:

  • params (iterable) – 优化器作用的模型参数。
  • lr (float) – learning rate – 相当于是统一框架中的  。
  • momentum (float, optional) – 动量参数。(默认值:0)。
  • alpha(float,optional) – 平滑常数 (默认值:0.99)。
  • centered(bool,optional) – ifTrue, compute the centered RMSProp, the gradient is normalized by an estimation of its variance,就是这一项是 True 的话就把方差使用梯度作归一化。
  • weight_decay (float, optional) – 权重衰减系数 weight decay (L2 penalty) (默认值:0)
  • eps(float,optional):防止分母为0的一个小数 (默认值:1e-10)

源码解读:

import torch
from .optimizer import Optimizer


[docs]class RMSprop(Optimizer):
r"""Implements RMSprop algorithm.

Proposed by G. Hinton in his
`course `_.

The centered version first appears in `Generating Sequences
With Recurrent Neural Networks `_.

The implementation here takes the square root of the gradient average before
adding epsilon (note that TensorFlow interchanges these two operations). The effective
learning rate is thus :math:`\alpha/(\sqrt{v} + \epsilon)` where :math:`\alpha`
is the scheduled learning rate and :math:`v` is the weighted moving average
of the squared gradient.

Arguments:
params (iterable): iterable of parameters to optimize or dicts defining
parameter groups
lr (float, optional): learning rate (default: 1e-2)
momentum (float, optional): momentum factor (default: 0)
alpha (float, optional): smoothing constant (default: 0.99)
eps (float, optional): term added to the denominator to improve
numerical stability (default: 1e-8)
centered (bool, optional) : if ``True``, compute the centered RMSProp,
the gradient is normalized by an estimation of its variance
weight_decay (float, optional): weight decay (L2 penalty) (default: 0)

"""

def __init__(self, params, lr=1e-2, alpha=0.99, eps=1e-8, weight_decay=0, momentum=0, centered=False):
if not 0.0 <= lr:
raise ValueError("Invalid learning rate: {}".format(lr))
if not 0.0 <= eps:
raise ValueError("Invalid epsilon value: {}".format(eps))
if not 0.0 <= momentum:
raise ValueError("Invalid momentum value: {}".format(momentum))
if not 0.0 <= weight_decay:
raise ValueError("Invalid weight_decay value: {}".format(weight_decay))
if not 0.0 <= alpha:
raise ValueError("Invalid alpha value: {}".format(alpha))

defaults = dict(lr=lr, momentum=momentum, alpha=alpha, eps=eps, centered=centered, weight_decay=weight_decay)
super(RMSprop, self).__init__(params, defaults)

def __setstate__(self, state):
super(RMSprop, self).__setstate__(state)
for group in self.param_groups:
group.setdefault('momentum', 0)
group.setdefault('centered', False)

[docs] @torch.no_grad()
def step(self, closure=None):
"""Performs a single optimization step.

Arguments:
closure (callable, optional): A closure that reevaluates the model
and returns the loss.
"""
loss = None
if closure is not None:
with torch.enable_grad():
loss = closure()

for group in self.param_groups:
for p in group['params']:
if p.grad is None:
continue
grad = p.grad
if grad.is_sparse:
raise RuntimeError('RMSprop does not support sparse gradients')
state = self.state[p]

# State initialization
if len(state) == 0:
state['step'] = 0
state['square_avg'] = torch.zeros_like(p, memory_format=torch.preserve_format)
if group['momentum'] > 0:
state['momentum_buffer'] = torch.zeros_like(p, memory_format=torch.preserve_format)
if group['centered']:
state['grad_avg'] = torch.zeros_like(p, memory_format=torch.preserve_format)

square_avg = state['square_avg']
alpha = group['alpha']

state['step'] += 1

if group['weight_decay'] != 0:
grad = grad.add(p, alpha=group['weight_decay'])

square_avg.mul_(alpha).addcmul_(grad, grad, value=1 - alpha)

if group['centered']:
grad_avg = state['grad_avg']
grad_avg.mul_(alpha).add_(grad, alpha=1 - alpha)
avg = square_avg.addcmul(grad_avg, grad_avg, value=-1).sqrt_().add_(group['eps'])
else:
avg = square_avg.sqrt().add_(group['eps'])

if group['momentum'] > 0:
buf = state['momentum_buffer']
buf.mul_(group['momentum']).addcdiv_(grad, avg)
p.add_(buf, alpha=-group['lr'])
else:
p.addcdiv_(grad, avg, value=-group['lr'])

return loss

这里通过 grad = p.grad 得到每个参数的梯度,也就是1式的  。

如果使用 weight_decay 的话,那么相当于目标函数加上  ,所以相当于是梯度相当于要再加上  ,故使用了 grad = grad.add(p, alpha=group['weight_decay'])。

square_avg.mul_(alpha).addcmul_(grad, grad, value=1 - alpha) 对应10式,计算当前步的  。

centered 这一项是 False 的话直接 square_avg.sqrt().add_(group['eps']) 对  开根号。
centered 这一项是 True 的话就把方差使用梯度作归一化。

最后通过 p.addcdiv_(grad, avg, value=-group['lr']) 更新梯度,相当于是上面的 3 式。
RMSprop算是Adagrad的一种发展,和Adadelta的变体,效果趋于二者之间

AdaDelta

定义优化器:

CLASS torch.optim.Adadelta(params, lr=1.0, rho=0.9, eps=1e-06, weight_decay=0)

参数:

  • params (iterable) – 优化器作用的模型参数。
  • lr (float) – learning rate – 相当于是统一框架中的  。
  • rho(float,optional) – 计算梯度平方的滑动平均超参数 (默认值:0.9)
  • weight_decay (float, optional) – 权重衰减系数 weight decay (L2 penalty) (默认值:0)
  • eps(float,optional):防止分母为0的一个小数 (默认值:1e-10)

源码解读:

import torch

from .optimizer import Optimizer


[docs]class Adadelta(Optimizer):
"""Implements Adadelta algorithm.

It has been proposed in `ADADELTA: An Adaptive Learning Rate Method`__.

Arguments:
params (iterable): iterable of parameters to optimize or dicts defining
parameter groups
rho (float, optional): coefficient used for computing a running average
of squared gradients (default: 0.9)
eps (float, optional): term added to the denominator to improve
numerical stability (default: 1e-6)
lr (float, optional): coefficient that scale delta before it is applied
to the parameters (default: 1.0)
weight_decay (float, optional): weight decay (L2 penalty) (default: 0)

__ https://arxiv.org/abs/1212.5701
"""

def __init__(self, params, lr=1.0, rho=0.9, eps=1e-6, weight_decay=0):
if not 0.0 <= lr:
raise ValueError("Invalid learning rate: {}".format(lr))
if not 0.0 <= rho <= 1.0:
raise ValueError("Invalid rho value: {}".format(rho))
if not 0.0 <= eps:
raise ValueError("Invalid epsilon value: {}".format(eps))
if not 0.0 <= weight_decay:
raise ValueError("Invalid weight_decay value: {}".format(weight_decay))

defaults = dict(lr=lr, rho=rho, eps=eps, weight_decay=weight_decay)
super(Adadelta, self).__init__(params, defaults)

[docs] @torch.no_grad()
def step(self, closure=None):
"""Performs a single optimization step.

Arguments:
closure (callable, optional): A closure that reevaluates the model
and returns the loss.
"""
loss = None
if closure is not None:
with torch.enable_grad():
loss = closure()

for group in self.param_groups:
for p in group['params']:
if p.grad is None:
continue
grad = p.grad
if grad.is_sparse:
raise RuntimeError('Adadelta does not support sparse gradients')
state = self.state[p]

# State initialization
if len(state) == 0:
state['step'] = 0
state['square_avg'] = torch.zeros_like(p, memory_format=torch.preserve_format)
state['acc_delta'] = torch.zeros_like(p, memory_format=torch.preserve_format)

square_avg, acc_delta = state['square_avg'], state['acc_delta']
rho, eps = group['rho'], group['eps']

state['step'] += 1

if group['weight_decay'] != 0:
grad = grad.add(p, alpha=group['weight_decay'])

square_avg.mul_(rho).addcmul_(grad, grad, value=1 - rho)
std = square_avg.add(eps).sqrt_()
delta = acc_delta.add(eps).sqrt_().div_(std).mul_(grad)
p.add_(delta, alpha=-group['lr'])
acc_delta.mul_(rho).addcmul_(delta, delta, value=1 - rho)

return loss

这里通过 grad = p.grad 得到每个参数的梯度,也就是1式的  。

如果使用 weight_decay 的话,那么相当于目标函数加上  ,所以相当于是梯度相当于要再加上  ,故使用了 grad = grad.add(p, alpha=group['weight_decay'])。

square_avg.mul_(rho).addcmul_(grad, grad, value=1 - rho) 对应10式,计算当前步的  。std = square_avg.add(eps).sqrt_() 对  开根号。

最后通过 p.add_(delta, alpha=-group['lr']) 更新梯度,相当于是上面的 3 式。
delta 的分子项是  ,分母项是  开根号。acc_delta 是对 delta 的滑动平均。

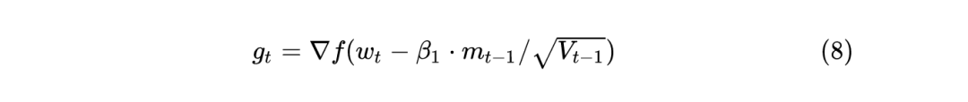
Adam

谈到这里,Adam和Nadam的出现就很自然而然了——它们是前述方法的集大成者。我们看到,SGD-M在SGD基础上增加了一阶动量,AdaGrad和AdaDelta在SGD基础上增加了二阶动量。把一阶动量和二阶动量都用起来,就是Adam了——Adaptive + Momentum。

SGD的一阶动量:

加上AdaDelta的二阶动量:


优化算法里最常见的两个超参数  就都在这里了,前者控制一阶动量,后者控制二阶动量。

Nadam

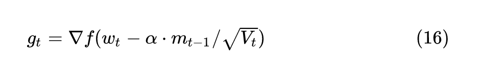
最后是Nadam。我们说Adam是集大成者,但它居然遗漏了Nesterov,这还能忍?必须给它加上,按照NAG的步骤1:

这就是Nesterov + Adam = Nadam了。

定义优化器:

CLASS torch.optim.Adam(params, lr=0.001, betas=(0.9, 0.999), eps=1e-08, weight_decay=0, amsgrad=False)

参数:

  • params (iterable) – 优化器作用的模型参数。
  • lr (float) – learning rate – 相当于是统一框架中的   。
  • betas(Tuple[float,float],optional) – coefficients used for computing running averages of gradient and its square ((默认值:(0.9, 0.999))
  • weight_decay (float, optional) – 权重衰减系数 weight decay (L2 penalty) (默认值:0)
  • eps(float,optional):防止分母为0的一个小数 (默认值:1e-10)

源码解读:

import math
import torch
from .optimizer import Optimizer


[docs]class Adam(Optimizer):
r"""Implements Adam algorithm.

It has been proposed in `Adam: A Method for Stochastic Optimization`_.

Arguments:
params (iterable): iterable of parameters to optimize or dicts defining
parameter groups
lr (float, optional): learning rate (default: 1e-3)
betas (Tuple[float, float], optional): coefficients used for computing
running averages of gradient and its square (default: (0.9, 0.999))
eps (float, optional): term added to the denominator to improve
numerical stability (default: 1e-8)
weight_decay (float, optional): weight decay (L2 penalty) (default: 0)
amsgrad (boolean, optional): whether to use the AMSGrad variant of this
algorithm from the paper `On the Convergence of Adam and Beyond`_
(default: False)

.. _Adam\: A Method for Stochastic Optimization:
https://arxiv.org/abs/1412.6980
.. _On the Convergence of Adam and Beyond:
https://openreview.net/forum?id=ryQu7f-RZ
"""

def __init__(self, params, lr=1e-3, betas=(0.9, 0.999), eps=1e-8,
weight_decay=0, amsgrad=False):
if not 0.0 <= lr:
raise ValueError("Invalid learning rate: {}".format(lr))
if not 0.0 <= eps:
raise ValueError("Invalid epsilon value: {}".format(eps))
if not 0.0 <= betas[0] < 1.0:
raise ValueError("Invalid beta parameter at index 0: {}".format(betas[0]))
if not 0.0 <= betas[1] < 1.0:
raise ValueError("Invalid beta parameter at index 1: {}".format(betas[1]))
if not 0.0 <= weight_decay:
raise ValueError("Invalid weight_decay value: {}".format(weight_decay))
defaults = dict(lr=lr, betas=betas, eps=eps,
weight_decay=weight_decay, amsgrad=amsgrad)
super(Adam, self).__init__(params, defaults)

def __setstate__(self, state):
super(Adam, self).__setstate__(state)
for group in self.param_groups:
group.setdefault('amsgrad', False)

[docs] @torch.no_grad()
def step(self, closure=None):
"""Performs a single optimization step.

Arguments:
closure (callable, optional): A closure that reevaluates the model
and returns the loss.
"""
loss = None
if closure is not None:
with torch.enable_grad():
loss = closure()

for group in self.param_groups:
for p in group['params']:
if p.grad is None:
continue
grad = p.grad
if grad.is_sparse:
raise RuntimeError('Adam does not support sparse gradients, please consider SparseAdam instead')
amsgrad = group['amsgrad']

state = self.state[p]

# State initialization
if len(state) == 0:
state['step'] = 0
# Exponential moving average of gradient values
state['exp_avg'] = torch.zeros_like(p, memory_format=torch.preserve_format)
# Exponential moving average of squared gradient values
state['exp_avg_sq'] = torch.zeros_like(p, memory_format=torch.preserve_format)
if amsgrad:
# Maintains max of all exp. moving avg. of sq. grad. values
state['max_exp_avg_sq'] = torch.zeros_like(p, memory_format=torch.preserve_format)

exp_avg, exp_avg_sq = state['exp_avg'], state['exp_avg_sq']
if amsgrad:
max_exp_avg_sq = state['max_exp_avg_sq']
beta1, beta2 = group['betas']

state['step'] += 1
bias_correction1 = 1 - beta1 ** state['step']
bias_correction2 = 1 - beta2 ** state['step']

if group['weight_decay'] != 0:
grad = grad.add(p, alpha=group['weight_decay'])

# Decay the first and second moment running average coefficient
exp_avg.mul_(beta1).add_(grad, alpha=1 - beta1)
exp_avg_sq.mul_(beta2).addcmul_(grad, grad, value=1 - beta2)
if amsgrad:
# Maintains the maximum of all 2nd moment running avg. till now
torch.max(max_exp_avg_sq, exp_avg_sq, out=max_exp_avg_sq)
# Use the max. for normalizing running avg. of gradient
denom = (max_exp_avg_sq.sqrt() / math.sqrt(bias_correction2)).add_(group['eps'])
else:
denom = (exp_avg_sq.sqrt() / math.sqrt(bias_correction2)).add_(group['eps'])

step_size = group['lr'] / bias_correction1

p.addcdiv_(exp_avg, denom, value=-step_size)

return loss

这里通过 grad = p.grad 得到每个参数的梯度,也就是1式的  。

如果使用 weight_decay 的话,那么相当于目标函数加上  ,所以相当于是梯度相当于要再加上  ,故使用了 grad = grad.add(p, alpha=group['weight_decay'])。

exp_avg.mul_(beta1).add_(grad, alpha=1 - beta1) 计算12式。
exp_avg_sq.mul_(beta2).addcmul_(grad, grad, value=1 - beta2) 计算13式。
因为15式的缘故,要给分母除以 math**.**sqrt(bias_correction2)。
因为14式的缘故,要给分子除以 bias_correction1。
最后通过 p.addcdiv_(exp_avg, denom, value=-step_size) 更新梯度,相当于是上面的 3 式。

AdamW

下图1所示为Adam的另一个改进版:AdamW。

简单来说,AdamW就是Adam优化器加上L2正则,来限制参数值不可太大,这一点属于机器学习入门知识了。以往的L2正则是直接加在损失函数上,比如这样子:加入正则,损失函数就会变成这样子:

所以在计算梯度  时要加上粉色的这一项。

但AdamW稍有不同,如下图所示,将正则加在了绿色位置。

图1:AdamW

至于为何这么做?直接摘录BERT里面的原话看看:

Just adding the square of the weights to the loss function is *not* the correct way of using L2 regularization/weight decay with Adam, since that will interact with the m and v parameters in strange ways. Instead we want to decay the weights in a manner that doesn't interact with the m/v parameters. This is equivalent to adding the square of the weights to the loss with plain (non-momentum) SGD. Add weight decay at the end (fixed version).

这段话意思是说,如果直接将L2正则加到loss上去,由于Adam优化器的后序操作,该正则项将会与产生奇怪的作用。因而,AdamW选择将正则项加在了Adam的等参数被计算完之后、在与学习率相乘之前,所以这也表明了weight_decay和正则虽目的一致、公式一致,但用法还是不同,二者有着明显的差别。以 PyTorch1.7.0 中的AdamW代码为例:

定义优化器:

CLASS torch.optim.AdamW(params, lr=0.001, betas=(0.9, 0.999), eps=1e-08, weight_decay=0.01, amsgrad=False)

参数:

  • params (iterable) – 优化器作用的模型参数。
  • lr (float) – learning rate – 相当于是统一框架中的  。
  • betas(Tuple[float,float],optional) – coefficients used for computing running averages of gradient and its square ((默认值:(0.9, 0.999))
  • weight_decay (float, optional) – 权重衰减系数 weight decay (L2 penalty) (默认值:0)
  • eps(float,optional):防止分母为0的一个小数 (默认值:1e-10)

源码解读:

import math
import torch
from .optimizer import Optimizer


[docs]class AdamW(Optimizer):
r"""Implements AdamW algorithm.

The original Adam algorithm was proposed in `Adam: A Method for Stochastic Optimization`_.
The AdamW variant was proposed in `Decoupled Weight Decay Regularization`_.

Arguments:
params (iterable): iterable of parameters to optimize or dicts defining
parameter groups
lr (float, optional): learning rate (default: 1e-3)
betas (Tuple[float, float], optional): coefficients used for computing
running averages of gradient and its square (default: (0.9, 0.999))
eps (float, optional): term added to the denominator to improve
numerical stability (default: 1e-8)
weight_decay (float, optional): weight decay coefficient (default: 1e-2)
amsgrad (boolean, optional): whether to use the AMSGrad variant of this
algorithm from the paper `On the Convergence of Adam and Beyond`_
(default: False)

.. _Adam\: A Method for Stochastic Optimization:
https://arxiv.org/abs/1412.6980
.. _Decoupled Weight Decay Regularization:
https://arxiv.org/abs/1711.05101
.. _On the Convergence of Adam and Beyond:
https://openreview.net/forum?id=ryQu7f-RZ
"""

def __init__(self, params, lr=1e-3, betas=(0.9, 0.999), eps=1e-8,
weight_decay=1e-2, amsgrad=False):
if not 0.0 <= lr:
raise ValueError("Invalid learning rate: {}".format(lr))
if not 0.0 <= eps:
raise ValueError("Invalid epsilon value: {}".format(eps))
if not 0.0 <= betas[0] < 1.0:
raise ValueError("Invalid beta parameter at index 0: {}".format(betas[0]))
if not 0.0 <= betas[1] < 1.0:
raise ValueError("Invalid beta parameter at index 1: {}".format(betas[1]))
if not 0.0 <= weight_decay:
raise ValueError("Invalid weight_decay value: {}".format(weight_decay))
defaults = dict(lr=lr, betas=betas, eps=eps,
weight_decay=weight_decay, amsgrad=amsgrad)
super(AdamW, self).__init__(params, defaults)

def __setstate__(self, state):
super(AdamW, self).__setstate__(state)
for group in self.param_groups:
group.setdefault('amsgrad', False)

[docs] @torch.no_grad()
def step(self, closure=None):
"""Performs a single optimization step.

Arguments:
closure (callable, optional): A closure that reevaluates the model
and returns the loss.
"""
loss = None
if closure is not None:
with torch.enable_grad():
loss = closure()

for group in self.param_groups:
for p in group['params']:
if p.grad is None:
continue

# Perform stepweight decay
p.mul_(1 - group['lr'] * group['weight_decay'])

# Perform optimization step
grad = p.grad
if grad.is_sparse:
raise RuntimeError('Adam does not support sparse gradients, please consider SparseAdam instead')
amsgrad = group['amsgrad']

state = self.state[p]

# State initialization
if len(state) == 0:
state['step'] = 0
# Exponential moving average of gradient values
state['exp_avg'] = torch.zeros_like(p, memory_format=torch.preserve_format)
# Exponential moving average of squared gradient values
state['exp_avg_sq'] = torch.zeros_like(p, memory_format=torch.preserve_format)
if amsgrad:
# Maintains max of all exp. moving avg. of sq. grad. values
state['max_exp_avg_sq'] = torch.zeros_like(p, memory_format=torch.preserve_format)

exp_avg, exp_avg_sq = state['exp_avg'], state['exp_avg_sq']
if amsgrad:
max_exp_avg_sq = state['max_exp_avg_sq']
beta1, beta2 = group['betas']

state['step'] += 1
bias_correction1 = 1 - beta1 ** state['step']
bias_correction2 = 1 - beta2 ** state['step']

# Decay the first and second moment running average coefficient
exp_avg.mul_(beta1).add_(grad, alpha=1 - beta1)
exp_avg_sq.mul_(beta2).addcmul_(grad, grad, value=1 - beta2)
if amsgrad:
# Maintains the maximum of all 2nd moment running avg. till now
torch.max(max_exp_avg_sq, exp_avg_sq, out=max_exp_avg_sq)
# Use the max. for normalizing running avg. of gradient
denom = (max_exp_avg_sq.sqrt() / math.sqrt(bias_correction2)).add_(group['eps'])
else:
denom = (exp_avg_sq.sqrt() / math.sqrt(bias_correction2)).add_(group['eps'])

step_size = group['lr'] / bias_correction1

p.addcdiv_(exp_avg, denom, value=-step_size)

return loss

与 Adam 不一样的地方是:
Adam 如果使用 weight_decay 的话,那么相当于目标函数加上  ,所以相当于是梯度相当于要再加上  ,故使用了 grad = grad.add(p, alpha=group['weight_decay'])。

而 AdamW 是 p.mul_(1 - group['lr'] * group['weight_decay']) 直接让参数:

这样才能和绿色框一致。

想要了解更多资讯,请扫描下方二维码,关注机器学习研究会

                                          


转自:深度学习这件小事

Python社区是高质量的Python/Django开发社区
本文地址:http://www.python88.com/topic/119472
 
433 次点击