社区所有版块导航
Python
python开源   Django   Python   DjangoApp   pycharm  
DATA
docker   Elasticsearch  
aigc
aigc   chatgpt  
WEB开发
linux   MongoDB   Redis   DATABASE   NGINX   其他Web框架   web工具   zookeeper   tornado   NoSql   Bootstrap   js   peewee   Git   bottle   IE   MQ   Jquery  
机器学习
机器学习算法  
Python88.com
反馈   公告   社区推广  
产品
短视频  
印度
印度  
Py学习  »  机器学习算法

(纯计算)德国弗里茨·哈伯研究所Phys. Rev. Lett.: 带电固液界面能量学的机器学习研究

科研任我行 • 1 周前 • 36 次点击  
2025年9月29日,Phys. Rev. Lett.在线发表了德国弗里茨·哈伯研究所Nicolas G. Hörmann课题组的研究论文,题目为《Machine Learning the Energetics of Electrified Solid-Liquid Interfaces》,论文入选编辑推荐“Editors' Suggestion”。

预测级质量的第一性原理建模与仿真已成为研究电化学界面不可或缺的工具。它通过获取详细的原子结构及主导相互作用,提供了深刻的机理认识,并为改进电催化剂的设计产生新思路。然而,与在固气界面和热催化中的类似应用相比,带电固液界面的第一性原理建模仍处于落后状态,这主要源于描述偏压条件下形成的扩展双电层存在困难。即使在隐式溶剂化等常用近似方法中,描述复杂且依赖电势的(近表面)动力学过程仍然是一个计算负担上的挑战。

在这方面,应用机器学习原子间势(MLIPs)作为第一性原理计算的快速替代方案极具吸引力。MLIPs能够触及更长的时间和更大的空间尺度,这是从原子尺度界面结构和反应中获得可靠宏观见解的前提。然而,由于需要精确捕捉在带电界面处建立的局域电场,阻碍了已建立的短程MLIP架构的直接使用。为此,当前一个重要的发展方向集中于纳入长程静电相互作用。尽管这已成功实现了在零电荷电势下界面原子结构的建模,但在施加电极电势的条件下仍然存在挑战。

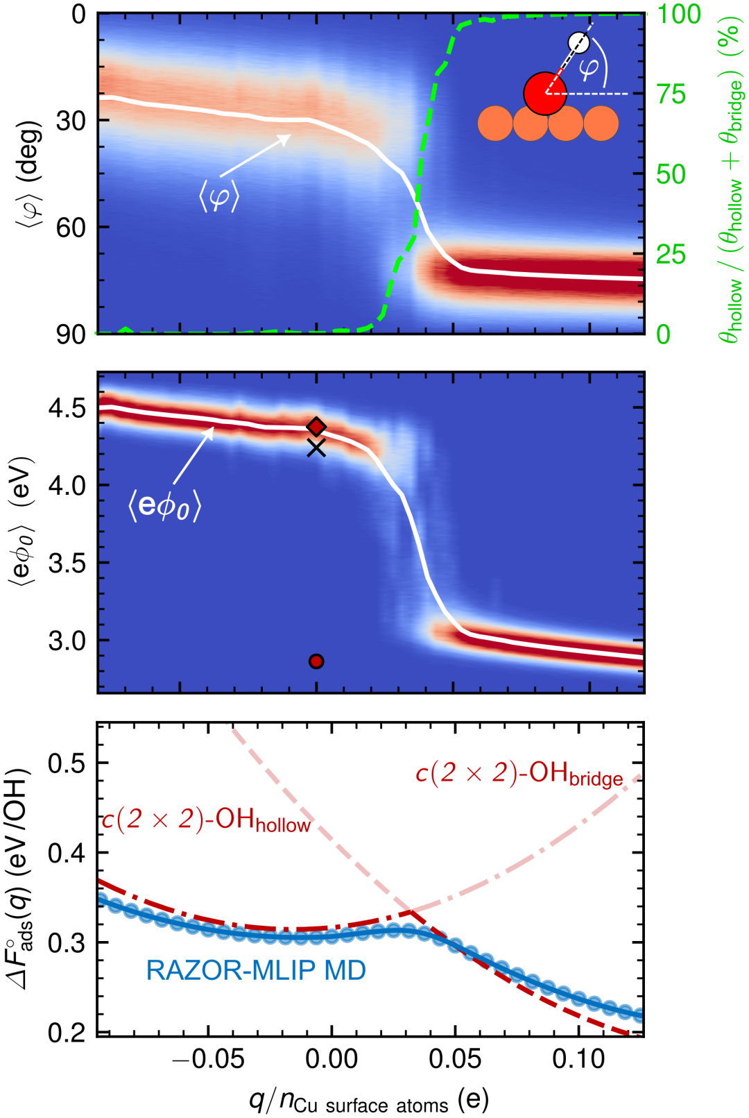
在此研究中,作者提出了一种响应增强的机器学习方法,用于研究带电金属表面的能量学。利用局域描述符来学习功函数,将其视为引入偏置电荷所引起的一阶能量变化,并通过玻恩有效电荷来稳定这一学习过程。这能够高效地扩展机器学习原子间势架构,以包含高达二阶的有限偏压效应。将该方法应用于Cu(100)表面的OH吸附体系,通过非能斯特行为的电荷诱导位点转换现象,合理解释了实验中观察到的优先吸附位点对pH值的依赖性。


图1 工作流程示意图


图2 基于RAZOR-MLIP的MD模拟用于不同q值下0.5 ML OH覆盖的Cu(100)表面


图3 0.5 ML OH在Cu(100)上的吸附自由能ΔΩads (ϕE)与可逆氢电极(RHE)标度上电势的关系

论文链接
Bergmann, N., Bonnet, N., Marzari, N. et al. Machine Learning the Energetics of Electrified Solid-Liquid Interfaces. Phys. Rev. Lett.2025, 135, 146201. https://doi.org/10.1103/lm64-m3bn
投稿日期:2025年05月13日
接收日期:2025年08月26日

【注】:小编水平有限,若有误,请联系修改;若侵权,请联系删除!

Python社区是高质量的Python/Django开发社区
本文地址:http://www.python88.com/topic/187950